隨(sui)機(ji)變量模(mo)(mo)型和隨(sui)機(ji)過程模(mo)(mo)型是研(yan)究香蕉視頻app蘋果:應力腐蝕概率的常用模型,本章(zhang)重(zhong)點介紹隨機變量模型。
一、應力(li)-強度干涉模型
1942年,Pugsley提出(chu)了(le)采用應(ying)力(li)(li)(li)、強(qiang)度(du)分布函數曲線的(de)(de)干涉(she)(she)區(qu)面積分析失效概率(lv)(lv)的(de)(de)方法,即(ji)(ji)應(ying)力(li)(li)(li)-強(qiang)度(du)干涉(she)(she)模型(xing),該模型(xing)在構(gou)件和(he)(he)系(xi)統的(de)(de)可靠性(xing)分析中得到了(le)廣(guang)泛(fan)應(ying)用。目前,已成為分析構(gou)件和(he)(he)系(xi)統失效概率(lv)(lv)的(de)(de)重要模型(xing)之一(yi)。在結(jie)構(gou)可靠性(xing)分析中,應(ying)力(li)(li)(li)-強(qiang)度(du)(S-R)干涉(she)(she)模型(xing)應(ying)用最(zui)廣(guang),模型(xing)中的(de)(de)S和(he)(he)R的(de)(de)含義不僅僅是力(li)(li)(li)學分析中的(de)(de)應(ying)力(li)(li)(li)和(he)(he)強(qiang)度(du),二者(zhe)具有(you)更廣(guang)泛(fan)的(de)(de)范疇。對于一(yi)個系(xi)統而言(yan),S指(zhi)的(de)(de)是造成結(jie)構(gou)破壞(huai)的(de)(de)所有(you)因(yin)素,即(ji)(ji)推(tui)動(dong)力(li)(li)(li);R代表了(le)結(jie)構(gou)抵(di)抗破壞(huai)的(de)(de)能力(li)(li)(li),即(ji)(ji)阻抗力(li)(li)(li)。
應(ying)(ying)力(li)腐(fu)(fu)蝕(shi)斷(duan)裂(lie)是(shi)一(yi)種(zhong)(zhong)低(di)(di)應(ying)(ying)力(li)脆斷(duan),是(shi)斷(duan)裂(lie)和(he)腐(fu)(fu)蝕(shi)兩種(zhong)(zhong)機理(li)相(xiang)(xiang)互影(ying)響的(de)(de)(de)(de)(de)結(jie)果。因此,當(dang)應(ying)(ying)力(li)還(huan)遠(yuan)低(di)(di)于斷(duan)裂(lie)應(ying)(ying)力(li)時就能(neng)(neng)引起應(ying)(ying)力(li)腐(fu)(fu)蝕(shi)裂(lie)紋(wen)的(de)(de)(de)(de)(de)產(chan)生和(he)擴(kuo)展。應(ying)(ying)力(li)作(zuo)(zuo)用(yong)降低(di)(di)了材料(liao)的(de)(de)(de)(de)(de)耐腐(fu)(fu)蝕(shi)性能(neng)(neng),而(er)腐(fu)(fu)蝕(shi)降低(di)(di)了材料(liao)的(de)(de)(de)(de)(de)斷(duan)裂(lie)強度,兩者(zhe)是(shi)互相(xiang)(xiang)促(cu)進的(de)(de)(de)(de)(de)。也就是(shi)說,機械(xie)力(li)和(he)化(hua)學力(li)的(de)(de)(de)(de)(de)協同作(zuo)(zuo)用(yong)導致了裂(lie)紋(wen)的(de)(de)(de)(de)(de)擴(kuo)展,如果只有應(ying)(ying)力(li)或腐(fu)(fu)蝕(shi)單(dan)獨(du)作(zuo)(zuo)用(yong),是(shi)不會出現應(ying)(ying)力(li)腐(fu)(fu)蝕(shi)斷(duan)裂(lie)的(de)(de)(de)(de)(de)結(jie)果。應(ying)(ying)力(li)腐(fu)(fu)蝕(shi)斷(duan)裂(lie)要(yao)經過一(yi)定的(de)(de)(de)(de)(de)時間(jian)(jian)才能(neng)(neng)發(fa)生,這是(shi)因為(wei)能(neng)(neng)量積蓄到(dao)使材料(liao)破壞的(de)(de)(de)(de)(de)程(cheng)度是(shi)需要(yao)時間(jian)(jian)的(de)(de)(de)(de)(de),應(ying)(ying)力(li)腐(fu)(fu)蝕(shi)是(shi)使材料(liao)強度逐漸退化(hua)的(de)(de)(de)(de)(de)過程(cheng),因此,我們可以采用(yong)耐久性損傷模型(xing)來描述應(ying)(ying)力(li)腐(fu)(fu)蝕(shi)失效的(de)(de)(de)(de)(de)物理(li)過程(cheng)。由S-R干涉(she)模型(xing)的(de)(de)(de)(de)(de)理(li)論可以寫出結(jie)構的(de)(de)(de)(de)(de)極(ji)限狀(zhuang)態方程(cheng)


因此(ci),對(dui)于失效(xiao)概率的(de)研究(jiu)就轉化為對(dui)強度和(he)應(ying)力由于概率分布(bu)干涉(she)引起(qi)的(de)狀(zhuang)態失效(xiao)問(wen)題的(de)研究(jiu)。當fs(s)和(he)fR(r)分別(bie)表示應(ying)力和(he)強度的(de)概率密度函數時(shi),圖(tu)中兩者重疊部分面積反映了失效(xiao)概率的(de)大小,如圖(tu)6-1所示。

假如最初應(ying)(ying)(ying)力與強(qiang)度是(shi)留有(you)充(chong)分的安全余量的,那么經過一定時(shi)間(jian)后,隨著應(ying)(ying)(ying)力分布與強(qiang)度分布的交(jiao)疊(die),就有(you)失(shi)效發生(sheng),這種(zhong)情(qing)形可(ke)以說是(shi)耐久(jiu)模型的典型例子。根據(ju)應(ying)(ying)(ying)力-強(qiang)度干(gan)涉模型不但能夠求解應(ying)(ying)(ying)力腐(fu)蝕(shi)失(shi)效概(gai)(gai)率,還可(ke)以分析應(ying)(ying)(ying)力腐(fu)蝕(shi)不同階段的概(gai)(gai)率情(qing)況,如裂紋的萌生(sheng)概(gai)(gai)率、裂紋的擴展概(gai)(gai)率等(deng)。
當(dang)材料發(fa)生腐(fu)蝕(shi)(shi)(shi)后,隨(sui)著時(shi)(shi)間(jian)(jian)(jian)的(de)(de)推移,材料抵抗(kang)破壞的(de)(de)能(neng)力(li)(li)(li)(li)降低(di),而腐(fu)蝕(shi)(shi)(shi)環(huan)境很(hen)可能(neng)變(bian)(bian)得(de)更(geng)加苛(ke)刻。例如應(ying)力(li)(li)(li)(li)腐(fu)蝕(shi)(shi)(shi),隨(sui)著裂紋(wen)(wen)的(de)(de)擴展,材料強(qiang)度(du)(du)降低(di)、裂紋(wen)(wen)尖端(duan)應(ying)力(li)(li)(li)(li)集中區域增(zeng)大(da),局(ju)部存(cun)在侵蝕(shi)(shi)(shi)性(xing)離(li)子的(de)(de)富集,使得(de)廣(guang)義應(ying)力(li)(li)(li)(li)變(bian)(bian)大(da)而強(qiang)度(du)(du)降低(di),此時(shi)(shi)S(t)和(he)R(t)都是與時(shi)(shi)間(jian)(jian)(jian)有關的(de)(de)變(bian)(bian)量,很(hen)顯然,概率密度(du)(du)函數也著時(shi)(shi)間(jian)(jian)(jian)的(de)(de)變(bian)(bian)化而變(bian)(bian)化。當(dang)強(qiang)度(du)(du)隨(sui)時(shi)(shi)間(jian)(jian)(jian)發(fa)生衰退時(shi)(shi),強(qiang)度(du)(du)和(he)應(ying)力(li)(li)(li)(li)組(zu)成的(de)(de)干涉(she)區域隨(sui)時(shi)(shi)間(jian)(jian)(jian)變(bian)(bian)化會越來越大(da),這意味著產品可靠性(xing)在降低(di)。

大多數參數的(de)不確(que)定性與時(shi)間有關。發(fa)生應(ying)力(li)(li)腐蝕時(shi),構件所(suo)受的(de)廣義(yi)應(ying)力(li)(li)一般是隨(sui)機過程(cheng),應(ying)力(li)(li)稱為(wei)(wei)時(shi)間的(de)函數,強(qiang)度為(wei)(wei)一固(gu)定的(de)臨界值,如圖6-2所(suo)示,功能(neng)函數應(ying)表示為(wei)(wei)

二、應力腐蝕參數(shu)的概率(lv)分布(bu)估計
1. 變量分布類(lei)型確定
采用(yong)S-R模型(xing)(xing)分(fen)(fen)(fen)析(xi)(xi)應(ying)力(li)(li)腐蝕失效概(gai)率(lv)(lv)(lv)時(shi),第一步是(shi)確定(ding)應(ying)力(li)(li)腐蝕的(de)(de)(de)“推動(dong)力(li)(li)”,即(ji)S所(suo)包(bao)(bao)含的(de)(de)(de)參(can)(can)數,包(bao)(bao)括(kuo)溫(wen)度(du)(du)、侵蝕性離子濃度(du)(du)、pH值等(deng),分(fen)(fen)(fen)析(xi)(xi)各參(can)(can)數的(de)(de)(de)分(fen)(fen)(fen)布(bu)(bu)(bu)概(gai)型(xing)(xing)。在(zai)進行參(can)(can)數的(de)(de)(de)概(gai)率(lv)(lv)(lv)分(fen)(fen)(fen)布(bu)(bu)(bu)類(lei)型(xing)(xing)研究(jiu)中,一般經過以下步驟:①. 假設(she)隨(sui)機(ji)(ji)變(bian)量(liang)(liang)服從某一分(fen)(fen)(fen)布(bu)(bu)(bu);②. 在(zai)假設(she)分(fen)(fen)(fen)布(bu)(bu)(bu)基礎(chu)上構建統計(ji)量(liang)(liang);③. 根據(ju)統計(ji)量(liang)(liang)的(de)(de)(de)分(fen)(fen)(fen)布(bu)(bu)(bu)做出(chu)統計(ji)推斷,進行擬(ni)合檢驗;④. 選擇最優概(gai)型(xing)(xing)。常用(yong)的(de)(de)(de)統計(ji)量(liang)(liang)包(bao)(bao)括(kuo)均值、標(biao)準差、極差、變(bian)異系數、偏(pian)度(du)(du)等(deng)。正態分(fen)(fen)(fen)布(bu)(bu)(bu)、威布(bu)(bu)(bu)爾(er)(Weibull)分(fen)(fen)(fen)布(bu)(bu)(bu)、指(zhi)數分(fen)(fen)(fen)布(bu)(bu)(bu)以及Poisson分(fen)(fen)(fen)布(bu)(bu)(bu)等(deng)都是(shi)應(ying)力(li)(li)腐蝕概(gai)率(lv)(lv)(lv)分(fen)(fen)(fen)析(xi)(xi)中經常用(yong)到(dao)的(de)(de)(de)隨(sui)機(ji)(ji)變(bian)量(liang)(liang)的(de)(de)(de)概(gai)率(lv)(lv)(lv)分(fen)(fen)(fen)布(bu)(bu)(bu)類(lei)型(xing)(xing)。
通(tong)常,直接計(ji)算概率的(de)密度(du)(du)函(han)數(shu)(shu)(shu)難度(du)(du)非(fei)常大,常用(yong)的(de)處理方法是把概率密度(du)(du)估計(ji)轉化為參數(shu)(shu)(shu)估計(ji)問(wen)題(ti)。因此概率密度(du)(du)函(han)數(shu)(shu)(shu)的(de)確定是關鍵,正確的(de)密度(du)(du)函(han)數(shu)(shu)(shu)是獲得準確估計(ji)值的(de)重要前提。
2. 參(can)數的(de)估計和(he)假設檢(jian)驗
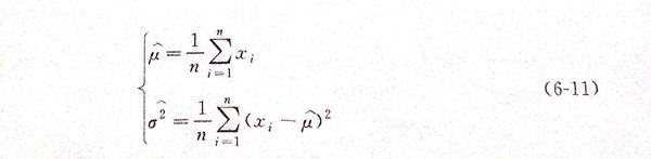
由于正(zheng)態分(fen)布(bu)(bu)情況發生(sheng)的(de)比較多(duo),因此,以正(zheng)態分(fen)布(bu)(bu)為例加以說(shuo)明。參(can)數估(gu)(gu)計(ji)的(de)思路是采用(yong)(yong)樣(yang)本統(tong)計(ji)量估(gu)(gu)計(ji)總(zong)體參(can)數。常用(yong)(yong)的(de)參(can)數估(gu)(gu)計(ji)方法(fa)(fa)(fa)(fa)(fa)有(you)矩估(gu)(gu)計(ji)法(fa)(fa)(fa)(fa)(fa)和最(zui)大(da)(極大(da))似(si)然(ran)法(fa)(fa)(fa)(fa)(fa),除此之外,還有(you)最(zui)小二乘、貝葉斯估(gu)(gu)計(ji)等方法(fa)(fa)(fa)(fa)(fa)。矩估(gu)(gu)計(ji)法(fa)(fa)(fa)(fa)(fa)不(bu)受變(bian)量分(fen)布(bu)(bu)的(de)影響,這(zhe)也恰恰成為該方法(fa)(fa)(fa)(fa)(fa)的(de)缺(que)點(dian),即變(bian)量的(de)分(fen)布(bu)(bu)信息(xi)不(bu)能(neng)(neng)被(bei)充分(fen)利用(yong)(yong),一(yi)般具有(you)多(duo)個(ge)分(fen)析結果。與(yu)矩估(gu)(gu)計(ji)法(fa)(fa)(fa)(fa)(fa)相反,最(zui)大(da)似(si)然(ran)法(fa)(fa)(fa)(fa)(fa)的(de)使用(yong)(yong)受已(yi)(yi)知(zhi)變(bian)量概(gai)型(xing)(xing)(xing)的(de)影響,必須在已(yi)(yi)知(zhi)概(gai)型(xing)(xing)(xing)的(de)前(qian)提下才能(neng)(neng)使用(yong)(yong),而且(qie)假設的(de)概(gai)率(lv)模型(xing)(xing)(xing)正(zheng)確性對參(can)數估(gu)(gu)計(ji)結果影響很大(da)。最(zui)大(da)似(si)然(ran)估(gu)(gu)計(ji)法(fa)(fa)(fa)(fa)(fa)具有(you)計(ji)算(suan)簡(jian)單(dan)、收斂(lian)型(xing)(xing)(xing)好等特點(dian),在參(can)數估(gu)(gu)計(ji)中的(de)應用(yong)(yong)更加廣泛,其主要計(ji)算(suan)步驟如下:

式(6-10)稱為似然(ran)方(fang)(fang)程組,求解該方(fang)(fang)程組,得出(chu)均值、方(fang)(fang)差最大(da)似然(ran)估計值

以上(shang)過程是參(can)數(shu)(shu)估(gu)計(ji),下面對參(can)數(shu)(shu)假設(she)檢(jian)驗。與(yu)參(can)數(shu)(shu)估(gu)計(ji)的目(mu)的相同,參(can)數(shu)(shu)假設(she)檢(jian)驗也是根據樣本信息對總體(ti)的數(shu)(shu)量特征進行推斷。
假(jia)(jia)設(she)(she)(she)檢驗(yan)(yan)是(shi)以樣(yang)本資料對總(zong)體(ti)的(de)先(xian)驗(yan)(yan)假(jia)(jia)設(she)(she)(she)是(shi)否成立,根據樣(yang)本的(de)統(tong)計量(liang)檢驗(yan)(yan)假(jia)(jia)設(she)(she)(she)的(de)總(zong)體(ti)參數的(de)可靠度,同時做出(chu)判斷結果(guo),判斷結果(guo)包括接(jie)受和拒絕。分析過(guo)程是(shi):①. 提(ti)出(chu)原假(jia)(jia)設(she)(she)(she)(要(yao)求檢驗(yan)(yan)的(de)假(jia)(jia)設(she)(she)(she))H0 :F(x)=F0(x)和備(bei)選(xuan)假(jia)(jia)設(she)(she)(she)(如(ru)果(guo)原假(jia)(jia)設(she)(she)(she)不(bu)成立,就要(yao)接(jie)受另一個假(jia)(jia)設(she)(she)(she))H1:F(x)≠F0(x);②. 選(xuan)取恰(qia)當的(de)檢驗(yan)(yan)統(tong)計量(liang);③. 計算觀測值(zhi);④. 確定顯著性水平;⑤. 依據檢驗(yan)(yan)統(tong)計量(liang)觀測值(zhi)的(de)位置給出(chu)判斷結果(guo)。
在(zai)以上分析過(guo)程中(zhong)(zhong),可能(neng)會犯兩(liang)類錯誤(wu):當H0為真時(shi)而(er)拒(ju)絕H0,稱(cheng)(cheng)為第(di)一(yi)(yi)類錯誤(wu);當H0為假(jia)時(shi)而(er)接受(shou)H0,稱(cheng)(cheng)為第(di)二類錯誤(wu)。犯兩(liang)類錯誤(wu)的(de)(de)(de)(de)(de)概率(lv)通常是矛(mao)盾的(de)(de)(de)(de)(de):一(yi)(yi)個概率(lv)小(xiao)了另一(yi)(yi)個概率(lv)就大。在(zai)實際使用中(zhong)(zhong),我們一(yi)(yi)般限定犯第(di)一(yi)(yi)類錯誤(wu)的(de)(de)(de)(de)(de)概率(lv)不(bu)超過(guo)給定的(de)(de)(de)(de)(de)α,使犯第(di)二類錯誤(wu)的(de)(de)(de)(de)(de)概率(lv)就可能(neng)小(xiao)。在(zai)正態總體參數的(de)(de)(de)(de)(de)假(jia)設檢(jian)驗(yan)(yan)中(zhong)(zhong),主(zhu)要包括均值的(de)(de)(de)(de)(de)U檢(jian)驗(yan)(yan)和(he)t檢(jian)驗(yan)(yan)、方差(cha)的(de)(de)(de)(de)(de)χ2檢(jian)驗(yan)(yan)等。
3. 分布的(de)假設(she)檢驗(yan)
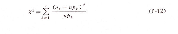
上(shang)一小節(jie)介(jie)紹的(de)是在(zai)總(zong)體(ti)分(fen)布已(yi)知的(de)情況下,對分(fen)布中(zhong)的(de)一些未知參數進行(xing)檢(jian)(jian)驗(yan)(yan)。但是,很多時候并不知道總(zong)體(ti)的(de)分(fen)布規律,我們往往是根據樣本來假設總(zong)體(ti)的(de)分(fen)布類型,因此,對于(yu)總(zong)體(ti)樣本所假設的(de)分(fen)布是否正確,還需(xu)要檢(jian)(jian)驗(yan)(yan),常(chang)用(yong)的(de)有χ2、J-B、A-D、K-S等檢(jian)(jian)驗(yan)(yan)方法,其(qi)中(zhong)χ2檢(jian)(jian)驗(yan)(yan)應用(yong)較(jiao)多,下面以這種方法為例,介(jie)紹檢(jian)(jian)驗(yan)(yan)過程。
χ2檢(jian)驗(yan)(yan)(yan)法的(de)分析過程是:①. 提出原假設;②. 檢(jian)驗(yan)(yan)(yan)假設H0:Fx(x)=F0(x;θ1,θ2,··,θm).先(xian)用若干個互不相交的(de)小(xiao)區(qu)(qu)間把樣本數(shu)據(ju)進行分組(zu)(zu),通常(chang)每個區(qu)(qu)間的(de)數(shu)據(ju)不少(shao)于5個,若不滿足這一要(yao)求(qiu),可以通過合(he)并區(qu)(qu)間來達到這一要(yao)求(qiu)。假設H0成立,根據(ju)分組(zu)(zu)結果計算χ2檢(jian)驗(yan)(yan)(yan)統計量


4. 主要(yao)參數的概率(lv)分布
根據以上分(fen)析步驟,對應力腐蝕環(huan)境(jing)中的離子濃度的統計性進行分(fen)析。數據來(lai)自某(mou)石(shi)化企業(ye)的監測(ce)數據。頻率直方圖(tu)要將樣本值分(fen)為r個不相交的區(qu)間,r值可由 Sturges公(gong)式確定(ding),并取(qu)整數。r值取(qu)決于樣本數n。



首先,假設各參(can)數服從(cong)正態(tai)(tai)分布,并畫出正態(tai)(tai)分布的(de)密(mi)度(du)函(han)數曲線,該(gai)計算采用(yong)matlab編程完成,計算結果如圖6-3所示。
從圖(tu)6-3可以看(kan)出,pH、氯離子(zi)濃度和硫酸(suan)(suan)根(gen)離子(zi)濃度滿足(zu)正態(tai)分(fen)(fen)布(bu),而亞硫酸(suan)(suan)根(gen)離子(zi)濃度不滿足(zu)正態(tai)分(fen)(fen)布(bu),經過(guo)分(fen)(fen)析,認為滿足(zu)威布(bu)爾分(fen)(fen)布(bu),如圖(tu)6-4所(suo)示。

經過卡方(fang)檢驗,在顯著(zhu)性水平(ping)0.05下,可以認(ren)為:
溫度服從N(98.25,1.642);
pH服從N(4.4608,0.29522);
硫酸根離子濃度服(fu)從(cong)N(143.5204,9.48592);
氯離(li)子(zi)濃(nong)度(du)服從N(35.3481,17.57352);
亞(ya)硫酸根離子(zi)濃(nong)度(du)服從α=0.5926,β=1.5746的兩(liang)參數威布(bu)爾分(fen)布(bu)。
亞(ya)硫酸根離(li)子濃(nong)度(du)服從(cong)威布(bu)爾(er)分布(bu)的原因(yin):亞(ya)硫酸根不穩定,與氫離(li)子反(fan)應(ying),從(cong)而(er)濃(nong)度(du)逐漸減(jian)小。
三(san)、失效概率計算方法
1. 解析(xi)法(fa)
當應力和強(qiang)(qiang)度(du)是比(bi)較(jiao)簡單的(de)變量(liang)時,式(6-4)可(ke)(ke)以直接(jie)計算(suan)失(shi)效概率。在一(yi)些研究中(zhong),會(hui)出(chu)現(xian)“干涉面積=失(shi)效概率”的(de)說法,這種說法是不正確的(de)。根據可(ke)(ke)靠(kao)性理論可(ke)(ke)知,應力-強(qiang)(qiang)度(du)模型中(zhong)強(qiang)(qiang)度(du)大于應力的(de)概率即(ji)為可(ke)(ke)靠(kao)度(du)。可(ke)(ke)靠(kao)度(du)P可(ke)(ke)根據下(xia)式計算(suan)

從(cong)計算結(jie)果可以(yi)看(kan)出(chu),失(shi)效概率遠小于干涉面(mian)積之和。


2. 數值解析法(fa)
當隨機(ji)變量較多時,直接求解(jie)失(shi)效概率值是(shi)很(hen)困難(nan)的(de)(de),采用(yong)數值求解(jie)是(shi)一(yi)種(zhong)比(bi)較好的(de)(de)解(jie)決方法(fa)(fa)(fa)。在應力(li)腐蝕概率計算中(zhong),涉及的(de)(de)隨機(ji)變量較多且(qie)具有不同的(de)(de)分布類型,結果難(nan)以(yi)用(yong)解(jie)析法(fa)(fa)(fa)和近似法(fa)(fa)(fa)求解(jie),可以(yi)采用(yong)蒙特(te)卡洛(luo)(Monte-Carlo)模(mo)(mo)擬(ni)法(fa)(fa)(fa)。Monte-Carlo模(mo)(mo)擬(ni)法(fa)(fa)(fa)的(de)(de)特(te)點是(shi):①. 受(shou)(shou)研(yan)究問(wen)題維(wei)數的(de)(de)影響(xiang)較小;②. 不受(shou)(shou)假設約(yue)束;③. 不存在狀態空(kong)間爆炸(zha)問(wen)題;④. 不受(shou)(shou)變量數量的(de)(de)影響(xiang)。因(yin)此,Monte-Carlo法(fa)(fa)(fa)是(shi)一(yi)種(zhong)處理高維(wei)動態失(shi)效概率問(wen)題的(de)(de)方法(fa)(fa)(fa)。
蒙(meng)特卡洛(luo)模擬法又稱為(wei)隨機模擬法,基本思想是:


