應(ying)力(li)腐蝕可(ke)能(neng)會(hui)(hui)引起設(she)(she)備(bei)的(de)(de)泄(xie)漏、斷裂(lie)、爆炸等后果,不(bu)同(tong)的(de)(de)設(she)(she)備(bei)和(he)應(ying)用(yong)場所(suo)對失(shi)效后果的(de)(de)接受(shou)(shou)程度(du)是(shi)不(bu)同(tong)的(de)(de)。例如,對于以(yi)(yi)水為(wei)介質的(de)(de)設(she)(she)備(bei),泄(xie)漏會(hui)(hui)引起經濟損(sun)失(shi),但是(shi)對環境(jing)和(he)人類生命安(an)全的(de)(de)危(wei)害較(jiao)小,是(shi)人們(men)可(ke)以(yi)(yi)接受(shou)(shou)的(de)(de);但是(shi)如果設(she)(she)備(bei)內介質是(shi)有毒介質、易燃易爆介質,泄(xie)漏的(de)(de)危(wei)害是(shi)較(jiao)大的(de)(de)。因此,我們(men)根據后果的(de)(de)嚴(yan)重程度(du),可(ke)以(yi)(yi)采用(yong)不(bu)同(tong)的(de)(de)失(shi)效準則,浙江至德鋼(gang)業有限公司本次主(zhu)要討論裂(lie)紋啟裂(lie)、泄(xie)漏和(he)斷裂(lie)三種失(shi)效概率問題。
一、啟裂失(shi)效概率分(fen)析模(mo)型
在壓力容器和管(guan)道(dao)一類承(cheng)壓設備(bei)中(zhong),內部介(jie)質(zhi)大多(duo)易燃、易爆、有毒,設備(bei)一旦發(fa)生泄漏或其他(ta)形(xing)式的(de)(de)破壞(huai),將帶來嚴(yan)重的(de)(de)后果,因(yin)此(ci),國家和企(qi)業對這(zhe)類設備(bei)安全性(xing)的(de)(de)要求更高。在可靠性(xing)分析中(zhong),對于(yu)“失(shi)效(xiao)”的(de)(de)理解范圍(wei)更廣,我(wo)們甚至可以(yi)認(ren)為一旦裂(lie)紋(wen)產生,即使沒(mei)有發(fa)生泄漏和斷裂(lie),設備(bei)處于(yu)失(shi)效(xiao)狀態。即把裂(lie)紋(wen)啟裂(lie)作為失(shi)效(xiao)的(de)(de)標(biao)準。
1. 啟裂(lie)失效準則
應力腐蝕的產生也是經過兩個階段:裂紋萌生、裂紋擴展。在實踐中觀察發現,很多應力(li)腐蝕裂紋是在點蝕坑的基礎上進行擴展。根據對已有研究的總結,產生裂紋的點(dian)蝕坑的形狀可以表述為半橢球形。相對于產生點蝕的結構來說,點蝕坑的尺寸很微小,因此,在垂直于拉應力的截面上,點蝕坑可以作為深度是a、長度是2c的半橢圓形表面裂紋,如圖6-6所示。當只考慮拉應力。時,圖6-6所示裂紋的應力強度因子是

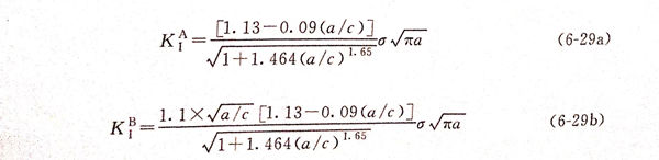
一般來說,表面微裂紋的深度(du)(du)a遠小于設備的壁(bi)厚(hou)B,因(yin)(yin)(yin)此,我們(men)可以(yi)不考慮壁(bi)厚(hou)對A、B處應(ying)力強度(du)(du)因(yin)(yin)(yin)子的影響,則其應(ying)力強度(du)(du)因(yin)(yin)(yin)子為:

從式(6-29)可以看出(chu),兩處(chu)應力形(xing)(xing)(xing)狀因(yin)子的(de)(de)(de)(de)(de)大小(xiao)(xiao)與a/c密切相關(guan),圖(tu)6-7給出(chu)了(le)形(xing)(xing)(xing)狀因(yin)子Y與a/c的(de)(de)(de)(de)(de)對應關(guan)系。從圖(tu)中可以看出(chu),YA、YB隨(sui)a/c值的(de)(de)(de)(de)(de)變化(hua)規(gui)律(lv)是(shi)相反(fan)的(de)(de)(de)(de)(de)。a/c較(jiao)小(xiao)(xiao)時,即深(shen)度(du)(du)較(jiao)小(xiao)(xiao)長度(du)(du)較(jiao)大的(de)(de)(de)(de)(de)裂(lie)紋,A處(chu)的(de)(de)(de)(de)(de)應力形(xing)(xing)(xing)狀因(yin)子較(jiao)大;隨(sui)著a/c的(de)(de)(de)(de)(de)增(zeng)加(jia)(jia),即裂(lie)紋深(shen)度(du)(du)的(de)(de)(de)(de)(de)增(zeng)加(jia)(jia),A處(chu)的(de)(de)(de)(de)(de)形(xing)(xing)(xing)狀因(yin)子減小(xiao)(xiao),B處(chu)形(xing)(xing)(xing)狀因(yin)子增(zeng)大;當a/c>0.827時,YB>YA。

對于薄壁(bi)構(gou)件,壁(bi)厚(hou)的(de)(de)影響(xiang)(xiang)必須考慮。當(dang)壁(bi)厚(hou)一定時(shi),Y值只受a和a/c的(de)(de)影響(xiang)(xiang)。當(dang)a/c=1時(shi),應(ying)力形狀因(yin)(yin)子(zi)與裂紋深度的(de)(de)對應(ying)關系如圖6-8所示。圖6-8給出了(le)不同(tong)壁(bi)厚(hou)下Y隨a的(de)(de)變化趨(qu)勢,從圖中可以(yi)看(kan)出,隨著壁(bi)厚(hou)的(de)(de)減小,A、B兩處的(de)(de)形狀因(yin)(yin)子(zi)都增大,因(yin)(yin)此,當(dang)壁(bi)厚(hou)較小時(shi),壁(bi)厚(hou)的(de)(de)影響(xiang)(xiang)不可忽略(lve)。
根(gen)據可靠性的概念,當把裂(lie)紋萌生作為(wei)極限時,從(cong)應力場(chang)角度(du)分析,結構極限狀態方(fang)程(cheng)為(wei)


2. 啟(qi)裂(lie)失效(xiao)概率(lv)
根(gen)據隨機(ji)變量模型(xing)可知,裂(lie)紋(wen)啟裂(lie)失效(xiao)的(de)不確(que)定性主要由參(can)(can)數的(de)隨機(ji)性造(zao)成,在不考(kao)慮環境的(de)影(ying)響下,同時假設裂(lie)紋(wen)萌(meng)生于點蝕坑處,SCC裂(lie)紋(wen)萌(meng)生主要受應(ying)力(li)大小、蝕坑結構及幾何參(can)(can)數以及材料本身的(de)性能(應(ying)力(li)腐蝕臨(lin)界(jie)應(ying)力(li)強(qiang)度因(yin)子)等影(ying)響。根(gen)據文獻可知,應(ying)力(li)可認為是服從正態分布的(de)隨機(ji)變量。
點蝕坑深度(du)a的(de)(de)(de)隨(sui)機(ji)性(xing)(xing)與Ip、?和a0的(de)(de)(de)不確(que)定性(xing)(xing)有關;應(ying)力腐蝕臨界應(ying)力強度(du)因(yin)子(zi)(zi)KIscc的(de)(de)(de)數值一(yi)般由實驗測得,其隨(sui)機(ji)性(xing)(xing)受材(cai)料(liao)本(ben)身(shen)性(xing)(xing)能的(de)(de)(de)分散性(xing)(xing)、介質中離子(zi)(zi)濃度(du)、溫度(du)等參數的(de)(de)(de)不確(que)定性(xing)(xing)影響。
根據以上分(fen)析可得失效概(gai)率表達式

3. 算例
某一設備的(de)材(cai)料(liao)為304,壁(bi)厚B=12mm,表面產生了(le)點蝕,計算(suan)該設備裂紋啟裂失效的(de)概率。分析過程如下:

二、泄漏失效概率分析模(mo)型
1. 泄(xie)漏失(shi)效準則
應力腐蝕裂紋一(yi)旦(dan)產生,就(jiu)會(hui)快速擴(kuo)展(zhan)(zhan),但是(shi)擴(kuo)展(zhan)(zhan)方向和擴(kuo)展(zhan)(zhan)速度(du)具(ju)有一(yi)定(ding)隨機性。如圖6-10是(shi)一(yi)個(ge)應力腐蝕失(shi)效(xiao)案例,可以看出,裂紋在空間三(san)個(ge)方向都有擴(kuo)展(zhan)(zhan)。

受結(jie)構的(de)影(ying)響,以(yi)及(ji)不(bu)同(tong)方向(xiang)裂(lie)紋(wen)(wen)擴展(zhan)速度(du)(du)的(de)不(bu)同(tong),可能(neng)會出現以(yi)下失(shi)效(xiao)結(jie)果(guo):①. 裂(lie)紋(wen)(wen)沿(yan)點蝕(shi)坑(keng)深(shen)度(du)(du)(即(ji)設(she)備厚度(du)(du))方向(xiang)穿透壁面(mian)時,沿(yan)點蝕(shi)坑(keng)長(chang)度(du)(du)方向(xiang)的(de)裂(lie)紋(wen)(wen)還未發展(zhan)到(dao)失(shi)穩(wen)擴展(zhan)的(de)臨界(jie)長(chang)度(du)(du),即(ji)設(she)備只發生(sheng)泄漏(lou)(lou)但并不(bu)發生(sheng)整體性的(de)破(po)壞,稱未破(po)先(xian)漏(lou)(lou);②. 在裂(lie)紋(wen)(wen)沿(yan)點蝕(shi)坑(keng)深(shen)度(du)(du)方向(xiang)穿透設(she)備壁厚前,裂(lie)紋(wen)(wen)沿(yan)蝕(shi)坑(keng)長(chang)度(du)(du)方向(xiang)已達到(dao)了(le)臨界(jie)值,設(she)備將(jiang)產(chan)生(sheng)很長(chang)的(de)表面(mian)裂(lie)紋(wen)(wen),雖然設(she)備既不(bu)泄漏(lou)(lou)也不(bu)爆破(po),但已很脆弱,承受載(zai)荷波動或(huo)裂(lie)紋(wen)(wen)沿(yan)點蝕(shi)坑(keng)深(shen)度(du)(du)方向(xiang)擴展(zhan)的(de)能(neng)力(li)很差;③. 裂(lie)紋(wen)(wen)沿(yan)點蝕(shi)坑(keng)深(shen)度(du)(du)方向(xiang)和長(chang)度(du)(du)方向(xiang)幾(ji)乎同(tong)時達到(dao)了(le)各(ge)自的(de)臨界(jie)值,設(she)備將(jiang)產(chan)生(sheng)爆破(po)事故。對于(yu)(yu)第一種應力(li)腐蝕(shi)失(shi)效(xiao)形式(shi),人們有足夠的(de)時間及(ji)時發現泄漏(lou)(lou)并采取措施,并避(bi)免由(you)于(yu)(yu)快速整體破(po)壞而(er)引起(qi)的(de)嚴重后果(guo)。對于(yu)(yu)低(di)壓、無毒和非(fei)易(yi)(yi)燃易(yi)(yi)爆介質的(de)設(she)備,即(ji)使發生(sheng)微量的(de)泄漏(lou)(lou)也不(bu)會產(chan)生(sheng)嚴重后果(guo),如蒸汽管道、水煤氣廢(fei)熱鍋爐(lu)中(zhong)的(de)換熱管等,這些(xie)設(she)備可以(yi)采用泄漏(lou)(lou)失(shi)效(xiao)準則(ze)。
當對設(she)備(bei)的(de)可靠性(xing)要求較高時,裂紋擴展深(shen)度即使小于壁厚,我(wo)們也認為(wei)是(shi)失效。一般把裂紋深(shen)度是(shi)(0.7~0.85)B作為(wei)判斷條件。美國ASME-VI-3[45]確(que)定了未破先漏的(de)條件為(wei):

而(er)對于可靠(kao)性要(yao)求較(jiao)低的(de)設備,當裂紋穿過整(zheng)個壁厚時,認為是失效。
泄(xie)漏失效的(de)極(ji)限狀(zhuang)態(tai)方程為(wei)

觀察到的實(shi)際裂(lie)(lie)紋(wen),在壁厚(hou)方(fang)向的擴展并不與(yu)厚(hou)度平行,如(ru)圖(tu)6-11(a)所示(shi);并且擴展過程中主裂(lie)(lie)紋(wen)有所分叉,如(ru)圖(tu)6-11(b)所示(shi)。因此(ci),采用式(6-33)計算出的裂(lie)(lie)紋(wen)尺(chi)寸來判斷是否(fou)發生泄漏失效較為(wei)安(an)全(quan)。

2. 泄漏失效概率
泄漏失效的(de)隨(sui)(sui)機(ji)性(xing)(xing)主(zhu)(zhu)要是由(you)裂紋(wen)尺寸(cun)、設(she)備壁(bi)厚(hou)和(he)(he)結(jie)構、載荷等(deng)的(de)不(bu)確(que)定(ding)性(xing)(xing)引(yin)起(qi)的(de)。裂紋(wen)尺寸(cun)的(de)隨(sui)(sui)機(ji)性(xing)(xing)主(zhu)(zhu)要受(shou)溫度、材料性(xing)(xing)能以及裂紋(wen)起(qi)始尺寸(cun)等(deng)參數的(de)不(bu)確(que)定(ding)性(xing)(xing)影(ying)響。受(shou)設(she)備原材料壁(bi)厚(hou)公差、腐蝕減薄、制造引(yin)起(qi)的(de)壁(bi)厚(hou)變化等(deng)因素的(de)影(ying)響,壁(bi)厚(hou)B也是一個隨(sui)(sui)機(ji)變量。根據隨(sui)(sui)機(ji)變量a和(he)(he)B的(de)概率(lv)密度函數f(a*)和(he)(he)f(B*),可得到泄漏失效概率(lv)表(biao)達(da)式為(wei):

3. 算例(li)
在實際案例中,管殼式換熱器中換熱管和管板連接處換熱管發生應力腐蝕泄漏的情況較多,這是由于換熱管壁厚較薄,材料的斷裂韌度值較大,很容易滿足ac>B的條件。采用蒙特卡洛模擬法計算換熱管發生應力腐蝕泄漏失效的概率,利用Python 語言編制計算程序(具體計算程序見附錄)。所需各變量的分布類型及參數如表6-1所示,模擬結果如圖6-12所示。由圖6-12可見,在前80天內,換熱管發生泄漏失效的概率小于10-4較為安全;隨著裂紋尺寸的增長,換熱管的可靠性能逐步下降,150天后失效概率值接近1。

三、斷裂失效概率(lv)分析模型
1. 斷裂失(shi)效準則
根據線(xian)彈性斷(duan)裂(lie)(lie)力(li)學理論,應(ying)(ying)(ying)力(li)腐(fu)蝕(shi)斷(duan)裂(lie)(lie)失(shi)效(xiao)的(de)準則主要有兩類:一類是從分析(xi)裂(lie)(lie)尖應(ying)(ying)(ying)力(li)應(ying)(ying)(ying)變場強(qiang)(qiang)度的(de)角度出發,采用應(ying)(ying)(ying)力(li)強(qiang)(qiang)度因(yin)子作(zuo)為(wei)參數(shu);另一類是用能(neng)量(liang)平衡的(de)觀點(dian),選用能(neng)量(liang)釋放率作(zuo)為(wei)參數(shu)。應(ying)(ying)(ying)力(li)強(qiang)(qiang)度因(yin)子和能(neng)量(liang)釋放率之(zhi)間具(ju)有對應(ying)(ying)(ying)的(de)關(guan)系G1=K1/E'.目(mu)前采用線(xian)彈性斷(duan)裂(lie)(lie)力(li)學理論分析(xi)應(ying)(ying)(ying)力(li)腐(fu)蝕(shi)斷(duan)裂(lie)(lie)失(shi)效(xiao)的(de)準則主要是應(ying)(ying)(ying)力(li)強(qiang)(qiang)度因(yin)子準則,本節筆者(zhe)采用該準則分析(xi)應(ying)(ying)(ying)力(li)腐(fu)蝕(shi)斷(duan)裂(lie)(lie)行為(wei)。
根據(ju)以上分析可知,K1值隨裂(lie)紋長度的(de)增加而增大,當K1增大到K1c時(shi),將導致裂(lie)紋快速擴展,此時(shi)對(dui)應的(de)極限(xian)狀態方程為

2. 斷裂失效概率
斷裂(lie)失(shi)效(xiao)的(de)隨機性(xing)主要(yao)由材(cai)(cai)料(liao)(liao)性(xing)能(neng)的(de)分散性(xing)和裂(lie)紋尺寸、裂(lie)紋形狀(zhuang)以(yi)及(ji)載荷等不(bu)確定(ding)性(xing)引起。KIc值大(da)小代表(biao)了材(cai)(cai)料(liao)(liao)抵(di)抗裂(lie)紋擴(kuo)展(zhan)的(de)性(xing)能(neng),材(cai)(cai)料(liao)(liao)在冶煉、軋制、熱處(chu)理等過程中不(bu)可避免地(di)產生化(hua)學(xue)成分、顯微組織、力學(xue)性(xing)能(neng)等不(bu)均勻,使(shi)KIc具有(you)本(ben)質上的(de)分散性(xing)。另外,試(shi)樣取樣方向、厚(hou)(hou)度等也(ye)是引起KIc分散的(de)原因(yin)(yin)。受(shou)設(she)備壁厚(hou)(hou)、應(ying)(ying)(ying)力狀(zhuang)態、加載模式以(yi)及(ji)工作溫度等多方面因(yin)(yin)素的(de)影響,設(she)備結(jie)構真實的(de)K1c值比(bi)試(shi)驗獲(huo)得的(de)值分散性(xing)更大(da)。在一定(ding)的(de)范圍內,材(cai)(cai)料(liao)(liao)厚(hou)(hou)度較(jiao)小時,裂(lie)紋尖端(duan)處(chu)于(yu)平(ping)面應(ying)(ying)(ying)力狀(zhuang)態,KIc值較(jiao)大(da);當材(cai)(cai)料(liao)(liao)厚(hou)(hou)度較(jiao)大(da)時,裂(lie)紋尖端(duan)區(qu)域處(chu)于(yu)平(ping)面應(ying)(ying)(ying)變狀(zhuang)態,斷裂(lie)韌度值將逐漸(jian)減小,當厚(hou)(hou)度超過一定(ding)值后,斷裂(lie)韌度值將不(bu)再(zai)變化(hua),斷裂(lie)韌度隨試(shi)樣厚(hou)(hou)度的(de)變化(hua)關(guan)系如圖6-13所示(shi)。

適合描述斷裂韌(ren)度隨機性的(de)概率分(fen)布類型主要有(you)正(zheng)態分(fen)布、對數(shu)正(zheng)態分(fen)布以及威(wei)布爾分(fen)布。對于服從(cong)正(zheng)態分(fen)布的(de)斷裂韌(ren)度,其概率密度函(han)數(shu)為

應(ying)力(li)強(qiang)度(du)因子(zi)KI是描述(shu)裂紋(wen)尖端應(ying)力(li)應(ying)變(bian)場的度(du)量,其不(bu)(bu)(bu)確定(ding)性(xing)(xing)主要(yao)是由(you)裂紋(wen)尺寸(cun)、裂紋(wen)形(xing)狀以及(ji)應(ying)力(li)等參數的不(bu)(bu)(bu)確定(ding)性(xing)(xing)引起的。應(ying)力(li)腐蝕裂紋(wen)形(xing)狀不(bu)(bu)(bu)規則(ze)、焊縫部位應(ying)力(li)分布的不(bu)(bu)(bu)均(jun)勻性(xing)(xing),都對K1的不(bu)(bu)(bu)確定(ding)性(xing)(xing)有較大影(ying)響。
根據Kic和KI的概(gai)率分(fen)布函數f(kIc)和f(k1),可(ke)得到(dao)斷裂失效概(gai)率的表達式

3. 算例
某化工廠一臺氫化塔,材料為S30408不銹鋼,塔壁厚度為12mm.塔內原料氣體中含水,且水中的Cl-含量在20mg/L左右。該塔投入約10年后,人孔平臺支腿焊接的部位產生大量的軸向應力腐蝕裂紋,如圖6-14所示。

斷裂韌(ren)度除了(le)服從正態分(fen)(fen)(fen)布(bu)外,還(huan)服從對(dui)數正態分(fen)(fen)(fen)布(bu),圖6-15給(gei)出(chu)了(le)分(fen)(fen)(fen)別服從兩種分(fen)(fen)(fen)布(bu)時的失效(xiao)概(gai)率情(qing)況。分(fen)(fen)(fen)析(xi)圖6-15發現(xian):分(fen)(fen)(fen)布(bu)類型對(dui)本次失效(xiao)概(gai)率的計算結(jie)果影(ying)響(xiang)較(jiao)小,只有在裂紋出(chu)現(xian)的前期有一定影(ying)響(xiang),此時正態分(fen)(fen)(fen)布(bu)對(dui)應的失效(xiao)概(gai)率較(jiao)大。同(tong)時,筆者也分(fen)(fen)(fen)析(xi)了(le)裂紋深(shen)度和(he)長度之(zhi)比對(dui)失效(xiao)概(gai)率的影(ying)響(xiang),結(jie)果如圖6-16所示,失效(xiao)概(gai)率隨(sui)a/c的降低而增大,在裂紋擴展(zhan)中期a/c影(ying)響(xiang)較(jiao)大。



