浙江至德鋼業有限公司研究人員除了研究點蝕機理及其影響因素之外,關注的重點還有點蝕的隨機性。隨機性的研究方法可分為兩大類:隨機變量和隨機過程。對于點蝕隨機性的研究,集中于20世紀70年代,比較有代表性的是日本的學者。點蝕隨機性的研究內容主要包括點蝕的萌生和生長,點蝕萌生又分為亞穩態點蝕和穩態點蝕;對于點蝕生長,重點關注一定時間內產生點蝕的數目以及點蝕坑尺寸的變化。對點蝕電位和點蝕誘導時間進行了統計分析,結果表明點蝕電位服從正態分布,作者深入透徹地介紹了局部腐蝕的統計和隨機性研究方法。隨機變量的研究重點是參數的概率分布類型,除了考慮變量的隨機性,也有的研究人員采用隨機過程模型來研究點蝕的隨機性。并不是所有的微觀點蝕都能夠發展成為宏觀點蝕,對于亞穩態點蝕,很有可能在后期消失,Williams等在考慮了亞穩態點蝕消滅的前提下,建立了宏觀點蝕產生的隨機過程模型,模型如下所示:

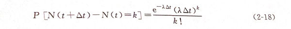
在點(dian)蝕(shi)(shi)(shi)隨機過(guo)(guo)程(cheng)(cheng)研究中,泊松(song)過(guo)(guo)程(cheng)(cheng)(Poisson process)是常用的(de)(de)一種(zhong)(zhong)模(mo)型(xing),特(te)別是對于點(dian)蝕(shi)(shi)(shi)數(shu)量的(de)(de)隨機性(xing)描述,Poisson過(guo)(guo)程(cheng)(cheng)應用較多。Poisson過(guo)(guo)程(cheng)(cheng)包括齊(qi)(qi)次泊松(song)過(guo)(guo)程(cheng)(cheng)和非齊(qi)(qi)次泊松(song)過(guo)(guo)程(cheng)(cheng)。齊(qi)(qi)次泊松(song)過(guo)(guo)程(cheng)(cheng)屬于一種(zhong)(zhong)離散的(de)(de)隨機過(guo)(guo)程(cheng)(cheng),采用泊松(song)過(guo)(guo)程(cheng)(cheng)來描述點(dian)蝕(shi)(shi)(shi)數(shu)目隨時間(jian)的(de)(de)變化時,認為(wei)在時間(jian)[t,t+Δt]內產生點(dian)蝕(shi)(shi)(shi)的(de)(de)數(shu)量與時間(jian)t之(zhi)前出現(xian)的(de)(de)點(dian)蝕(shi)(shi)(shi)數(shu)量無關。泊松(song)分布函數(shu)為(wei):

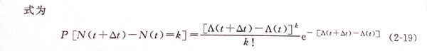
當強度(du)因子λ為非(fei)常數時,齊次(ci)(ci)泊松過程轉化為非(fei)齊次(ci)(ci)泊松過程,其表(biao)達(da)式為:

齊次 Poisson過程假設(she)每個時間段內平均點蝕(shi)的個數(shu)是相同的,但是,從(cong)實(shi)驗觀察(cha)來看,點蝕(shi)萌(meng)生率(lv)在初始階段較大,后趨于平穩。因此,用非齊次Poisson過程描述點蝕(shi)的萌(meng)生更符(fu)合(he)點蝕(shi)發(fa)生的實(shi)際情況。
在(zai)點蝕概率研究中,馬爾科(ke)夫(fu)(fu)模型使用比(bi)較廣。馬爾科(ke)夫(fu)(fu)過程(Markorvprocess,也稱馬氏過程)的特(te)征:在(zai)給定當前(qian)X(t)情況下,將(jiang)來狀態X(u)(u>t)不受(shou)以前(qian)狀態X(v)(v<t)的影響,即(ji)

Hong首次(ci)(ci)把泊松過(guo)(guo)程和(he)(he)馬爾科(ke)夫鏈結(jie)合起來研究點(dian)(dian)(dian)蝕(shi)(shi)的萌(meng)(meng)發過(guo)(guo)程與(yu)(yu)生(sheng)(sheng)(sheng)(sheng)(sheng)長過(guo)(guo)程。在此基礎上,Valor等將點(dian)(dian)(dian)蝕(shi)(shi)萌(meng)(meng)生(sheng)(sheng)(sheng)(sheng)(sheng)和(he)(he)生(sheng)(sheng)(sheng)(sheng)(sheng)長的隨(sui)機(ji)性結(jie)合起來研究,點(dian)(dian)(dian)蝕(shi)(shi)萌(meng)(meng)生(sheng)(sheng)(sheng)(sheng)(sheng)采(cai)用非(fei)齊(qi)次(ci)(ci)Poisson過(guo)(guo)程模(mo)擬(ni),其(qi)中點(dian)(dian)(dian)蝕(shi)(shi)誘導(dao)時間(jian)(jian)被(bei)認為服從Weibull分(fen)布;采(cai)用非(fei)齊(qi)次(ci)(ci)Markov過(guo)(guo)程模(mo)擬(ni)點(dian)(dian)(dian)蝕(shi)(shi)坑的生(sheng)(sheng)(sheng)(sheng)(sheng)長,極(ji)值統(tong)計(ji)被(bei)用來找出最大(da)(da)點(dian)(dian)(dian)蝕(shi)(shi)坑的分(fen)布,最大(da)(da)點(dian)(dian)(dian)蝕(shi)(shi)坑的分(fen)布受多個點(dian)(dian)(dian)蝕(shi)(shi)萌(meng)(meng)生(sheng)(sheng)(sheng)(sheng)(sheng)和(he)(he)生(sheng)(sheng)(sheng)(sheng)(sheng)長的影響;筆(bi)者(zhe)通過(guo)(guo)試驗對模(mo)型的有(you)效性進行了(le)驗證。點(dian)(dian)(dian)蝕(shi)(shi)萌(meng)(meng)生(sheng)(sheng)(sheng)(sheng)(sheng)的隨(sui)機(ji)過(guo)(guo)程模(mo)型是通過(guo)(guo)實驗統(tong)計(ji)一定時間(jian)(jian)內點(dian)(dian)(dian)蝕(shi)(shi)出現的數(shu)目(mu),建立點(dian)(dian)(dian)蝕(shi)(shi)數(shu)量(liang)與(yu)(yu)時間(jian)(jian)之間(jian)(jian)的關系,側重于對宏觀點(dian)(dian)(dian)蝕(shi)(shi)的研究。其(qi)缺點(dian)(dian)(dian)是沒有(you)與(yu)(yu)點(dian)(dian)(dian)蝕(shi)(shi)萌(meng)(meng)生(sheng)(sheng)(sheng)(sheng)(sheng)機(ji)理很好地結(jie)合起來。
1. 點蝕萌生的隨機(ji)性
當采用隨機變量模型時,點蝕萌生的隨機性由腐蝕電位和臨界點蝕電位的不確定性引起。在實際生產中,介質一般不除氧,介質被空氣所飽和,認為Po2=0.21MPa,因此,可以把Po2作為常量。溫度T和溶液的pH值是波動較小的變量。ip和io不但與溫度和介質有關,還與鈍化的性質有關,因此,是兩個比較重要而且隨時間變化的變量。臨界點蝕電位φcp是一個隨時間的增加而單調遞減的變量。
根據可靠性理論,把腐蝕電位φcott看成作用在結構上的廣義應力S,臨界點蝕電位φcp是結構的廣義抗力R.結構的功能函數可表示為:

當Φcp<φcott時,點蝕就萌生。應力和強度都是與時間有關的隨機變量,設f(φcott)和f(φcp)分別為應力和強度的概率密度函數,它們隨時間變化情況可用圖2-9所示曲線表示。根據應力-強度干涉理論,兩條曲線干涉面積的大小反映了點蝕萌生概率的小,但兩者在數值上并不相等。

2. 隨機變量分布
浙江至德鋼業有限公司只對某一時刻的4個變量進行隨機性分析,數據來源于304L不銹鋼在貧胺液中的電化學實驗。實驗采用動電位掃描法測極化曲線,掃描速度為10mV/min,因此我們可以把實驗得到的點蝕電位作為體系的臨界點蝕電位。首先假設4個變量都滿足正態分布,根據數據做出頻率直方圖和理論正態分布密度函數圖,如圖2-10所示。再對分布進行卡方檢驗,結果表明4個變量都滿足正態分布。


