1. 不銹鋼(gang)管入(ru)廠驗收(shou)的基本要求
鋼管應有鋼號及標準代號印記,不銹鋼管質量應符合相應的鋼管技術標準要求。
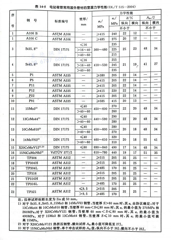
不銹鋼管(guan)材(cai)料(liao)應按質(zhi)(zhi)量(liang)(liang)合(he)(he)格證書(shu)(shu)(shu)或(huo)質(zhi)(zhi)量(liang)(liang)保證書(shu)(shu)(shu)進(jin)行(xing)質(zhi)(zhi)量(liang)(liang)驗(yan)收。質(zhi)(zhi)量(liang)(liang)合(he)(he)格證書(shu)(shu)(shu)或(huo)質(zhi)(zhi)量(liang)(liang)保證書(shu)(shu)(shu)應標(biao)(biao)明鋼號(hao)、化學成分(fen)、力學性能(常用管(guan)材(cai)化學成分(fen)及分(fen)學性能見表14-2~表14-5),以及必(bi)要的熱處理工藝等。數據不全(quan)的應進(jin)行(xing)補(bu)檢(jian),補(bu)檢(jian)的方(fang)法、范圍(wei)、數量(liang)(liang)應符(fu)合(he)(he)國(guo)家標(biao)(biao)準或(huo)行(xing)業(ye)標(biao)(biao)準。進(jin)口(kou)鋼管(guan)除應符(fu)合(he)(he)合(he)(he)同(tong)規(gui)定(ding)的有關國(guo)家的技(ji)術標(biao)(biao)準外(wai),還應有入(ru)境(jing)貨(huo)物檢(jian)驗(yan)檢(jian)疫證明。








2. 彎制前準備(bei)
a. 鋼(gang)管在彎制(zhi)前應(ying)(ying)驗證其鋼(gang)號(hao),鋼(gang)管直徑(jing)和壁厚應(ying)(ying)符(fu)合(he)相應(ying)(ying)的鋼(gang)管技術標(biao)準及(ji)設計要求。
b. 不銹(xiu)鋼管彎(wan)制前應進行光(guang)譜分析和硬(ying)度試驗(yan)。
c. 不銹鋼管在彎(wan)制前應作(zuo)宏(hong)觀檢(jian)查,外觀質量應符合(he) DL 5031-1994《電力建(jian)設施工及驗收技術(shu)規范(管道(dao)篇)》中(zhong)3.1.3條有要(yao)求。經檢(jian)查發現(xian)有重坡、裂紋、劃痕(hen)、凹坑等局部缺陷的鋼管,應逐步(bu)修磨(mo)直至缺陷完全(quan)消除,修磨(mo)后的實(shi)際壁厚仍應符合(he)其相應的鋼管技術(shu)標準要(yao)求或設計要(yao)求。
d. 用作不銹鋼(gang)彎管(guan)的直管,其最小壁厚的選擇見表14-7及表14-8。彎制時應將直管較厚的一側置于彎管的受拉側。


e. 不(bu)銹鋼(gang)(gang)管(guan)(guan)在下料(liao)時(shi)應進(jin)行鋼(gang)(gang)管(guan)(guan)材料(liao)標(biao)記(包括(kuo)鋼(gang)(gang)號(hao)和(he)鋼(gang)(gang)管(guan)(guan)爐批號(hao))移(yi)植(zhi)。對(dui)于(yu)(yu)主蒸(zheng)汽(qi)管(guan)(guan)道(dao)(dao)、再熱蒸(zheng)汽(qi)管(guan)(guan)道(dao)(dao)和(he)高壓(ya)給(gei)水管(guan)(guan)道(dao)(dao),宜(yi)進(jin)行鋼(gang)(gang)印(yin)標(biao)記移(yi)植(zhi),鋼(gang)(gang)印(yin)標(biao)記應清晰完整,其字(zi)體大小不(bu)應小于(yu)(yu)3.5號(hao)。鋼(gang)(gang)印(yin)標(biao)記宜(yi)采(cai)用低應力鋼(gang)(gang)印(yin)鈍(dun)頭(tou)連(lian)續點字(zi)模(mo)(mo)或鈍(dun)頭(tou)斷續點字(zi)模(mo)(mo),可(ke)用“圓頭(tou)”或“球形”沖頭(tou)打印(yin)。每一字(zi)模(mo)(mo)不(bu)應呈(cheng)現尖銳狀(zhuang)和(he)危(wei)及鋼(gang)(gang)管(guan)(guan)設計厚度的深坑。移(yi)植(zhi)的標(biao)記應位(wei)于(yu)(yu)便(bian)于(yu)(yu)識(shi)別的直管(guan)(guan)段上。對(dui)于(yu)(yu)其他管(guan)(guan)道(dao)(dao),材料(liao)標(biao)記移(yi)植(zhi)方法由供需雙方協商確定(ding)。
3. 彎管工(gong)藝評定
a. 不銹鋼彎(wan)管(guan)加工(gong)企業應進行彎(wan)管(guan)工(gong)藝評定。
b. 不銹鋼彎管工藝評定(ding)應(ying)按DL/T 515-2004中(zhong)附錄D的規定(ding)進行。
c. 不銹鋼彎管工藝評定應由具備資質(zhi)的第三(san)方檢驗機構進行見證。
4. 彎管技術要求
a. 不銹鋼彎(wan)管(guan)每端應有直(zhi)(zhi)管(guan)段(duan)(duan),直(zhi)(zhi)管(guan)段(duan)(duan)長(chang)度(du)(du)一般不應小(xiao)于管(guan)子(zi)的外徑。對(dui)于感應加(jia)熱彎(wan)管(guan),推薦的直(zhi)(zhi)管(guan)段(duan)(duan)長(chang)度(du)(du)見表14-9。
b. 不(bu)銹鋼(gang)彎管加工時,管子不(bu)應與腐蝕性介質(zhi)或有害物質(zhi)接(jie)觸(chu)。
c. 應按評(ping)定合格(ge)的彎(wan)管工(gong)藝進行彎(wan)管,不應彎(wan)制評(ping)定范圍(wei)以外的鋼管。
d.熱彎彎管(guan)推(tui)薦的加熱溫(wen)度及冷卻方式見表14-10。



