作為應力腐蝕裂紋的萌生源,香蕉視頻app蘋果:點蝕的(de)(de)產生(sheng)(sheng)(sheng)以及(ji)生(sheng)(sheng)(sheng)長過程相(xiang)當于裂紋的(de)(de)孕(yun)育期。目前,對于點(dian)(dian)(dian)(dian)蝕(shi)(shi)(shi)的(de)(de)萌(meng)(meng)生(sheng)(sheng)(sheng)機(ji)(ji)理有(you)很(hen)多(duo)(duo)(duo)說法,每一(yi)種機(ji)(ji)理都得到了(le)相(xiang)當多(duo)(duo)(duo)的(de)(de)實(shi)驗支持。點(dian)(dian)(dian)(dian)蝕(shi)(shi)(shi)萌(meng)(meng)生(sheng)(sheng)(sheng)機(ji)(ji)理雖多(duo)(duo)(duo),但是(shi)建立(li)的(de)(de)相(xiang)應(ying)判據卻很(hen)少。點(dian)(dian)(dian)(dian)蝕(shi)(shi)(shi)的(de)(de)萌(meng)(meng)生(sheng)(sheng)(sheng)和(he)(he)生(sheng)(sheng)(sheng)長受很(hen)多(duo)(duo)(duo)因素的(de)(de)影響(xiang),如(ru)腐蝕(shi)(shi)(shi)介質(zhi)的(de)(de)成分(fen)(fen)、溫度(du)和(he)(he)流動狀態,材(cai)料的(de)(de)力學性(xing)(xing)能、表面硬質(zhi)夾雜和(he)(he)粗糙度(du),這些(xie)物理量(liang)的(de)(de)不(bu)確定性(xing)(xing)使(shi)得點(dian)(dian)(dian)(dian)蝕(shi)(shi)(shi)在(zai)整個生(sheng)(sheng)(sheng)命周期內(nei)的(de)(de)發展具有(you)很(hen)大(da)的(de)(de)隨(sui)機(ji)(ji)性(xing)(xing)。本章中,在(zai)點(dian)(dian)(dian)(dian)蝕(shi)(shi)(shi)機(ji)(ji)理的(de)(de)研究(jiu)基礎上,建立(li)點(dian)(dian)(dian)(dian)蝕(shi)(shi)(shi)萌(meng)(meng)生(sheng)(sheng)(sheng)判據,并把點(dian)(dian)(dian)(dian)蝕(shi)(shi)(shi)分(fen)(fen)為兩(liang)個不(bu)同(tong)的(de)(de)階段(duan),即點(dian)(dian)(dian)(dian)蝕(shi)(shi)(shi)的(de)(de)萌(meng)(meng)生(sheng)(sheng)(sheng)和(he)(he)生(sheng)(sheng)(sheng)長,分(fen)(fen)別(bie)研究(jiu)這兩(liang)個階段(duan)的(de)(de)隨(sui)機(ji)(ji)性(xing)(xing)。
一(yi)、點蝕的產生
奧氏體不銹鋼表面點蝕的產生是由于鈍化膜受到局部破壞,使其下的基體不斷溶解造成的。在相同外部條件下,鋼表面存在缺陷的鈍化膜會優先破壞,鈍化膜的劃傷或應力集中、晶格缺陷、表面夾雜都可能是產生點蝕的起因。對于不銹鋼,點蝕幾乎無一例外地從硫化物夾雜部位萌生。在外加拉應力的作用下,由于夾雜物與基體材料邊界處存在一定的應力集中,鈍化膜會優先在應力集中程度大的地方破裂,使得硫化物與周圍的基體材料之間形成縫隙,造成硫化物周圍環境的改變。在局部環境的影響下,硫化物容易溶解,溶解的硫化物再附著在該位置,形成封閉的區間,封閉區內溶液成分發生變化,易于溶解基體材料,最終使點蝕形核。
在(zai)拉(la)應力的作用下,鈍化(hua)膜易修復,產生點(dian)蝕所需時(shi)間縮(suo)短,產生點(dian)蝕的概率也會增大(da)。但是(shi),點(dian)蝕的產生主要還(huan)是(shi)受電化(hua)學過程(cheng)控制。因此,從(cong)電化(hua)學角(jiao)度(du)建(jian)立(li)點(dian)蝕的萌生判據更加合(he)理。
1. 點蝕產(chan)生的電化(hua)學判據(ju)
點蝕的產生與點蝕電位φp有密切關系。在實際情況中,點蝕電位是用來確定鈍態金屬耐點蝕能力的重要參數。由于不銹鋼的點蝕優先在一些夾雜物部位形核,因此對于每個鈍態金屬腐蝕體系,總會存在一個臨界點蝕電位φcp,即鈍態金屬表面上具有臨界尺寸和最大活性點的平衡電位。在自腐蝕狀態下,如果把臨界點蝕電位作為點蝕發生的阻力,那么鈍態體系的腐蝕電位φcorr則成為推動點蝕萌生的動力。當體系的腐蝕電位超過臨界點蝕電位時,點蝕就可能萌生。
a. 動力
在中(zhong)性、堿(jian)性及弱(ruo)酸(suan)性介質(zhi)中(zhong),奧氏體(ti)不銹(xiu)(xiu)鋼點蝕與其他(ta)大多(duo)數金屬的(de)腐備一樣,都屬于(yu)氧去極(ji)化腐蝕。假設不銹(xiu)(xiu)鋼在弱(ruo)酸(suan)性NaCl溶液(ye)中(zhong)陰極(ji)反應(ying)僅(jin)為(wei)氧的(de)還原(yuan)反應(ying):

根據混合電位理論,在自腐蝕狀態下,金屬的陽極溶解電流密度ia與去極化劑陰極反應電流密度的絕對值ic相等,電化學反應步驟控制時,氧還原反應的超電位ηo可由以下公式計算:

在酸性環境中,氧(yang)還原反應的基本步驟可分(fen)為:

b. 阻力
不銹鋼表面的鈍(dun)化膜對基體的保護程度與鈍化膜的穩定性、致密性等有關。夾雜物的存在使鈍化膜產生缺陷,Cl-等侵蝕性離子很容易沉積在鈍化膜缺陷處,使鈍態體系的臨界點蝕電位φcp降低。
目前,沒有通用的理論公式來計算臨界點蝕電位φcp和點蝕電位φp數值。
點蝕電位可以通過測極化曲線得到,一般把掃描速度接近于0時的測量值作為真正的點蝕電位,此時,臨界點蝕電位和測量點蝕電位相差很小。因此,掃描速度為0時的點蝕電位可作為臨界點蝕電位的近似值。但在實際情況中,把掃描速度設為0是不現實的。為求得真實的點蝕電位,可以對不同掃描速度下測得的φp進行線性擬合,并采用外推法,外推至掃描速度為0時的數值即為真實的點蝕電位。通過試驗發現,Cl-濃度越低,掃描速度對點蝕電位的影響越小。當Cl-濃度較小時,掃描速度為10mV/min時測得的點蝕電位與掃描速度為0時的點蝕電位相近。為了減少試驗數量,可以把掃描速度為10mV/min時測得的點蝕電位近似作為臨界點蝕電位。
受試驗條件的(de)限(xian)制,一般(ban)測得的(de)臨(lin)界(jie)點(dian)蝕電位(wei)(wei)沒(mei)考慮(lv)應(ying)力的(de)影響,但是應(ying)力可(ke)以提高(gao)金屬(shu)基體(ti)和表面(mian)氧化膜(mo)層的(de)化學(xue)位(wei)(wei),還會使(shi)金屬(shu)表面(mian)的(de)缺陷位(wei)(wei)置發生應(ying)力集(ji)中(zhong),從而使(shi)臨(lin)界(jie)點(dian)蝕電位(wei)(wei)降低(di)。在彈性變形范圍內(nei),因應(ying)力而引(yin)起的(de)臨(lin)界(jie)直蝕電位(wei)(wei)變化可(ke)以用下式計算:

不考(kao)慮應(ying)力集(ji)(ji)中(zhong)(zhong)時,由式(4-8)計(ji)算出(chu)的(de)電(dian)位(wei)降與文(wen)獻的(de)實(shi)測值處于同(tong)一數(shu)量(liang)級。然而,MnS夾雜與基體材料相(xiang)交部位(wei)會存(cun)在一定的(de)應(ying)力集(ji)(ji)中(zhong)(zhong)。根據文(wen)獻取(qu)應(ying)力集(ji)(ji)中(zhong)(zhong)系數(shu)為(wei)2,當(dang)施(shi)加240MPa(小于屈服強度)的(de)應(ying)力時,由式(4-8)計(ji)算得到臨(lin)界(jie)點(dian)蝕(shi)電(dian)位(wei)變化量(liang)ΔΦcp=-18mV.受MnS形狀的(de)影響,有(you)些部位(wei)的(de)應(ying)力集(ji)(ji)中(zhong)(zhong)系數(shu)可能遠大(da)于2,臨(lin)界(jie)點(dian)蝕(shi)電(dian)位(wei)的(de)降低量(liang)會更大(da)。
基于以上分析,點蝕產生的準則為: φcorr > Ψcp (4-9)
2. 點蝕產生的(de)概(gai)率分析
從以上分析可以看出,點蝕的產生受很多變量的影響,變量的不確定性給點蝕產生帶來很大的隨機性,主要的隨機變量為T、pH、ib、i0以及φcp。對某煉油廠提供的監測數據進行統計分析,經過x2檢驗發現,在顯著性水平0.05下,溫度T和溶液的pH值都滿足正態分布,如圖4-1所示。變量φcp、ip、io的隨機性需要通過試驗數據統計獲得。根據文獻的試驗結果,當Cl-濃度較小(約60mg/kg以下)時,維鈍電流密度和交換電流密度變化很小,可作為確定性變量;當Cl-濃度大于60mg/kg時,分析發現,維鈍電流密度和交換電流密度滿足正態分布。

當考慮以上(shang)變量(liang)的隨(sui)機性時,點蝕萌生概率可表示為:

Cl-濃度較低的情況下(小于60mg/L),變量i0和ip的隨機性可忽略,點蝕萌生的概率表達式為:

隨著時間的增加,Cl-在活性點的吸附量增多,加速了鈍化膜的溶解,從而使臨界點蝕電位向負方向偏移。因此,臨界點蝕電位隨時間在數值上是減小的,即t↑→φcb(t)↓.因此,采用強度退化的動態應力-強度模型可以很好地描述點蝕產生隨時間的變化關系,模型如圖4-2所示。

3. 計算(suan)實例
為分析點蝕萌生概率,以304L不(bu)銹(xiu)鋼為試樣,進行動電位極化曲線測試,材料化學成分如表4-1所示。把圓柱形試樣用環氧樹脂密封,只保留直徑為1cm的圓形表面,經打磨、拋光、清洗、吹干后備用。電化學實驗采用三電極體系,工作電極的封裝過程如下:

①. 準備環氧樹脂。通(tong)常(chang)是按照特定比例,混(hun)合A、B兩膠。混(hun)合后的環氧樹脂很黏稠。
②. 抽濾環氧樹脂(zhi)。用(yong)真空(kong)泵(beng)將環氧樹脂(zhi)中的氣泡(pao)抽出。
③. 準(zhun)備(bei)模具(ju)和樣品。將一(yi)個PVC環平放在桌(zhuo)面/墊(dian)布上(shang),將和銅(tong)導柱焊接(jie)在一(yi)起的(de)樣品倒立放置(zhi)在PVC環的(de)中央。
④. 往圓環(huan)中倒入(ru)環(huan)氧(yang)樹脂,在室(shi)溫下風(feng)干至少24h。
⑤. 在打磨(mo)機上對電極進(jin)行打磨(mo)拋光直至形成鏡面(mian)。如樣(yang)品和(he)銅(tong)導柱(zhu)之間(jian)焊接的不(bu)好(hao),打磨(mo)的外力(li)可能會(hui)導致接觸不(bu)良,以致測(ce)試時導通不(bu)良好(hao)。
試驗溶液為0.1%NaCl+CH3COOH,溶液的pH值為5左右。把試樣分批次浸泡在試驗溶液中,浸泡時間分別為0d、5d、25d、45d、60d、65d.把浸泡后的試樣作為工作電極進行極化曲線測試,試驗后部分試樣表面點蝕情況如圖4-3所示。室溫下,由于溫度波動很小,把溫度作為確定性變量;介質為空氣所飽和,氧分壓比取0.21;對實驗數據進行統計處理后,采用蒙特卡羅數值模擬法計算不同時間的點蝕萌生概率。當模擬次數大于105時,計算結果基本不隨模擬次數的增加而變化。因此,把模擬次數為105時的計算結果作為最終值,結果如圖4-4所示。


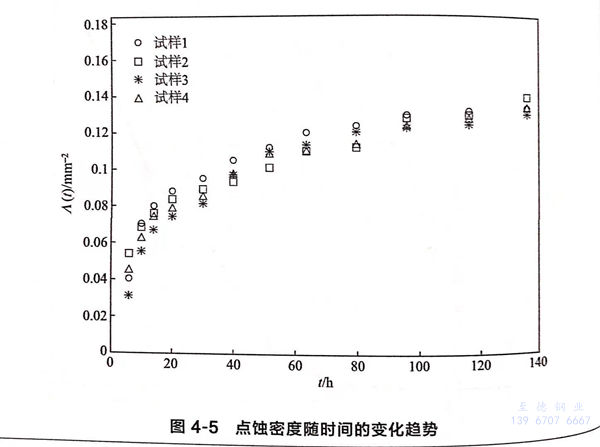
二、點蝕產生率分析(xi)
為(wei)(wei)了(le)解(jie)不同(tong)時(shi)(shi)間(jian)點(dian)(dian)(dian)蝕(shi)(shi)萌(meng)生(sheng)(sheng)數(shu)量,采用浸(jin)(jin)泡法研究(jiu)點(dian)(dian)(dian)蝕(shi)(shi)的(de)(de)萌(meng)生(sheng)(sheng)率,為(wei)(wei)縮短試(shi)(shi)驗周期,使用FeCl。溶(rong)(rong)液作(zuo)為(wei)(wei)腐蝕(shi)(shi)液。試(shi)(shi)驗用材(cai)、試(shi)(shi)樣(yang)尺寸、封裝(zhuang)方式同(tong)4.1.3節(jie),試(shi)(shi)樣(yang)打磨后(hou)放(fang)入6%FeCl3溶(rong)(rong)液中浸(jin)(jin)泡。經(jing)過一定時(shi)(shi)間(jian)的(de)(de)腐蝕(shi)(shi)后(hou),把試(shi)(shi)樣(yang)取(qu)出,經(jing)清洗和烘干,在低(di)倍鏡下測量單位(wei)面(mian)積上的(de)(de)點(dian)(dian)(dian)蝕(shi)(shi)坑數(shu)目。點(dian)(dian)(dian)蝕(shi)(shi)密度隨浸(jin)(jin)泡時(shi)(shi)間(jian)的(de)(de)變化(hua)趨(qu)勢(shi)如圖(tu)4-5所示。從圖(tu)4-5可看出,點(dian)(dian)(dian)蝕(shi)(shi)產(chan)生(sheng)(sheng)的(de)(de)初(chu)始階段,點(dian)(dian)(dian)蝕(shi)(shi)萌(meng)生(sheng)(sheng)率很大,經(jing)過一段時(shi)(shi)間(jian)后(hou)逐漸減小,并趨(qu)于平穩。由于點(dian)(dian)(dian)蝕(shi)(shi)的(de)(de)產(chan)生(sheng)(sheng)與材(cai)料表面(mian)的(de)(de)MnS夾雜有關,MnS夾雜部位(wei)點(dian)(dian)(dian)蝕(shi)(shi)的(de)(de)孕(yun)育時(shi)(shi)間(jian)基本相同(tong),點(dian)(dian)(dian)蝕(shi)(shi)萌(meng)生(sheng)(sheng)時(shi)(shi)間(jian)比較集中。

點蝕(shi)萌(meng)生率趨于平(ping)穩的(de)原因有兩方面:一(yi)方面,當材(cai)料表(biao)面絕大(da)部(bu)分的(de)MnS夾雜溶(rong)解并形成點蝕(shi)坑(keng)后,點蝕(shi)坑(keng)萌(meng)生速率由萌(meng)生速率平(ping)穩的(de)光滑表(biao)面上形成的(de)點蝕(shi)坑(keng)控制;另一(yi)方面,在已有的(de)點蝕(shi)坑(keng)生長過程中,坑(keng)外的(de)陰極反應抑制了點蝕(shi)坑(keng)周圍鈍化(hua)膜的(de)溶(rong)解,降(jiang)低(di)了點蝕(shi)敏感性。
為了描述點蝕(shi)萌(meng)生數量與時間之(zhi)間的(de)關系(xi),選(xuan)用非齊次泊松過程(cheng)來模擬點蝕(shi)的(de)萌(meng)生過程(cheng)。定義平(ping)均點蝕(shi)密度(du)為:

根據試驗數據,采用極大似然法估算γ 和 δ 值。假設第 i 個時間區間(ti-1,ti)內單位面積上萌生的點蝕數目ki,每個進行了12次觀察,根據式(4-14),可得到任一試樣j 上點蝕萌生數目分布的似然函數:

采(cai)用(yong)MATLAB軟件求(qiu)解,分別得到γ和8的(de)(de)最大似(si)然(ran)估計值(zhi)為(wei)0.0317和0.301。根據參數擬合(he)的(de)(de)曲(qu)線(如圖4-6所(suo)示(shi)),雖然(ran)單個(ge)試(shi)樣(yang)上點(dian)蝕萌生數量與(yu)擬合(he)結(jie)果有一(yi)定的(de)(de)差距,但(dan)是(shi)綜(zong)合(he)所(suo)有的(de)(de)試(shi)樣(yang)來(lai)比較(jiao),試(shi)驗值(zhi)與(yu)模擬值(zhi)是(shi)很接近的(de)(de)。因此,采(cai)用(yong)非齊(qi)次(ci)泊松過(guo)程可以很好地描述(shu)奧氏體不銹鋼(gang)點(dian)蝕產生過(guo)程的(de)(de)隨機性(xing)。

三、點蝕生長概率(lv)分析
1. 點蝕(shi)生長模型(xing)
穩態點蝕一旦形成,坑外發生陰極反應:2H2O+O2+4e- → 4OH-或H++e- → H;坑內的金屬發生陽極溶解反應:M→Mn++ne-;金屬離子向外擴散并會進一步發生水解反應:Mn++H2O→M(OH)(n-1)++H+。腐蝕產物和可溶性鹽在坑口沉淀,使蝕坑形成閉塞電池。隨著水解反應的進行,點蝕坑內溶液的酸性增強,為了保持電荷平衡,Cl-向坑內遷移,坑壁金屬無法再鈍化,坑內Cl-濃度逐漸升高,加速了腐蝕進程。
點蝕(shi)坑的(de)形(xing)狀有(you)半(ban)球(qiu)形(xing)、半(ban)橢球(qiu)性、錐形(xing)等(deng),其中半(ban)橢球(qiu)形(xing)是奧氏體不(bu)銹鋼(gang)點蝕(shi)中最常見的(de)一種類型。假設(she)點蝕(shi)坑的(de)形(xing)狀為(wei)半(ban)橢球(qiu)形(xing),長(chang)軸(zhou)(zhou)、短軸(zhou)(zhou)和深度(du)分別(bie)用2b、2c、a表示,當開口(kou)平面內長(chang)、短兩軸(zhou)(zhou)相(xiang)等(deng),即(ji)b=c時,點蝕(shi)坑的(de)體積可(ke)寫為(wei):

點蝕坑的生長包括亞穩態和穩態兩個階段。亞穩態點蝕生長過程中,一般點蝕電流密度較大,點蝕生長較快,與整個點蝕生長過程相比較,此階段所經歷的時間很短。可以采用點蝕電流密度ip和點蝕坑深度a的乘積值來判斷點蝕是否已發展到穩定狀態。Pistorius等人的研究表明,當ipa值達到3×10-4A/mm時就可使點蝕坑穩定生長。根據文獻的研究結果,304L不銹鋼在3.5%NaCl溶液中亞穩態點蝕活性溶解階段電流密度為3.5×10-2A/m㎡,由此可計算出穩態點蝕坑的初始深度為8.57μm。
2. 點蝕生長概(gai)率(lv)
根據式(4-22)來分析點蝕生長概率,首先需要分析表達式中的確定變量有隨機變量。其中,M、z和p是確定變量,Ip、? 和a0為隨機變量。在點蝕者定生長階段,由于不考慮形態的變化,可以只考慮Ip和a0的不確定性而忽略形狀系數?的不確定性。
a. Ip的不確定性

由于不同的環境和應力作用下Ip0無法通過計算公式得到,因此Ip的隨機性只能通過對大量實測數據統計獲得。
b. ao的不確定性
假設點蝕初始深度等于MnS夾雜物的橫截面尺寸,那么,ao的不確定性是由夾雜物的尺寸引起的。對于奧氏體不銹鋼,MnS夾雜物直徑在1~5μm之間,根據文獻的統計,MnS夾雜物橫截面尺寸服從對數正態分布,均值和方差分別是2μm和0.1μ㎡,根據概率理論求得ao的概率密度函數為:

四、總結(jie)
本次主要研(yan)究了點蝕(shi)的(de)萌生和生長,在此基礎上,分析了萌生和生長的(de)概率。
①. 分析點(dian)(dian)蝕萌生(sheng)的(de)電(dian)化學機理,建立了點(dian)(dian)蝕萌生(sheng)的(de)判據。根據試(shi)驗數據;計算了點(dian)(dian)蝕萌生(sheng)的(de)概率。
②. 對304L不銹鋼點蝕實驗數據進行(xing)了分析(xi),采用非齊次泊松過(guo)程描述了點蝕產生的隨機過(guo)程,并對模型的參數進行(xing)了估計。
③. 對半橢球點蝕坑(keng)的(de)生長過程(cheng)進(jin)行了(le)建模,分(fen)析了(le)模型(xing)中(zhong)變量(liang)的(de)隨(sui)機性。
結果表明,點(dian)蝕坑深度尺寸(cun)的概率主要與點(dian)蝕電流(liu)和MnS夾雜物的尺寸(cun)兩個隨機變量有關(guan)。

