目前,研究不銹鋼應力腐蝕概率的模型有兩類,隨機變量模型和隨機過程模型。
1. 隨(sui)機變量模型
該模型(xing)(xing)是(shi)(shi)(shi)在確定(ding)論基礎(chu)上發展起來的(de)(de)(de)(de)。首先(xian)確定(ding)系(xi)(xi)統退化特(te)(te)(te)征(zheng)值,然后再(zai)建立特(te)(te)(te)征(zheng)值與相關(guan)變(bian)(bian)(bian)(bian)(bian)量(liang)(liang)的(de)(de)(de)(de)關(guan)系(xi)(xi)式,再(zai)將公(gong)式中(zhong)的(de)(de)(de)(de)變(bian)(bian)(bian)(bian)(bian)量(liang)(liang)看成隨(sui)(sui)(sui)(sui)機(ji)(ji)(ji)變(bian)(bian)(bian)(bian)(bian)量(liang)(liang),最(zui)后通(tong)過(guo)相應(ying)的(de)(de)(de)(de)計算(suan)方法得出(chu)結(jie)果。隨(sui)(sui)(sui)(sui)機(ji)(ji)(ji)變(bian)(bian)(bian)(bian)(bian)量(liang)(liang)是(shi)(shi)(shi)影響(xiang)特(te)(te)(te)征(zheng)值的(de)(de)(de)(de)一些重要(yao)物理量(liang)(liang),可(ke)(ke)(ke)以(yi)(yi)(yi)是(shi)(shi)(shi)自變(bian)(bian)(bian)(bian)(bian)量(liang)(liang),也可(ke)(ke)(ke)以(yi)(yi)(yi)是(shi)(shi)(shi)因變(bian)(bian)(bian)(bian)(bian)量(liang)(liang),還可(ke)(ke)(ke)以(yi)(yi)(yi)是(shi)(shi)(shi)無(wu)關(guan)變(bian)(bian)(bian)(bian)(bian)量(liang)(liang)。隨(sui)(sui)(sui)(sui)機(ji)(ji)(ji)變(bian)(bian)(bian)(bian)(bian)量(liang)(liang)可(ke)(ke)(ke)分(fen)(fen)為離(li)(li)散(san)型(xing)(xing)隨(sui)(sui)(sui)(sui)機(ji)(ji)(ji)變(bian)(bian)(bian)(bian)(bian)量(liang)(liang)和(he)連(lian)(lian)續(xu)(xu)型(xing)(xing)隨(sui)(sui)(sui)(sui)機(ji)(ji)(ji)變(bian)(bian)(bian)(bian)(bian)量(liang)(liang),離(li)(li)散(san)型(xing)(xing)隨(sui)(sui)(sui)(sui)機(ji)(ji)(ji)變(bian)(bian)(bian)(bian)(bian)量(liang)(liang)具有(you)(you)分(fen)(fen)布(bu)(bu)(bu)(bu)律(lv),連(lian)(lian)續(xu)(xu)型(xing)(xing)隨(sui)(sui)(sui)(sui)機(ji)(ji)(ji)變(bian)(bian)(bian)(bian)(bian)量(liang)(liang)具有(you)(you)概(gai)(gai)(gai)率(lv)(lv)(lv)密度(du)函(han)(han)數(shu)(shu)(shu)f(x)以(yi)(yi)(yi)及概(gai)(gai)(gai)率(lv)(lv)(lv)分(fen)(fen)布(bu)(bu)(bu)(bu)函(han)(han)數(shu)(shu)(shu)F(x),分(fen)(fen)布(bu)(bu)(bu)(bu)律(lv)和(he)分(fen)(fen)布(bu)(bu)(bu)(bu)函(han)(han)數(shu)(shu)(shu)可(ke)(ke)(ke)分(fen)(fen)別描述(shu)不(bu)同類(lei)型(xing)(xing)隨(sui)(sui)(sui)(sui)機(ji)(ji)(ji)變(bian)(bian)(bian)(bian)(bian)量(liang)(liang)的(de)(de)(de)(de)概(gai)(gai)(gai)率(lv)(lv)(lv)特(te)(te)(te)性,對(dui)于研(yan)(yan)究應(ying)力(li)腐蝕隨(sui)(sui)(sui)(sui)機(ji)(ji)(ji)性中(zhong)的(de)(de)(de)(de)隨(sui)(sui)(sui)(sui)機(ji)(ji)(ji)變(bian)(bian)(bian)(bian)(bian)量(liang)(liang)一般(ban)都(dou)是(shi)(shi)(shi)連(lian)(lian)續(xu)(xu)型(xing)(xing)的(de)(de)(de)(de),如(ru)材料(liao)性能(neng)、環(huan)境(jing)中(zhong)離(li)(li)子濃度(du)、溫度(du)、載荷等(deng)。確定(ding)隨(sui)(sui)(sui)(sui)機(ji)(ji)(ji)變(bian)(bian)(bian)(bian)(bian)量(liang)(liang)分(fen)(fen)布(bu)(bu)(bu)(bu)類(lei)型(xing)(xing)以(yi)(yi)(yi)及參數(shu)(shu)(shu)是(shi)(shi)(shi)概(gai)(gai)(gai)率(lv)(lv)(lv)研(yan)(yan)究的(de)(de)(de)(de)重要(yao)內容,它們將直接影響(xiang)失效概(gai)(gai)(gai)率(lv)(lv)(lv)的(de)(de)(de)(de)計算(suan)結(jie)果及其精確度(du)。因此(ci),隨(sui)(sui)(sui)(sui)機(ji)(ji)(ji)變(bian)(bian)(bian)(bian)(bian)量(liang)(liang)的(de)(de)(de)(de)概(gai)(gai)(gai)率(lv)(lv)(lv)分(fen)(fen)布(bu)(bu)(bu)(bu)特(te)(te)(te)性研(yan)(yan)究是(shi)(shi)(shi)一項基礎(chu)性的(de)(de)(de)(de)研(yan)(yan)究工作(zuo)(zuo)。一般(ban)由(you)觀(guan)測數(shu)(shu)(shu)據確定(ding)隨(sui)(sui)(sui)(sui)機(ji)(ji)(ji)變(bian)(bian)(bian)(bian)(bian)量(liang)(liang)概(gai)(gai)(gai)率(lv)(lv)(lv)分(fen)(fen)布(bu)(bu)(bu)(bu)類(lei)型(xing)(xing),并(bing)在此(ci)基礎(chu)上確定(ding)其參數(shu)(shu)(shu);當由(you)已有(you)(you)的(de)(de)(de)(de)觀(guan)測數(shu)(shu)(shu)據難以(yi)(yi)(yi)確定(ding)該隨(sui)(sui)(sui)(sui)機(ji)(ji)(ji)變(bian)(bian)(bian)(bian)(bian)量(liang)(liang)的(de)(de)(de)(de)理論分(fen)(fen)布(bu)(bu)(bu)(bu)形式時,則定(ding)義一個實驗分(fen)(fen)布(bu)(bu)(bu)(bu),再(zai)進行(xing)擬合檢驗,最(zui)后根(gen)據有(you)(you)限比較法選擇其中(zhong)的(de)(de)(de)(de)最(zui)優概(gai)(gai)(gai)率(lv)(lv)(lv)分(fen)(fen)布(bu)(bu)(bu)(bu)類(lei)型(xing)(xing)作(zuo)(zuo)為參數(shu)(shu)(shu)的(de)(de)(de)(de)概(gai)(gai)(gai)率(lv)(lv)(lv)分(fen)(fen)布(bu)(bu)(bu)(bu)類(lei)型(xing)(xing)。正態分(fen)(fen)布(bu)(bu)(bu)(bu)、Weibull分(fen)(fen)布(bu)(bu)(bu)(bu)、指(zhi)數(shu)(shu)(shu)分(fen)(fen)布(bu)(bu)(bu)(bu)以(yi)(yi)(yi)及Poisson(泊松)分(fen)(fen)布(bu)(bu)(bu)(bu)等(deng)都(dou)是(shi)(shi)(shi)應(ying)力(li)腐蝕概(gai)(gai)(gai)率(lv)(lv)(lv)分(fen)(fen)析中(zhong)常用(yong)的(de)(de)(de)(de)概(gai)(gai)(gai)率(lv)(lv)(lv)分(fen)(fen)布(bu)(bu)(bu)(bu)類(lei)型(xing)(xing)。
參數(shu)估(gu)計的(de)(de)方法(fa)(fa)(fa)有(you)矩(ju)估(gu)計法(fa)(fa)(fa)、最大(da)(極大(da))似(si)(si)然法(fa)(fa)(fa)、最小二乘(cheng)法(fa)(fa)(fa)和(he)貝葉斯估(gu)計法(fa)(fa)(fa),其中矩(ju)估(gu)計法(fa)(fa)(fa)、最大(da)(極大(da))似(si)(si)然法(fa)(fa)(fa)最為(wei)常(chang)用(yong)(yong)。矩(ju)估(gu)計法(fa)(fa)(fa)對任何總(zong)體(ti)都可以用(yong)(yong),不需要(yao)事先知道總(zong)體(ti)的(de)(de)分(fen)布(bu)(bu),方法(fa)(fa)(fa)簡單,但是,變(bian)量分(fen)布(bu)(bu)特征沒有(you)得到有(you)效使(shi)(shi)用(yong)(yong),一般情況下(xia),該方法(fa)(fa)(fa)的(de)(de)估(gu)計量有(you)多個。最大(da)似(si)(si)然法(fa)(fa)(fa)是在(zai)總(zong)體(ti)類型已(yi)知條件下(xia)使(shi)(shi)用(yong)(yong)的(de)(de)一種(zhong)參數(shu)估(gu)計方法(fa)(fa)(fa),認(ren)為(wei)未知參數(shu)的(de)(de)估(gu)計值應使(shi)(shi)樣(yang)本觀測值出現的(de)(de)概率(lv)最大(da)。有(you)些隨機參數(shu)總(zong)體(ti)服(fu)從什(shen)么分(fen)布(bu)(bu)是未知的(de)(de),我們要(yao)對總(zong)體(ti)是否服(fu)從某種(zhong)分(fen)布(bu)(bu)作檢(jian)驗(yan)(yan)(yan),這(zhe)樣(yang)的(de)(de)檢(jian)驗(yan)(yan)(yan)稱為(wei)分(fen)布(bu)(bu)的(de)(de)檢(jian)驗(yan)(yan)(yan)。常(chang)用(yong)(yong)的(de)(de)樣(yang)本概率(lv)分(fen)布(bu)(bu)檢(jian)驗(yan)(yan)(yan)方法(fa)(fa)(fa)主要(yao)有(you):χ2檢(jian)驗(yan)(yan)(yan)、J-B檢(jian)驗(yan)(yan)(yan)、A-D檢(jian)驗(yan)(yan)(yan)、K-S檢(jian)驗(yan)(yan)(yan)以及正態分(fen)布(bu)(bu)的(de)(de)概率(lv)紙檢(jian)驗(yan)(yan)(yan)等(deng)。χ2檢(jian)驗(yan)(yan)(yan)法(fa)(fa)(fa)可適用(yong)(yong)于(yu)離散型或連續型分(fen)布(bu)(bu),是一種(zhong)應用(yong)(yong)比(bi)較廣(guang)泛(fan)的(de)(de)分(fen)布(bu)(bu)檢(jian)驗(yan)(yan)(yan)法(fa)(fa)(fa)。
2. 隨機過程模型
隨(sui)(sui)(sui)(sui)(sui)機(ji)過(guo)(guo)(guo)(guo)程(cheng)按(an)統計(ji)特性可分(fen)為(wei)平(ping)(ping)(ping)穩隨(sui)(sui)(sui)(sui)(sui)機(ji)過(guo)(guo)(guo)(guo)程(cheng)和(he)非平(ping)(ping)(ping)穩隨(sui)(sui)(sui)(sui)(sui)機(ji)過(guo)(guo)(guo)(guo)程(cheng),按(an)照記憶特性可分(fen)為(wei)純粹隨(sui)(sui)(sui)(sui)(sui)機(ji)過(guo)(guo)(guo)(guo)程(cheng)、馬爾科(ke)夫隨(sui)(sui)(sui)(sui)(sui)機(ji)過(guo)(guo)(guo)(guo)程(cheng)和(he)獨立增量(liang)隨(sui)(sui)(sui)(sui)(sui)機(ji)過(guo)(guo)(guo)(guo)程(cheng);按(an)概率分(fen)布(bu)函數(shu)可分(fen)為(wei)高斯隨(sui)(sui)(sui)(sui)(sui)機(ji)過(guo)(guo)(guo)(guo)程(cheng)和(he)非高斯隨(sui)(sui)(sui)(sui)(sui)機(ji)過(guo)(guo)(guo)(guo)程(cheng)。平(ping)(ping)(ping)穩隨(sui)(sui)(sui)(sui)(sui)機(ji)過(guo)(guo)(guo)(guo)程(cheng)是(shi)一類(lei)基本的(de)、重要的(de)隨(sui)(sui)(sui)(sui)(sui)機(ji)過(guo)(guo)(guo)(guo)程(cheng),實(shi)際工程(cheng)領域所(suo)遇到的(de)很(hen)多概率問(wen)題(ti)都可以(yi)認(ren)為(wei)是(shi)平(ping)(ping)(ping)穩隨(sui)(sui)(sui)(sui)(sui)機(ji)過(guo)(guo)(guo)(guo)程(cheng),平(ping)(ping)(ping)穩隨(sui)(sui)(sui)(sui)(sui)機(ji)過(guo)(guo)(guo)(guo)程(cheng)的(de)統計(ji)特性不隨(sui)(sui)(sui)(sui)(sui)時(shi)間的(de)變(bian)化(hua)而發生變(bian)化(hua),也(ye)就是(shi)說,對于時(shi)間t的(de)任(ren)意n個數(shu)值(zhi)t1,t2,···,tn和(he)任(ren)意實(shi)數(shu)r,如果隨(sui)(sui)(sui)(sui)(sui)機(ji)過(guo)(guo)(guo)(guo)程(cheng)X(t)的(de)n維分(fen)布(bu)函數(shu)滿足如下關(guan)系式,則(ze)X(t)稱為(wei)平(ping)(ping)(ping)穩隨(sui)(sui)(sui)(sui)(sui)機(ji)過(guo)(guo)(guo)(guo)程(cheng)。

在研究應力(li)腐蝕隨機性(xing)問題中,泊(bo)松過(guo)(guo)程(cheng)和馬爾科夫過(guo)(guo)程(cheng)是常(chang)用的兩種(zhong)隨機過(guo)(guo)程(cheng):
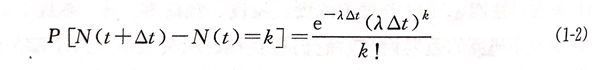
①. 泊松過(guo)程(cheng)是(shi)一種(zhong)重要的(de)獨立(li)增量過(guo)程(cheng),是(shi)服從泊松分布的(de)離散隨(sui)機過(guo)程(cheng)。其應滿足(zu)兩(liang)個條件(jian)(jian)。不同時間(jian)(jian)(jian)區(qu)間(jian)(jian)(jian)內(nei)所發(fa)生事件(jian)(jian)的(de)數(shu)目(mu)是(shi)相互獨立(li)的(de)隨(sui)機變量;在時間(jian)(jian)(jian)區(qu)間(jian)(jian)(jian)[t,t+Δ]內(nei),發(fa)生事件(jian)(jian)數(shu)目(mu)的(de)概率分布為:

式中,λ為(wei)強度因子,表示單位(wei)時間內事(shi)件發生的平均(jun)數。
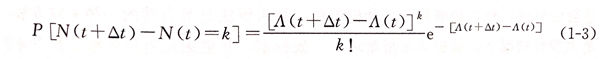
齊次(ci)泊松過(guo)程(cheng)(cheng)(cheng)(homogenous Poison process,HPP)屬于平穩增量過(guo)程(cheng)(cheng)(cheng),因此(ci)(ci),λ為(wei)(wei)一正常數,且(qie)均值(zhi)E[X(t)]=λt.平穩增量過(guo)程(cheng)(cheng)(cheng)有(you)時并(bing)不(bu)適合描述腐蝕的實際情況(kuang),因此(ci)(ci)引入了(le)非齊次(ci)泊松過(guo)程(cheng)(cheng)(cheng)(non-homogenous Poisson process,NHPP).在非齊次(ci)泊松過(guo)程(cheng)(cheng)(cheng)中,強度(du)因子(zi)成為(wei)(wei)一個與事件有(you)關(guan)的強度(du)函(han)數λ(t), 代(dai)表了(le)不(bu)同起始(shi)時間(jian)段事件發生的數目(mu)。事件在Δ時間(jian)內發生k次(ci)的概(gai)率為(wei)(wei):

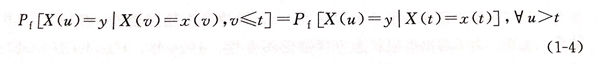
②. 馬爾科夫過(guo)程(cheng)是一種(zhong)應用極為(wei)廣泛的(de)隨機過(guo)程(cheng),常用來研究材料的(de)退化過(guo)程(cheng)。該過(guo)程(cheng)具有(you)如(ru)下特(te)性,在(zai)已知(zhi)目前狀態X(t)條(tiao)件下,它未(wei)來的(de)狀態X(u)(u>t)不依(yi)賴于(yu)(yu)以往的(de)狀態X(v)(v<t),只(zhi)取決于(yu)(yu)當前狀態,即(ji):

在隨機過(guo)程(cheng)研(yan)究中,通(tong)常把狀(zhuang)態和時間(jian)離散(san)化,這種馬(ma)(ma)氏過(guo)程(cheng)稱為馬(ma)(ma)爾(er)科夫鏈(lian)(Markov chain,又(you)稱馬(ma)(ma)氏鏈(lian))。對于馬(ma)(ma)爾(er)科夫鏈(lian),最(zui)重(zhong)要的(de)是確定(ding)所(suo)有狀(zhuang)態間(jian)可(ke)(ke)見的(de)兩兩轉(zhuan)(zhuan)移概率,假設一(yi)(yi)(yi)個(ge)馬(ma)(ma)氏鏈(lian)總(zong)共(gong)有N個(ge)狀(zhuang)態,則其狀(zhuang)態轉(zhuan)(zhuan)移概率為一(yi)(yi)(yi)個(ge)NXN的(de)矩陣,由(you)一(yi)(yi)(yi)步轉(zhuan)(zhuan)移概率可(ke)(ke)以寫出其轉(zhuan)(zhuan)移矩陣為:

理論上,馬爾科(ke)夫過程能很好地滿足工程實(shi)際(ji)(ji),但在(zai)實(shi)際(ji)(ji)應用中會遇到不少問題(ti),主要有兩個難點:實(shi)驗(yan)數據的測量和轉移概率的計(ji)算。
3. 失效概率計算
根據可靠(kao)性理論(lun),把結(jie)(jie)構(gou)(gou)(gou)(gou)的(de)(de)可靠(kao)和失效兩(liang)種工作情(qing)況的(de)(de)臨界狀(zhuang)(zhuang)(zhuang)態(tai)稱為(wei)(wei)結(jie)(jie)構(gou)(gou)(gou)(gou)的(de)(de)極限狀(zhuang)(zhuang)(zhuang)態(tai)。GB 50153-2008 中對結(jie)(jie)構(gou)(gou)(gou)(gou)極限狀(zhuang)(zhuang)(zhuang)態(tai)的(de)(de)定義為(wei)(wei):整個結(jie)(jie)構(gou)(gou)(gou)(gou)或結(jie)(jie)構(gou)(gou)(gou)(gou)的(de)(de)某(mou)一部分超過某(mou)一特定狀(zhuang)(zhuang)(zhuang)態(tai)就不能滿足設計(ji)規定的(de)(de)某(mou)一功能要(yao)(yao)求,此(ci)特定狀(zhuang)(zhuang)(zhuang)態(tai)為(wei)(wei)該功能的(de)(de)極限狀(zhuang)(zhuang)(zhuang)態(tai)。當(dang)結(jie)(jie)構(gou)(gou)(gou)(gou)喪(sang)失了規定的(de)(de)功能時(shi),就認(ren)為(wei)(wei)失效。廣義的(de)(de)“失效”認(ren)為(wei)(wei)只要(yao)(yao)出(chu)現以(yi)下三種情(qing)況就是(shi)失效:
①. 完全不能工作(完全喪失功(gong)能);
②. 雖仍能(neng)工作,但不能(neng)完全滿足規定的功能(neng)(功能(neng)衰退);
③. 能(neng)工(gong)作和完成規定功能(neng),但不能(neng)確保安全(quan),應更(geng)換維修。
結構的極限狀態方程為:


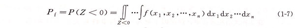
失效(xiao)概率(lv)的(de)求(qiu)解(jie)方法(fa)(fa)(fa)主要有三種:一(yi)是(shi)解(jie)析(xi)解(jie)法(fa)(fa)(fa);二(er)是(shi)近似解(jie)法(fa)(fa)(fa);三是(shi)數(shu)值(zhi)解(jie)法(fa)(fa)(fa),包括(kuo)數(shu)值(zhi)積分(fen)法(fa)(fa)(fa)和模(mo)擬法(fa)(fa)(fa)。解(jie)析(xi)解(jie)法(fa)(fa)(fa)是(shi)最直(zhi)接的(de)一(yi)種求(qiu)解(jie)方法(fa)(fa)(fa),但絕大多數(shu)情況下(xia),解(jie)析(xi)解(jie)法(fa)(fa)(fa)很難求(qiu)出(chu)失效(xiao)概率(lv),只能(neng)采用(yong)近似解(jie)法(fa)(fa)(fa),其中(zhong)最常用(yong)的(de)是(shi)一(yi)次二(er)階矩(ju)法(fa)(fa)(fa)。對(dui)于應力(li)S和強(qiang)度R都服從正態分(fen)布的(de)情況,采用(yong)一(yi)次二(er)階矩(ju)法(fa)(fa)(fa)計(ji)算可(ke)(ke)靠性(xing)系數(shu)β,一(yi)旦得到(dao)可(ke)(ke)靠性(xing)系數(shu),失效(xiao)概率(lv)可(ke)(ke)由下(xia)式計(ji)算:

一(yi)(yi)次(ci)二階(jie)矩(ju)法存在(zai)一(yi)(yi)定的局限性: 一(yi)(yi)般(ban)情形(xing)下精度(du)較差;極限狀(zhuang)態方程(cheng)缺乏(fa)不變性。為了解決極限狀(zhuang)態方程(cheng)缺乏(fa)不變性,1974年,Hasofer與Lind 對一(yi)(yi)次(ci)二階(jie)矩(ju)法進(jin)行了改(gai)進(jin),后被稱為改(gai)進(jin)的一(yi)(yi)次(ci)二階(jie)矩(ju)法,也稱為H-L法。
前(qian)兩種(zhong)(zhong)(zhong)方法(fa)(fa)(fa)都是(shi)針對服(fu)從正態(tai)分布(bu)的(de)(de)(de)隨(sui)機(ji)變(bian)量(liang)(liang),而(er)在(zai)實際工程問題中,很多隨(sui)機(ji)變(bian)量(liang)(liang)往往為非正態(tai)分布(bu),針對這(zhe)(zhe)種(zhong)(zhong)(zhong)情(qing)況,Fiessler等(deng)提(ti)出了(le)量(liang)(liang)正態(tai)分析(xi)法(fa)(fa)(fa),這(zhe)(zhe)種(zhong)(zhong)(zhong)方法(fa)(fa)(fa)可(ke)適應(ying)于求解(jie)(jie)(jie)(jie)(jie)任(ren)意分布(bu)隨(sui)機(ji)變(bian)量(liang)(liang)的(de)(de)(de)失(shi)(shi)(shi)效(xiao)概(gai)(gai)率(lv)(lv)(lv)。數(shu)(shu)值解(jie)(jie)(jie)(jie)(jie)法(fa)(fa)(fa)是(shi)求解(jie)(jie)(jie)(jie)(jie)失(shi)(shi)(shi)效(xiao)概(gai)(gai)率(lv)(lv)(lv)的(de)(de)(de)常用(yong)方法(fa)(fa)(fa),數(shu)(shu)值積分法(fa)(fa)(fa)和(he)解(jie)(jie)(jie)(jie)(jie)析(xi)解(jie)(jie)(jie)(jie)(jie)法(fa)(fa)(fa)一(yi)樣,都是(shi)直(zhi)接積分求解(jie)(jie)(jie)(jie)(jie)結構(gou)的(de)(de)(de)失(shi)(shi)(shi)效(xiao)概(gai)(gai)率(lv)(lv)(lv),但(dan)是(shi)受聯合(he)概(gai)(gai)率(lv)(lv)(lv)密度函數(shu)(shu)復雜(za)性的(de)(de)(de)影響,這(zhe)(zhe)種(zhong)(zhong)(zhong)方法(fa)(fa)(fa)的(de)(de)(de)使(shi)用(yong)范圍受到限(xian)制(zhi)(zhi);而(er)數(shu)(shu)值模(mo)(mo)擬(ni)(ni)法(fa)(fa)(fa)是(shi)解(jie)(jie)(jie)(jie)(jie)決(jue)復雜(za)概(gai)(gai)率(lv)(lv)(lv)問題的(de)(de)(de)有效(xiao)方法(fa)(fa)(fa)。隨(sui)著計(ji)算機(ji)容(rong)量(liang)(liang)和(he)計(ji)算速度的(de)(de)(de)提(ti)高,目(mu)(mu)前(qian),數(shu)(shu)值模(mo)(mo)擬(ni)(ni)法(fa)(fa)(fa)成為概(gai)(gai)率(lv)(lv)(lv)分析(xi)的(de)(de)(de)一(yi)種(zhong)(zhong)(zhong)普(pu)遍方法(fa)(fa)(fa),數(shu)(shu)值模(mo)(mo)擬(ni)(ni)的(de)(de)(de)主要(yao)作(zuo)用(yong)是(shi)把概(gai)(gai)率(lv)(lv)(lv)模(mo)(mo)型轉化為統(tong)計(ji)問題,以便可(ke)以采用(yong)標準統(tong)計(ji)學方法(fa)(fa)(fa)分析(xi)結果。蒙特卡羅(luo)模(mo)(mo)擬(ni)(ni)法(fa)(fa)(fa)是(shi)一(yi)種(zhong)(zhong)(zhong)傳統(tong)的(de)(de)(de)計(ji)算方法(fa)(fa)(fa),它的(de)(de)(de)基(ji)本(ben)(ben)(ben)思想是(shi)用(yong)基(ji)本(ben)(ben)(ben)隨(sui)機(ji)變(bian)量(liang)(liang)的(de)(de)(de)聯合(he)概(gai)(gai)率(lv)(lv)(lv)密度函數(shu)(shu)進行抽樣,用(yong)落入失(shi)(shi)(shi)效(xiao)域內樣本(ben)(ben)(ben)點(dian)的(de)(de)(de)個數(shu)(shu)與總樣本(ben)(ben)(ben)點(dian)的(de)(de)(de)個數(shu)(shu)之(zhi)比作(zuo)為所定義(yi)的(de)(de)(de)失(shi)(shi)(shi)效(xiao)概(gai)(gai)率(lv)(lv)(lv)。該(gai)方法(fa)(fa)(fa)不(bu)受隨(sui)機(ji)變(bian)量(liang)(liang)維(wei)數(shu)(shu)限(xian)制(zhi)(zhi)、不(bu)存在(zai)狀態(tai)空間爆炸問題,且不(bu)受任(ren)何假設(she)約束,可(ke)以用(yong)來解(jie)(jie)(jie)(jie)(jie)決(jue)高維(wei)動態(tai)失(shi)(shi)(shi)效(xiao)概(gai)(gai)率(lv)(lv)(lv)的(de)(de)(de)求解(jie)(jie)(jie)(jie)(jie)難(nan)題,當抽樣試驗次數(shu)(shu)足夠多時,近似解(jie)(jie)(jie)(jie)(jie)的(de)(de)(de)精確度高,是(shi)目(mu)(mu)前(qian)應(ying)用(yong)最多的(de)(de)(de)一(yi)種(zhong)(zhong)(zhong)數(shu)(shu)值模(mo)(mo)擬(ni)(ni)方法(fa)(fa)(fa)。

