1. 化學成分(fen)
a. 電站彎(wan)管常(chang)用國產(chan)管材的(de)化學成分見表(biao)14-2。
b. 電(dian)站彎管常用國外管材的化(hua)學成分見(jian)表14-3。





2. 室(shi)溫力學性能
a. 電站(zhan)彎管常用國(guo)產管材的室溫力學性能見表14-4。
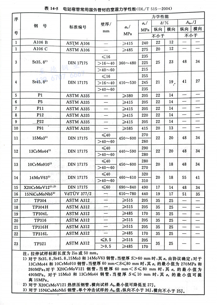
b. 電站彎管(guan)常用國外管(guan)材的室溫力學性能見(jian)表14-5。



3. 熱處(chu)理制度(du)
電站彎管(guan)常用(yong)鋼管(guan)的(de)熱(re)處理制度(du)見(jian)表 14-6



