不銹鋼法(fa)蘭墊(dian)片的主要參(can)數包括(kuo)墊(dian)片的有效密封寬(kuan)度、墊(dian)片的性能(neng)參(can)數、墊(dian)片公(gong)稱通(tong)徑或(huo)公(gong)稱尺寸及(ji)墊(dian)片公(gong)稱壓力。
一、不銹鋼法蘭(lan)墊片的有效(xiao)密封寬度
法蘭密封接頭中,墊片的有效密封寬度是作為計算法蘭螺栓載荷必不可少的一個特性參數,通常用符號b表示,其單位以mm計。不(bu)銹(xiu)鋼(gang)法蘭墊片的有效密封寬度與墊片基本密封寬度有關。墊片基本密封寬度用符號b0表示,其單位以mm計。
當選定墊片尺寸后,可按表11-1確定墊片接觸面寬度和墊片基本密封寬度b0。墊片接觸面寬度以符號N表示,其單位以mm計。墊片基本密封寬度b0見表11-1。


二(er)、不銹鋼法(fa)蘭(lan)墊片性能(neng)參數(shu)
不銹(xiu)鋼法蘭墊片的(de)性(xing)能參(can)數(shu)是指規(gui)范(fan)設計法(即ASME《鍋爐和壓(ya)力容器規(gui)范(fan)》中所(suo)推薦的(de)螺栓法蘭連接的(de)規(gui)范(fan)設計法)中所(suo)涉及(ji)的(de)“y”及(ji)“m”兩個密封系數(shu)。
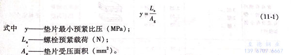
1. 不銹鋼(gang)法蘭墊片(pian)最小(xiao)預緊比壓
在法(fa)蘭密封(feng)(feng)接(jie)頭中,壓(ya)(ya)(ya)緊墊片所需(xu)的(de)(de)力(li)使(shi)墊片材料產生變形(xing)從而填滿法(fa)蘭密封(feng)(feng)面間的(de)(de)微間隙。壓(ya)(ya)(ya)緊墊片所需(xu)的(de)(de)最(zui)小應力(li)稱(cheng)為墊片最(zui)小預(yu)緊比壓(ya)(ya)(ya),通常以符號y表示(shi)。墊片最(zui)小預(yu)緊比壓(ya)(ya)(ya)是指在安(an)裝過程(cheng)中沒有內(nei)壓(ya)(ya)(ya)的(de)(de)情況下,墊片接(jie)觸面積上的(de)(de)壓(ya)(ya)(ya)應力(li),其表達式為:

2. 不銹(xiu)鋼法(fa)蘭墊(dian)片系數(shu)
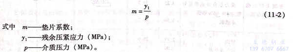
壓緊墊片時,螺栓伸長,當(dang)介(jie)(jie)質壓力作用后,螺栓由于受介(jie)(jie)質壓力作用產生(sheng)的(de)載荷而更加伸長,致使(shi)兩密封法(fa)蘭面(mian)之間(jian)的(de)間(jian)隙(xi)增大,使(shi)墊片的(de)應力降低,產生(sheng)泄(xie)漏。
為了保證(zheng)工(gong)作(zuo)狀(zhuang)(zhuang)態(tai)下的(de)密封性能,墊片(pian)上應有一(yi)定(ding)的(de)比(bi)壓(ya)(ya)(ya),即工(gong)作(zuo)狀(zhuang)(zhuang)態(tai)下的(de)壓(ya)(ya)(ya)緊比(bi)壓(ya)(ya)(ya),或稱殘余壓(ya)(ya)(ya)緊應力(li),以符(fu)號y1表示。墊片(pian)系數(shu)定(ding)義(yi)為工(gong)作(zuo)狀(zhuang)(zhuang)態(tai)下墊片(pian)上的(de)殘余壓(ya)(ya)(ya)緊應力(li)與介質壓(ya)(ya)(ya)力(li)之比(bi)值(zhi),其表達式為:

不銹鋼(gang)法蘭墊片(pian)(pian)最小(xiao)預(yu)緊比壓和墊片(pian)(pian)系數由實(shi)驗確定,它們是僅(jin)與墊片(pian)(pian)材料及(ji)法蘭密封面(mian)形式有關的特性(xing)參(can)數。規范墊片(pian)(pian)特性(xing)參(can)數或墊片(pian)(pian)性(xing)能參(can)數m及(ji)y值見表11-2。



三、不(bu)銹鋼(gang)法蘭墊(dian)片(pian)公稱通(tong)徑及公稱壓力
公(gong)稱通徑及公(gong)稱壓力(li)(li)(li)是墊片(pian)(pian)的(de)(de)(de)配套參(can)數(shu)。公(gong)稱通徑或公(gong)稱尺(chi)(chi)寸(cun)(見(jian)GB/T 1047-2005)是管路附件(jian)的(de)(de)(de)一(yi)個(ge)(ge)(ge)基本(ben)參(can)數(shu),它并(bing)不是某一(yi)個(ge)(ge)(ge)實際結構尺(chi)(chi)寸(cun),而(er)僅(jin)僅(jin)是與制造尺(chi)(chi)寸(cun)密(mi)切相(xiang)關(guan)的(de)(de)(de)經(jing)過圓(yuan)整后(hou)的(de)(de)(de)一(yi)個(ge)(ge)(ge)名義(yi)尺(chi)(chi)寸(cun),僅(jin)作(zuo)為(wei)一(yi)種(zhong)標志,其標記方(fang)法(fa)是在代(dai)號“DN”后(hou)緊(jin)跟著一(yi)個(ge)(ge)(ge)適當(dang)(dang)的(de)(de)(de)數(shu)字。墊片(pian)(pian)公(gong)稱通徑與法(fa)蘭公(gong)稱通徑相(xiang)同;公(gong)稱壓力(li)(li)(li)(見(jian)GB/T 1048-2005)是指(zhi)與管路附件(jian)(如法(fa)蘭、管件(jian)、閥門等(deng))機械強度有關(guan)的(de)(de)(de)設(she)計給定(ding)壓力(li)(li)(li),是一(yi)個(ge)(ge)(ge)經(jing)過圓(yuan)整后(hou)的(de)(de)(de)名義(yi)值,也是僅(jin)作(zuo)為(wei)一(yi)種(zhong)標志,其標記方(fang)法(fa)是在代(dai)號“PN”后(hou)緊(jin)跟一(yi)個(ge)(ge)(ge)適當(dang)(dang)的(de)(de)(de)數(shu)字。墊片(pian)(pian)公(gong)稱壓力(li)(li)(li)亦與法(fa)蘭公(gong)稱壓力(li)(li)(li)相(xiang)同。

