壓(ya)(ya)力對(dui)鑄(zhu)錠(ding)的凝(ning)固相(xiang)變(bian)和(he)組織有十分(fen)重要(yao)的影(ying)響(xiang),如(ru)壓(ya)(ya)力能(neng)提高晶粒形(xing)核速率(lv),減小臨(lin)界形(xing)核半徑,增大(da)冷卻速率(lv),細化(hua)枝(zhi)晶組織,減輕或消除凝(ning)固缺陷(xian)(疏松、縮孔(kong)、氣(qi)孔(kong)和(he)偏析)以及(ji)改變(bian)析出(chu)相(xiang)形(xing)貌和(he)類型等。由(you)于鋼(gang)鐵材料固/液相(xiang)線溫度(du)較(jiao)高,加壓(ya)(ya)難(nan)度(du)相(xiang)對(dui)較(jiao)大(da),不過,較(jiao)低壓(ya)(ya)力依(yi)然具有改善鑄(zhu)型和(he)鑄(zhu)錠(ding)間換熱(re)條件、打破液相(xiang)中氮氣(qi)泡等壓(ya)(ya)力平衡的能(neng)力,進而達到改善鋼(gang)鐵凝(ning)固組織,減輕或消除凝(ning)固缺陷(xian)等目的。
一、枝(zhi)晶組織
枝(zhi)晶(jing)組織(zhi)的(de)出現和生(sheng)長與(yu)液相(xiang)(xiang)中的(de)成分過冷密不可分,當凝固界面(mian)出現擾動導致(zhi)液相(xiang)(xiang)出現局部成分過冷時(shi),液相(xiang)(xiang)中就具備(bei)了促(cu)使界面(mian)發生(sheng)波動的(de)驅動力,進一步增(zeng)大了凝固界面(mian)的(de)不穩定性(xing),從(cong)而使凝固界面(mian)從(cong)平(ping)面(mian)狀向(xiang)樹枝(zhi)狀轉變(bian),形成枝(zhi)晶(jing)組織(zhi),液相(xiang)(xiang)中成分過冷的(de)判據為(wei)
式中,GrL為(wei)(wei)液(ye)(ye)(ye)相(xiang)(xiang)(xiang)(xiang)溫度梯度;v為(wei)(wei)凝(ning)(ning)(ning)固(gu)(gu)(gu)(gu)速率(lv);m為(wei)(wei)液(ye)(ye)(ye)相(xiang)(xiang)(xiang)(xiang)線(xian)(xian)斜率(lv);CL為(wei)(wei)凝(ning)(ning)(ning)固(gu)(gu)(gu)(gu)界面(mian)處液(ye)(ye)(ye)相(xiang)(xiang)(xiang)(xiang)中溶(rong)質(zhi)(zhi)(zhi)的(de)(de)(de)質(zhi)(zhi)(zhi)量分數;DL為(wei)(wei)液(ye)(ye)(ye)相(xiang)(xiang)(xiang)(xiang)中溶(rong)質(zhi)(zhi)(zhi)的(de)(de)(de)擴(kuo)散(san)系(xi)(xi)數;ko為(wei)(wei)溶(rong)質(zhi)(zhi)(zhi)分配系(xi)(xi)數。在不考慮壓(ya)力(li)強化(hua)冷卻(即GrL保持(chi)恒定(ding))情況下,壓(ya)力(li)可通(tong)過改變液(ye)(ye)(ye)相(xiang)(xiang)(xiang)(xiang)線(xian)(xian)斜率(lv)、擴(kuo)散(san)系(xi)(xi)數和(he)溶(rong)質(zhi)(zhi)(zhi)分配系(xi)(xi)數等(deng)凝(ning)(ning)(ning)固(gu)(gu)(gu)(gu)參(can)數,改變枝(zhi)晶(jing)形貌(mao)甚至凝(ning)(ning)(ning)固(gu)(gu)(gu)(gu)組(zu)織(zhi)(zhi)的(de)(de)(de)組(zu)成(cheng)。Zhang等(deng)對比了(le)高(gao)(gao)錳(meng)鋼(Fe-13Mn-1.2C)在常壓(ya)和(he)6GPa下的(de)(de)(de)凝(ning)(ning)(ning)固(gu)(gu)(gu)(gu)組(zu)織(zhi)(zhi)。發現高(gao)(gao)錳(meng)鋼高(gao)(gao)壓(ya)下的(de)(de)(de)凝(ning)(ning)(ning)固(gu)(gu)(gu)(gu)組(zu)織(zhi)(zhi)包含細小等(deng)軸(zhou)晶(jing)和(he)柱狀晶(jing),與(yu)常壓(ya)下的(de)(de)(de)凝(ning)(ning)(ning)固(gu)(gu)(gu)(gu)組(zu)織(zhi)(zhi)截然不同(圖2-107).晶(jing)粒尺寸統計結果表明,高(gao)(gao)錳(meng)鋼在常壓(ya)下的(de)(de)(de)晶(jing)粒尺寸為(wei)(wei)(160±45)μm,6GPa下為(wei)(wei)(7.5±2.5)μm,壓(ya)力(li)細化(hua)晶(jing)粒可達21倍之多,主要歸因于增(zeng)(zeng)加凝(ning)(ning)(ning)固(gu)(gu)(gu)(gu)壓(ya)力(li)降低了(le)液(ye)(ye)(ye)相(xiang)(xiang)(xiang)(xiang)中溶(rong)質(zhi)(zhi)(zhi)擴(kuo)散(san)系(xi)(xi)數以及增(zeng)(zeng)大了(le)擴(kuo)散(san)激活(huo)能(neng),進(jin)而(er)增(zeng)(zeng)大了(le)液(ye)(ye)(ye)相(xiang)(xiang)(xiang)(xiang)成(cheng)分過冷度,在抑制枝(zhi)晶(jing)生(sheng)長的(de)(de)(de)同時增(zeng)(zeng)大了(le)形核率(lv)[129,153],從而(er)使得高(gao)(gao)錳(meng)鋼凝(ning)(ning)(ning)固(gu)(gu)(gu)(gu)組(zu)織(zhi)(zhi)逐步向(xiang)枝(zhi)晶(jing)組(zu)織(zhi)(zhi)轉變,且細化(hua)十(shi)分顯著。Kashchiev和(he)Vasudevan等(deng)的(de)(de)(de)研究表明。在凝(ning)(ning)(ning)固(gu)(gu)(gu)(gu)過程中,當(dang)固(gu)(gu)(gu)(gu)相(xiang)(xiang)(xiang)(xiang)摩(mo)爾體積小于液(ye)(ye)(ye)相(xiang)(xiang)(xiang)(xiang)摩(mo)爾體積時,加壓(ya)有助于提高(gao)(gao)形核率(lv),起(qi)到細化(hua)凝(ning)(ning)(ning)固(gu)(gu)(gu)(gu)組(zu)織(zhi)(zhi)的(de)(de)(de)作用,大多數金屬合金屬于此類;反之,加壓(ya)將抑制晶(jing)粒的(de)(de)(de)形核,如水凝(ning)(ning)(ning)固(gu)(gu)(gu)(gu)成(cheng)冰(bing)。此外,壓(ya)力(li)還能(neng)夠抑制枝(zhi)晶(jing)沿壓(ya)力(li)梯度方向(xiang)的(de)(de)(de)生(sheng)長,從而(er)導致枝(zhi)晶(jing)組(zu)織(zhi)(zhi)和(he)微觀偏析呈現方向(xiang)性。

為了準確地論(lun)述壓(ya)力對(dui)凝固組織的影響規律,本節(jie)將以19Cr14Mn0.9N含氮(dan)鋼和M42工(gong)具(ju)鋼加壓(ya)凝固組織為例(li),詳細分析壓(ya)力對(dui)枝(zhi)晶組織、析出相等(deng)的影響。
1. 柱狀晶向(xiang)等軸晶轉變(CET)
鑄錠(ding)的(de)(de)(de)(de)宏(hong)觀組織主(zhu)要由晶(jing)(jing)(jing)(jing)(jing)粒(li)的(de)(de)(de)(de)形貌、尺寸以(yi)及取向(xiang)(xiang)(xiang)(xiang)(xiang)分布等構成,在(zai)(zai)合金成分一定的(de)(de)(de)(de)情況下(xia),它主(zhu)要取決(jue)于鋼(gang)液在(zai)(zai)凝(ning)固(gu)過(guo)程中的(de)(de)(de)(de)冷(leng)卻條件(jian)(包括澆(jiao)注溫(wen)度和鑄型(xing)的(de)(de)(de)(de)冷(leng)卻效果等。鑄錠(ding)的(de)(de)(de)(de)典型(xing)宏(hong)觀組織可(ke)分為三(san)個區(qu)(qu)(qu)(qu):表(biao)層(ceng)細(xi)晶(jing)(jing)(jing)(jing)(jing)區(qu)(qu)(qu)(qu)、柱(zhu)(zhu)狀晶(jing)(jing)(jing)(jing)(jing)區(qu)(qu)(qu)(qu)以(yi)及中心(xin)等軸(zhou)晶(jing)(jing)(jing)(jing)(jing)區(qu)(qu)(qu)(qu)。表(biao)層(ceng)的(de)(de)(de)(de)細(xi)晶(jing)(jing)(jing)(jing)(jing)區(qu)(qu)(qu)(qu)是由于鋼(gang)液在(zai)(zai)鑄型(xing)的(de)(de)(de)(de)激(ji)冷(leng)作(zuo)用(yong)下(xia),具有較大(da)(da)(da)的(de)(de)(de)(de)過(guo)冷(leng)度,進(jin)(jin)而在(zai)(zai)鑄型(xing)壁面以(yi)異(yi)質(zhi)形核(he)(he)的(de)(de)(de)(de)方(fang)式大(da)(da)(da)量形核(he)(he)并長(chang)大(da)(da)(da),最(zui)后形成細(xi)小(xiao)的(de)(de)(de)(de)等軸(zhou)晶(jing)(jing)(jing)(jing)(jing)區(qu)(qu)(qu)(qu),即(ji)表(biao)層(ceng)細(xi)晶(jing)(jing)(jing)(jing)(jing)區(qu)(qu)(qu)(qu)。隨著凝(ning)固(gu)的(de)(de)(de)(de)進(jin)(jin)行,表(biao)層(ceng)細(xi)晶(jing)(jing)(jing)(jing)(jing)區(qu)(qu)(qu)(qu)逐步形成金屬外殼(ke),使得傳熱具備單向(xiang)(xiang)(xiang)(xiang)(xiang)性(xing),有助于晶(jing)(jing)(jing)(jing)(jing)粒(li)沿傳熱方(fang)向(xiang)(xiang)(xiang)(xiang)(xiang)生(sheng)長(chang),呈(cheng)現出方(fang)向(xiang)(xiang)(xiang)(xiang)(xiang)性(xing),從(cong)而形成柱(zhu)(zhu)狀晶(jing)(jing)(jing)(jing)(jing)區(qu)(qu)(qu)(qu),也導致了(le)表(biao)層(ceng)細(xi)晶(jing)(jing)(jing)(jing)(jing)區(qu)(qu)(qu)(qu)的(de)(de)(de)(de)區(qu)(qu)(qu)(qu)域窄小(xiao),厚度通常為幾毫米(mi)。在(zai)(zai)后續的(de)(de)(de)(de)凝(ning)固(gu)過(guo)程中,伴隨著凝(ning)固(gu)潛熱的(de)(de)(de)(de)釋放,凝(ning)固(gu)前沿溫(wen)度梯(ti)度減(jian)小(xiao),傳熱的(de)(de)(de)(de)單向(xiang)(xiang)(xiang)(xiang)(xiang)性(xing)減(jian)弱,成分過(guo)冷(leng)度增大(da)(da)(da),進(jin)(jin)而使得晶(jing)(jing)(jing)(jing)(jing)粒(li)生(sheng)長(chang)的(de)(de)(de)(de)方(fang)向(xiang)(xiang)(xiang)(xiang)(xiang)性(xing)減(jian)弱,抑(yi)制了(le)柱(zhu)(zhu)狀晶(jing)(jing)(jing)(jing)(jing)的(de)(de)(de)(de)生(sheng)長(chang),同(tong)時也促進(jin)(jin)了(le)鑄錠(ding)心(xin)部異(yi)質(zhi)形核(he)(he)的(de)(de)(de)(de)發生(sheng),從(cong)而有助于柱(zhu)(zhu)狀晶(jing)(jing)(jing)(jing)(jing)向(xiang)(xiang)(xiang)(xiang)(xiang)等軸(zhou)晶(jing)(jing)(jing)(jing)(jing)轉變,最(zui)終形成中心(xin)等軸(zhou)晶(jing)(jing)(jing)(jing)(jing)區(qu)(qu)(qu)(qu)。
因此,鑄錠(ding)(ding)有兩類枝(zhi)(zhi)晶(jing)(jing)(jing)(jing)(jing)(jing)(jing)組織,即等(deng)(deng)軸(zhou)晶(jing)(jing)(jing)(jing)(jing)(jing)(jing)和(he)(he)(he)柱狀晶(jing)(jing)(jing)(jing)(jing)(jing)(jing),通常采用枝(zhi)(zhi)晶(jing)(jing)(jing)(jing)(jing)(jing)(jing)間距(ju)和(he)(he)(he)CET位(wei)置(zhi)對其(qi)進行表(biao)征。圖2-108(a)給出了(le)凝固壓(ya)(ya)力(li)分別(bie)為0.5MPa、0.85MPa和(he)(he)(he)1.2MPa的(de)(de)19Cr14Mn0.9N含(han)氮(dan)鋼(gang)鑄錠(ding)(ding)縱剖(pou)面上(shang)的(de)(de)宏觀(guan)(guan)組織;CET位(wei)置(zhi)到鑄錠(ding)(ding)邊(bian)部(bu)(bu)(bu)距(ju)離的(de)(de)統計平(ping)均(jun)值分別(bie)為19.8mm、22.1mm和(he)(he)(he)27.4mm,增量可達(da)7.6mm,如(ru)圖2-108(b)所(suo)示。統計結果表(biao)明(ming),隨著壓(ya)(ya)力(li)的(de)(de)增大,CET 位(wei)置(zhi)逐(zhu)漸由(you)(you)邊(bian)部(bu)(bu)(bu)向(xiang)心(xin)部(bu)(bu)(bu)移動,柱狀晶(jing)(jing)(jing)(jing)(jing)(jing)(jing)區區域(yu)增大,中心(xin)等(deng)(deng)軸(zhou)晶(jing)(jing)(jing)(jing)(jing)(jing)(jing)區區域(yu)減小(xiao)。根(gen)據柱狀晶(jing)(jing)(jing)(jing)(jing)(jing)(jing)向(xiang)等(deng)(deng)軸(zhou)晶(jing)(jing)(jing)(jing)(jing)(jing)(jing)轉變(bian)的(de)(de)阻擋判(pan)據可知[156],當柱狀晶(jing)(jing)(jing)(jing)(jing)(jing)(jing)枝(zhi)(zhi)晶(jing)(jing)(jing)(jing)(jing)(jing)(jing)尖端處(chu)等(deng)(deng)軸(zhou)晶(jing)(jing)(jing)(jing)(jing)(jing)(jing)體積分數(shu)大于臨界值時(shi),柱狀晶(jing)(jing)(jing)(jing)(jing)(jing)(jing)尖端生長(chang)(chang)受到抑制而停(ting)止,此時(shi)發生柱狀晶(jing)(jing)(jing)(jing)(jing)(jing)(jing)區向(xiang)中心(xin)等(deng)(deng)軸(zhou)晶(jing)(jing)(jing)(jing)(jing)(jing)(jing)區轉變(bian)。因此,CET轉變(bian)很大程度(du)上(shang)取決(jue)于中心(xin)等(deng)(deng)軸(zhou)晶(jing)(jing)(jing)(jing)(jing)(jing)(jing)的(de)(de)形(xing)核和(he)(he)(he)長(chang)(chang)大。由(you)(you)于壓(ya)(ya)力(li)強化冷(leng)卻效果十分明(ming)顯(xian),增加壓(ya)(ya)力(li)加快(kuai)(kuai)了(le)鑄錠(ding)(ding)的(de)(de)冷(leng)卻,增大了(le)鑄錠(ding)(ding)的(de)(de)溫度(du)梯度(du),從(cong)而降(jiang)低了(le)枝(zhi)(zhi)晶(jing)(jing)(jing)(jing)(jing)(jing)(jing)前(qian)沿的(de)(de)成分過冷(leng)度(du),此時(shi),等(deng)(deng)軸(zhou)晶(jing)(jing)(jing)(jing)(jing)(jing)(jing)在(zai)柱狀晶(jing)(jing)(jing)(jing)(jing)(jing)(jing)枝(zhi)(zhi)晶(jing)(jing)(jing)(jing)(jing)(jing)(jing)尖端的(de)(de)形(xing)核和(he)(he)(he)長(chang)(chang)大就會(hui)受到嚴(yan)重阻礙(ai)和(he)(he)(he)抑制;反之,降(jiang)低壓(ya)(ya)力(li),有助于等(deng)(deng)軸(zhou)晶(jing)(jing)(jing)(jing)(jing)(jing)(jing)在(zai)柱狀晶(jing)(jing)(jing)(jing)(jing)(jing)(jing)枝(zhi)(zhi)晶(jing)(jing)(jing)(jing)(jing)(jing)(jing)尖端處(chu)的(de)(de)形(xing)核和(he)(he)(he)長(chang)(chang)大,從(cong)而提(ti)前(qian)并加快(kuai)(kuai)了(le)CET.因此,當壓(ya)(ya)力(li)從(cong)0.5MPa增加到1.2MPa時(shi),壓(ya)(ya)力(li)通過強化冷(leng)卻擴(kuo)大了(le)柱狀晶(jing)(jing)(jing)(jing)(jing)(jing)(jing)區,促使(shi)CET轉變(bian)位(wei)置(zhi)在(zai)徑向(xiang)上(shang)逐(zhu)漸由(you)(you)邊(bian)部(bu)(bu)(bu)向(xiang)心(xin)部(bu)(bu)(bu)移動。此外,在(zai)0.5MPa、0.85MPa和(he)(he)(he)1.2MPa下,19Cr14Mn0.9N含(han)氮(dan)鋼(gang)鑄錠(ding)(ding)縱剖(pou)面的(de)(de)宏觀(guan)(guan)組織中均(jun)存(cun)在(zai)較(jiao)窄的(de)(de)表(biao)層細(xi)晶(jing)(jing)(jing)(jing)(jing)(jing)(jing)區。
為了進一步研究壓力(li)對CET的(de)影響規律(lv),在不考慮壓力(li)強化冷卻效果的(de)前(qian)提下,對枝晶尖端生長(chang)速率v.隨壓力(li)的(de)變(bian)化規律(lv)進行理論(lun)計算,可采用KGT模型,,即


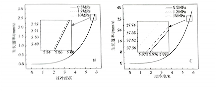
基于2.3.2節分析所得ko和D等相關參數隨壓力的變化規律,結合式(2-188)和式(2-189)可得出不同過冷度下壓力對枝晶尖端生長速率的影響規律。對于19Cr14Mn0.9N 含氮鋼體系,當枝晶尖端的成分過冷度由某一元素偏聚造成時,壓力對枝晶尖端生長速率影響規律如圖2-109所示;當枝晶尖端的過冷度分別由錳和鉬造成時,增加壓力降低了枝晶尖端生長速率;當枝晶尖端的過冷度分別由鉻、碳和氮造成時,增加壓力會增大枝晶尖端生長速率。此外,隨著過冷度的增加,壓力對枝晶尖端生長速率的影響隨之增大;對比0.5MPa和10MPa下的枝晶生長尖端速率可知,枝晶尖端生長速率因壓力改變的變化量可達0.1mm/s,并且壓力越大,枝晶尖端生長速率的變化量越大;因而在高壓下,不考慮壓力強化冷卻效果時,壓力對枝晶尖端生長速率的影響也較大,進而影響CET位置。然而,當壓力從0.5MPa增加至1.2MPa,且不考慮壓力強化冷卻效果時,壓力對枝晶尖端的生長速率的影響較小,可以忽略不計。


綜上所(suo)述,凝固壓(ya)力(li)(li)的增加(jia)(jia)會(hui)對枝晶尖端生長速率(lv)產(chan)生重要影(ying)響,且(qie)壓(ya)力(li)(li)的增量越大,影(ying)響越明顯。結合實驗和KGT模型理論計算可知(zhi),低壓(ya)下,當凝固壓(ya)力(li)(li)從0.5MPa 增加(jia)(jia)至1.2MPa時,壓(ya)力(li)(li)主(zhu)要通(tong)過強化(hua)冷卻(que)的方式,使得鑄錠CET位置逐(zhu)漸由邊部向心部移動。
2. 枝晶(jing)間距(ju)
相(xiang)鄰同次枝(zhi)晶(jing)臂(bei)之間(jian)(jian)的垂(chui)直距離稱為枝(zhi)晶(jing)間(jian)(jian)距,枝(zhi)晶(jing)間(jian)(jian)距的大(da)小表(biao)征了枝(zhi)晶(jing)組織(zhi)細(xi)化程度(du),枝(zhi)晶(jing)間(jian)(jian)距越(yue)小,枝(zhi)晶(jing)組織(zhi)越(yue)細(xi)密[162],通常考慮的枝(zhi)晶(jing)間(jian)(jian)距有一(yi)(yi)次枝(zhi)晶(jing)間(jian)(jian)距入1和二次枝(zhi)晶(jing)間(jian)(jian)距λ2.一(yi)(yi)次枝(zhi)晶(jing)間(jian)(jian)距與凝(ning)固速率v和溫度(du)梯度(du)Gr的關(guan)系(xi)為

由式(shi)(2-191)可(ke)(ke)知,合金體系一定時,分析(xi)局(ju)部區(qu)(qu)域(yu)(yu)冷卻速(su)率(lv)v.和溫度(du)梯度(du)Gr隨壓力(li)(li)的(de)(de)(de)(de)變化(hua)趨勢,有助于(yu)(yu)闡(chan)明壓力(li)(li)對(dui)一次(ci)枝晶(jing)(jing)(jing)間距λ1的(de)(de)(de)(de)影響(xiang)規(gui)律。因局(ju)部區(qu)(qu)域(yu)(yu)冷卻速(su)率(lv)vc和溫度(du)梯度(du)Gr的(de)(de)(de)(de)測量難度(du)較大(da),可(ke)(ke)用(yong)(yong)模(mo)擬(ni)計算的(de)(de)(de)(de)方式(shi)獲得。在(zai)不同(tong)凝(ning)固壓力(li)(li)下(xia)的(de)(de)(de)(de)組織(zhi)模(mo)擬(ni)過程中(zhong),不考慮疏松(song)縮孔對(dui)晶(jing)(jing)(jing)區(qu)(qu)分布的(de)(de)(de)(de)影響(xiang),模(mo)擬(ni)結(jie)果如圖2-110所示。為(wei)了更準確地找(zhao)到CET位置,使用(yong)(yong)平(ping)均縱(zong)橫比(晶(jing)(jing)(jing)粒最(zui)短邊與最(zui)長邊的(de)(de)(de)(de)比率(lv))來區(qu)(qu)分柱狀晶(jing)(jing)(jing)和等軸晶(jing)(jing)(jing):當晶(jing)(jing)(jing)粒的(de)(de)(de)(de)縱(zong)橫比大(da)于(yu)(yu)0.4時,晶(jing)(jing)(jing)粒為(wei)等軸晶(jing)(jing)(jing);當晶(jing)(jing)(jing)粒的(de)(de)(de)(de)縱(zong)橫比小于(yu)(yu)0.4時,則(ze)為(wei)柱狀晶(jing)(jing)(jing)。根(gen)據阻擋判(pan)據,等軸晶(jing)(jing)(jing)體積分數(shu)的(de)(de)(de)(de)臨界值設定為(wei)0.49,以此作為(wei)依據,19Cr14Mn0.9N含氮鋼在(zai)0.5MPa、0.85MPa 和1.2MPa 壓力(li)(li)下(xia),CET 位置在(zai)徑向上離(li)鑄(zhu)錠邊部的(de)(de)(de)(de)平(ping)均距離(li)分別為(wei)18.1mm、19.8mm和25.3mm.

19Cr14Mn0.9N 含氮鋼鑄(zhu)錠底部(bu)(bu)(bu)溫度梯度 Gr和(he)(he)(he)(he)冷(leng)卻速率v.隨(sui)(sui)壓(ya)(ya)力(li)(li)(li)的(de)(de)變化規律,如圖2-111所示。在(zai)某一(yi)(yi)壓(ya)(ya)力(li)(li)(li)條件下,vc和(he)(he)(he)(he)Gr沿徑(jing)向(xiang)由鑄(zhu)錠邊部(bu)(bu)(bu)到心(xin)部(bu)(bu)(bu)均呈現(xian)逐(zhu)漸減小的(de)(de)趨勢(shi),結(jie)(jie)合(he)式(2-190)可知,一(yi)(yi)次(ci)枝晶間(jian)(jian)距(ju)入(ru)1與v.和(he)(he)(he)(he)Gr成反比,因而1沿徑(jing)向(xiang)由邊部(bu)(bu)(bu)到心(xin)部(bu)(bu)(bu)逐(zhu)漸增(zeng)(zeng)大(da)。當壓(ya)(ya)力(li)(li)(li)從(cong)0.5MPa增(zeng)(zeng)加(jia)至1.2MPa時,在(zai)壓(ya)(ya)力(li)(li)(li)強(qiang)化冷(leng)卻的(de)(de)作用下,鑄(zhu)錠內各單元體(ti)的(de)(de)vc和(he)(he)(he)(he)Gr隨(sui)(sui)之增(zeng)(zeng)大(da),且對(dui)(dui)鑄(zhu)錠邊緣處(chu)的(de)(de)單元體(ti)影(ying)響最大(da),在(zai)沿徑(jing)向(xiang)向(xiang)心(xin)部(bu)(bu)(bu)移動的(de)(de)過程中,壓(ya)(ya)力(li)(li)(li)對(dui)(dui)vc和(he)(he)(he)(he)Gr的(de)(de)影(ying)響逐(zhu)步減弱。結(jie)(jie)合(he)式(2-190)可知,一(yi)(yi)次(ci)枝晶間(jian)(jian)距(ju)入(ru)1隨(sui)(sui)著vc和(he)(he)(he)(he)Gr的(de)(de)增(zeng)(zeng)大(da)呈冪函(han)數減小。因此,隨(sui)(sui)著壓(ya)(ya)力(li)(li)(li)增(zeng)(zeng)加(jia),一(yi)(yi)次(ci)枝晶間(jian)(jian)距(ju)入(ru)1減小,且越靠近鑄(zhu)錠邊部(bu)(bu)(bu),入(ru)減小趨勢(shi)越明(ming)顯,即(ji)壓(ya)(ya)力(li)(li)(li)對(dui)(dui)柱狀晶一(yi)(yi)次(ci)枝晶間(jian)(jian)距(ju)的(de)(de)影(ying)響大(da)于中心(xin)等(deng)軸晶區。

由邊部到心(xin)部逐漸增大,結合(he)式(2-192)可知(zhi),鑄錠心(xin)部的二(er)次(ci)枝晶(jing)間距入2大于邊部;壓(ya)力從0.5MPa增加至1.2MPa時,LST明顯減(jian)小(xiao),二(er)次(ci)枝晶(jing)間距入2也隨之(zhi)減(jian)小(xiao)。

圖2-112 不同(tong)壓(ya)(ya)力(li)下(xia)距(ju)(ju)離(li)19Cr14Mn0.9N含(han)氮鋼(gang)(gang)鑄錠底(di)部(bu)(bu)130mm處LST計算值由(you)于等軸(zhou)晶(jing)的(de)(de)一次枝(zhi)晶(jing)臂(bei)彼(bi)此相(xiang)交且沿(yan)徑向(xiang)(xiang)(xiang)以(yi)幾乎相(xiang)同(tong)的(de)(de)速率向(xiang)(xiang)(xiang)四周(zhou)生(sheng)長,同(tong)時(shi)不同(tong)等軸(zhou)晶(jing)間(jian)(jian)(jian)(jian)不存在(zai)任(ren)何確定的(de)(de)位(wei)向(xiang)(xiang)(xiang)關系,難以(yi)通過實(shi)驗對(dui)等軸(zhou)晶(jing)的(de)(de)一次晶(jing)間(jian)(jian)(jian)(jian)距(ju)(ju)進(jin)行(xing)測量,因此只對(dui)CET前柱(zhu)狀晶(jing)的(de)(de)一次枝(zhi)晶(jing)間(jian)(jian)(jian)(jian)距(ju)(ju)進(jin)行(xing)測量。圖2-113給出了距(ju)(ju)19Cr14Mn0.9N含(han)氮鋼(gang)(gang)鑄錠底(di)部(bu)(bu)115mm的(de)(de)高度(du)處一次枝(zhi)晶(jing)間(jian)(jian)(jian)(jian)距(ju)(ju)入1和(he)(he)(he)二(er)次枝(zhi)晶(jing)間(jian)(jian)(jian)(jian)距(ju)(ju)x2的(de)(de)變(bian)化(hua)(hua)規(gui)律,在(zai)某一壓(ya)(ya)力(li)下(xia),沿(yan)徑向(xiang)(xiang)(xiang)由(you)鑄錠邊(bian)部(bu)(bu)向(xiang)(xiang)(xiang)心(xin)部(bu)(bu)移動的(de)(de)過程中(zhong),1和(he)(he)(he)x2逐漸增大(da);當壓(ya)(ya)力(li)從(cong)0.5MPa增加至(zhi)1.2MPa時(shi),1和(he)(he)(he)入2均(jun)呈減(jian)小的(de)(de)趨勢。基于埋設熱(re)電(dian)偶的(de)(de)測溫(wen)(wen)結果和(he)(he)(he)式(2-195)可(ke)得,2nd和(he)(he)(he)4h測溫(wen)(wen)位(wei)置(zhi)處局部(bu)(bu)凝固時(shi)間(jian)(jian)(jian)(jian)隨壓(ya)(ya)力(li)的(de)(de)增加而(er)(er)縮短,如圖2-113(a)所示,從(cong)而(er)(er)導致x2的(de)(de)減(jian)小。對(dui)比可(ke)知,枝(zhi)晶(jing)間(jian)(jian)(jian)(jian)距(ju)(ju)(λ和(he)(he)(he)ん)和(he)(he)(he)局部(bu)(bu)凝固時(shi)間(jian)(jian)(jian)(jian)沿(yan)徑向(xiang)(xiang)(xiang)和(he)(he)(he)隨壓(ya)(ya)力(li)變(bian)化(hua)(hua)趨勢的(de)(de)實(shi)驗與模擬(ni)結果一致。


綜上所(suo)(suo)述,增(zeng)加壓力能(neng)夠明顯(xian)減小枝(zhi)晶間(jian)距(ju)(x1和(he)x2),縮短局部凝(ning)(ning)固時間(jian),細化凝(ning)(ning)固組織(zhi)。鑄錠邊部和(he)心部試樣(yang)的(de)(de)枝(zhi)晶形(xing)貌如(ru)圖2-114所(suo)(suo)示,進一(yi)步佐證了(le)增(zeng)加壓力具有明顯(xian)細化枝(zhi)晶組織(zhi)的(de)(de)作用(yong),且對柱狀晶的(de)(de)影響大于中心等軸晶。

3. 晶(jing)粒數
鑄錠內晶(jing)(jing)粒數與晶(jing)(jing)粒臨(lin)界形(xing)(xing)核(he)半徑和形(xing)(xing)核(he)率有直接的(de)關系(xi),晶(jing)(jing)粒臨(lin)界形(xing)(xing)核(he)半徑為:

其中,Nm為與液相線溫度(du)、凝(ning)固(gu)潛熱、擴散激活能以及表(biao)面張力(li)(li)有關的系數(shu)。圖(tu)(tu)2-114給出了 19Cr14Mn0.9N 含(han)(han)氮(dan)鋼(gang)鑄錠等(deng)軸(zhou)(zhou)晶(jing)(jing)區(qu)內晶(jing)(jing)粒(li)數(shu)隨壓力(li)(li)的變化規(gui)律。壓力(li)(li)從(cong)(cong)0.5MPa增加(jia)到(dao)(dao)(dao)1.2MPa時(shi)(shi),中心等(deng)軸(zhou)(zhou)晶(jing)(jing)區(qu)的寬(kuan)度(du)逐漸(jian)減小,最(zui)小值為56mm.19Cr14Mn0.9N含(han)(han)氮(dan)鋼(gang)鑄錠180mm(高)x56mm(寬(kuan))等(deng)軸(zhou)(zhou)晶(jing)(jing)區(qu)內晶(jing)(jing)粒(li)數(shu)隨壓力(li)(li)的變化規(gui)律如圖(tu)(tu)2-115所示(shi)。當凝(ning)固(gu)壓力(li)(li)從(cong)(cong)0.5MPa增加(jia)到(dao)(dao)(dao)0.85MPa時(shi)(shi),晶(jing)(jing)粒(li)數(shu)目從(cong)(cong)9166增加(jia)到(dao)(dao)(dao)9551;當凝(ning)固(gu)壓力(li)(li)進一步增加(jia)到(dao)(dao)(dao)1.2MPa時(shi)(shi),晶(jing)(jing)粒(li)數(shu)目增加(jia)到(dao)(dao)(dao)10128.因此,提高凝(ning)固(gu)壓力(li)(li),鑄錠等(deng)軸(zhou)(zhou)晶(jing)(jing)區(qu)內晶(jing)(jing)粒(li)數(shu)明顯增大。

在(zai)低壓下,如壓力從0.5MPa增至(zhi)1.2MPa時,液相(xiang)線溫(wen)(wen)度(du)(du)(du)、凝(ning)固潛(qian)熱、擴(kuo)散激活能以及表面張(zhang)力的變量非常小,幾乎可以忽略,這(zhe)樣可以假設Nm在(zai)0.5MPa、晶(jing)粒數(shu)(shu)0.85MPa和1.2MPa下相(xiang)等(deng),近似為常數(shu)(shu)。提高(gao)壓力能夠明顯地增大(da)鑄(zhu)錠的溫(wen)(wen)度(du)(du)(du)梯度(du)(du)(du)(圖(tu)2-111),溫(wen)(wen)度(du)(du)(du)梯度(du)(du)(du)越(yue)大(da),單位時間(jian)內從糊(hu)(hu)狀區(qu)內導(dao)出結(jie)晶(jing)潛(qian)熱的量越(yue)大(da),進而提高(gao)了(le)糊(hu)(hu)狀區(qu)內過(guo)冷(leng)度(du)(du)(du);反之亦(yi)然(ran),這(zhe)意味著糊(hu)(hu)狀區(qu)過(guo)冷(leng)度(du)(du)(du)與溫(wen)(wen)度(du)(du)(du)梯度(du)(du)(du)隨(sui)(sui)壓力的變化趨勢(shi)相(xiang)同,即隨(sui)(sui)著壓力的提高(gao)而增大(da)。結(jie)合(he)式(shi)(2-193)和式(shi)(2-197)可知,隨(sui)(sui)著糊(hu)(hu)狀區(qu)內過(guo)冷(leng)度(du)(du)(du)ΔT的增加,晶(jing)粒臨界形核(he)半徑rk減(jian)小,形核(he)率Na增大(da),有(you)助于提高(gao)鑄(zhu)錠內晶(jing)粒數(shu)(shu)。因此,增加壓力有(you)利于增加晶(jing)粒數(shu)(shu)。
距離19Cr14Mn0.9N含氮鋼鑄(zhu)(zhu)(zhu)(zhu)錠(ding)(ding)底部(bu)(bu)(bu)130mm的(de)(de)(de)(de)高(gao)度(du)處,晶(jing)(jing)(jing)粒(li)(li)(li)數(shu)(shu)隨壓(ya)(ya)(ya)力(li)的(de)(de)(de)(de)變化規律如(ru)圖2-116所示。在(zai)某一凝(ning)固壓(ya)(ya)(ya)力(li)下,鑄(zhu)(zhu)(zhu)(zhu)錠(ding)(ding)邊部(bu)(bu)(bu)的(de)(de)(de)(de)晶(jing)(jing)(jing)粒(li)(li)(li)數(shu)(shu)目最大(da)(da),隨著離鑄(zhu)(zhu)(zhu)(zhu)錠(ding)(ding)邊部(bu)(bu)(bu)距離的(de)(de)(de)(de)增加,由(you)于糊狀(zhuang)區內(nei)過冷(leng)度(du)的(de)(de)(de)(de)減小,晶(jing)(jing)(jing)粒(li)(li)(li)數(shu)(shu)也隨之(zhi)減少。隨著壓(ya)(ya)(ya)力(li)提高(gao),晶(jing)(jing)(jing)粒(li)(li)(li)數(shu)(shu)均呈增大(da)(da)趨勢(shi),且(qie)柱狀(zhuang)晶(jing)(jing)(jing)區內(nei)軸(zhou)向切片上晶(jing)(jing)(jing)粒(li)(li)(li)數(shu)(shu)的(de)(de)(de)(de)增量明(ming)(ming)顯(xian)大(da)(da)于中心等軸(zhou)晶(jing)(jing)(jing)區。因為在(zai)壓(ya)(ya)(ya)力(li)強化冷(leng)卻的(de)(de)(de)(de)作用下,整個鑄(zhu)(zhu)(zhu)(zhu)錠(ding)(ding)的(de)(de)(de)(de)溫(wen)度(du)梯度(du)均有增大(da)(da)趨勢(shi),導致糊狀(zhuang)區內(nei)過冷(leng)度(du)的(de)(de)(de)(de)增加。同(tong)時,由(you)于距離鑄(zhu)(zhu)(zhu)(zhu)錠(ding)(ding)和(he)鑄(zhu)(zhu)(zhu)(zhu)型換熱界面越近,溫(wen)度(du)梯度(du)受界面換熱的(de)(de)(de)(de)影響越大(da)(da),鑄(zhu)(zhu)(zhu)(zhu)錠(ding)(ding)邊部(bu)(bu)(bu)溫(wen)度(du)梯度(du)隨壓(ya)(ya)(ya)力(li)變化趨勢(shi)越明(ming)(ming)顯(xian),進(jin)而增加凝(ning)固壓(ya)(ya)(ya)力(li),鑄(zhu)(zhu)(zhu)(zhu)錠(ding)(ding)邊部(bu)(bu)(bu)溫(wen)度(du)梯度(du)的(de)(de)(de)(de)增量明(ming)(ming)顯(xian)大(da)(da)于心部(bu)(bu)(bu),從(cong)而導致離鑄(zhu)(zhu)(zhu)(zhu)錠(ding)(ding)邊部(bu)(bu)(bu)較近的(de)(de)(de)(de)柱狀(zhuang)晶(jing)(jing)(jing)區內(nei)晶(jing)(jing)(jing)粒(li)(li)(li)數(shu)(shu)的(de)(de)(de)(de)增量明(ming)(ming)顯(xian)大(da)(da)于中心等軸(zhou)晶(jing)(jing)(jing)區。

二、疏(shu)松縮孔
鑄(zhu)錠(ding)產(chan)生(sheng)疏(shu)(shu)松縮(suo)孔(kong)的(de)(de)(de)(de)基本(ben)原因是(shi)鑄(zhu)錠(ding)從澆(jiao)注溫(wen)度(du)冷(leng)卻(que)至固(gu)相線(xian)溫(wen)度(du)時產(chan)生(sheng)的(de)(de)(de)(de)體(ti)(ti)收(shou)(shou)(shou)(shou)縮(suo)(液(ye)(ye)(ye)態收(shou)(shou)(shou)(shou)縮(suo)和(he)凝(ning)固(gu)收(shou)(shou)(shou)(shou)縮(suo)之和(he))大于(yu)固(gu)態收(shou)(shou)(shou)(shou)縮(suo)。當鋼液(ye)(ye)(ye)從澆(jiao)注溫(wen)度(du)冷(leng)卻(que)至液(ye)(ye)(ye)相線(xian)溫(wen)度(du)時所產(chan)生(sheng)的(de)(de)(de)(de)體(ti)(ti)收(shou)(shou)(shou)(shou)縮(suo)為液(ye)(ye)(ye)態收(shou)(shou)(shou)(shou)縮(suo),鋼液(ye)(ye)(ye)進一步從液(ye)(ye)(ye)相線(xian)溫(wen)度(du)冷(leng)卻(que)至固(gu)相線(xian)溫(wen)度(du)時(即發生(sheng)凝(ning)固(gu)相變時)所產(chan)生(sheng)的(de)(de)(de)(de)體(ti)(ti)收(shou)(shou)(shou)(shou)縮(suo)為凝(ning)固(gu)收(shou)(shou)(shou)(shou)縮(suo)[87],固(gu)態收(shou)(shou)(shou)(shou)縮(suo)是(shi)指(zhi)固(gu)相在冷(leng)卻(que)過程中所產(chan)生(sheng)的(de)(de)(de)(de)體(ti)(ti)收(shou)(shou)(shou)(shou)縮(suo)。疏(shu)(shu)松縮(suo)孔(kong)的(de)(de)(de)(de)出現嚴重降低了(le)鑄(zhu)錠(ding)的(de)(de)(de)(de)力(li)學和(he)耐腐蝕(shi)性能(neng)以及成材(cai)率,是(shi)鑄(zhu)錠(ding)的(de)(de)(de)(de)嚴重缺陷之一。
在凝固(gu)(gu)過程中(zhong)(zhong)鑄錠內(nei)(nei)出現體積(ji)小而彌散的空洞為(wei)疏松(song),體積(ji)大且集中(zhong)(zhong)的為(wei)縮孔(kong)。疏松(song)由在糊狀(zhuang)區(qu)(qu)內(nei)(nei)液相體積(ji)分數降到(dao)一定程度(du)時(shi),液相流動困難,液態(tai)收(shou)縮與凝固(gu)(gu)收(shou)縮之和(he)超(chao)過固(gu)(gu)態(tai)收(shou)縮的那部(bu)分收(shou)縮量無(wu)法得到(dao)補縮所導致,因而疏松(song)的形(xing)成與枝(zhi)晶(jing)間(jian)液相的流動有密切關聯[72,87].在糊狀(zhuang)區(qu)(qu)內(nei)(nei),體收(shou)縮主要由凝固(gu)(gu)收(shou)縮組成,且為(wei)枝(zhi)晶(jing)間(jian)液體流動的主要驅動力,因而枝(zhi)晶(jing)間(jian)液相的流速(su)u可(ke)表(biao)示為(wei)

式中,PΔx=Ps+Pf(其(qi)中,Pt為鋼液靜壓力,Pf=pgh;Ps為凝(ning)(ning)(ning)固(gu)壓力)。結合(he)式(2-202)可(ke)知,增加凝(ning)(ning)(ning)固(gu)壓力,Px增大,強化(hua)了枝(zhi)(zhi)(zhi)晶間(jian)液相的補縮(suo)能力,進而(er)有助(zhu)于(yu)(yu)避免(mian)疏(shu)松(song)(song)的形(xing)(xing)成(cheng)[91].此(ci)外(wai),糊狀(zhuang)區(qu)越(yue)(yue)(yue)寬,枝(zhi)(zhi)(zhi)晶網狀(zhuang)結構越(yue)(yue)(yue)復雜(za),枝(zhi)(zhi)(zhi)晶間(jian)補縮(suo)的距(ju)離越(yue)(yue)(yue)長阻力越(yue)(yue)(yue)大,滲透(tou)率K越(yue)(yue)(yue)小,疏(shu)松(song)(song)越(yue)(yue)(yue)容易形(xing)(xing)成(cheng)。因此(ci),疏(shu)松(song)(song)易于(yu)(yu)在糊狀(zhuang)區(qu)較(jiao)寬的鑄(zhu)錠以體積凝(ning)(ning)(ning)固(gu)或同時(shi)凝(ning)(ning)(ning)固(gu)方式凝(ning)(ning)(ning)固(gu)時(shi)形(xing)(xing)成(cheng)。相比(bi)之下(xia),縮(suo)孔傾向于(yu)(yu)在糊狀(zhuang)區(qu)較(jiao)窄的鑄(zhu)錠以逐(zhu)層(ceng)凝(ning)(ning)(ning)固(gu)方式的凝(ning)(ning)(ning)固(gu)過程中出現。
不同(tong)凝(ning)固(gu)壓(ya)力下(0.5MPa、0.85MPa和(he)(he)1.2MPa),19Cr14Mn0.9N含氮鋼(gang)鑄(zhu)(zhu)(zhu)錠(ding)(ding)(ding)縱(zong)剖面上疏松縮孔(kong)的(de)(de)分(fen)(fen)布(bu)情況(kuang)(kuang)如圖2-117所(suo)示。隨著凝(ning)固(gu)壓(ya)力的(de)(de)增(zeng)加,疏松和(he)(he)縮孔(kong)的(de)(de)總面積大(da)(da)(da)幅度(du)(du)(du)減小(xiao),且(qie)疏松逐(zhu)漸消失。由(you)于(yu)壓(ya)力具有(you)顯著的(de)(de)強(qiang)化(hua)冷卻效(xiao)(xiao)果,增(zeng)大(da)(da)(da)凝(ning)固(gu)壓(ya)力,強(qiang)化(hua)了(le)鑄(zhu)(zhu)(zhu)錠(ding)(ding)(ding)和(he)(he)鑄(zhu)(zhu)(zhu)型間(jian)(jian)的(de)(de)界面換熱(re),加快了(le)鑄(zhu)(zhu)(zhu)錠(ding)(ding)(ding)的(de)(de)冷卻速率,從而(er)增(zeng)大(da)(da)(da)了(le)鑄(zhu)(zhu)(zhu)錠(ding)(ding)(ding)溫度(du)(du)(du)梯(ti)度(du)(du)(du)Gr;在合金體系一定的(de)(de)情況(kuang)(kuang)下,糊(hu)狀(zhuang)區隨之確定,那么(me)糊(hu)狀(zhuang)區的(de)(de)寬度(du)(du)(du)隨溫度(du)(du)(du)梯(ti)度(du)(du)(du)Gr的(de)(de)增(zeng)大(da)(da)(da)而(er)減小(xiao)171],進(jin)而(er)導(dao)致枝晶網狀(zhuang)結構(gou)的(de)(de)形成(cheng)受到抑(yi)制。凝(ning)固(gu)方式(shi)逐(zhu)漸由(you)體積凝(ning)固(gu)向逐(zhu)層凝(ning)固(gu)過渡,增(zeng)大(da)(da)(da)了(le)滲(shen)透率K,從而(er)降低(di)和(he)(he)縮短枝晶間(jian)(jian)補縮時液相(xiang)流動的(de)(de)阻力和(he)(he)距離。此外,基(ji)于(yu)以上理論分(fen)(fen)析并結合判(pan)據式(shi)(2-202)可知,增(zeng)加凝(ning)固(gu)壓(ya)力等效(xiao)(xiao)于(yu)增(zeng)大(da)(da)(da)了(le)Px,使其遠大(da)(da)(da)于(yu)枝晶間(jian)(jian)液相(xiang)補縮時所(suo)需壓(ya)力。因此,加壓(ya)有(you)利于(yu)枝晶間(jian)(jian)液相(xiang)的(de)(de)補縮行為,且(qie)有(you)助于(yu)大(da)(da)(da)幅度(du)(du)(du)減小(xiao)或(huo)消除疏松缺陷(xian)。

三、凝固析(xi)出相
根據(ju)相所含非金(jin)屬(shu)元素的(de)種類(lei),可將凝(ning)固(gu)析(xi)出(chu)相分為氮化(hua)物(wu)(wu)(wu)、碳(tan)化(hua)物(wu)(wu)(wu)等,與碳(tan)化(hua)物(wu)(wu)(wu)相比,氮化(hua)物(wu)(wu)(wu)尺寸一般較小,為了更加清楚直(zhi)觀地論述(shu)增(zeng)加壓力對(dui)凝(ning)固(gu)析(xi)出(chu)相的(de)影(ying)(ying)響,本(ben)節將著重以高速(su)鋼(gang)M42中碳(tan)化(hua)物(wu)(wu)(wu)為例,闡述(shu)壓力對(dui)凝(ning)固(gu)析(xi)出(chu)相的(de)類(lei)型、形貌、成(cheng)分等影(ying)(ying)響規律。
高速(su)鋼(gang)碳(tan)(tan)化(hua)(hua)(hua)(hua)物(wu)(wu)(wu)的(de)(de)(de)(de)數量繁多、種類(lei)各(ge)異。不(bu)(bu)同(tong)(tong)(tong)(tong)(tong)碳(tan)(tan)化(hua)(hua)(hua)(hua)物(wu)(wu)(wu)的(de)(de)(de)(de)特性不(bu)(bu)同(tong)(tong)(tong)(tong)(tong)、成(cheng)(cheng)(cheng)(cheng)(cheng)分(fen)(fen)不(bu)(bu)同(tong)(tong)(tong)(tong)(tong)、形(xing)貌也各(ge)有差(cha)異;按照碳(tan)(tan)化(hua)(hua)(hua)(hua)物(wu)(wu)(wu)的(de)(de)(de)(de)形(xing)貌特征(zheng)及(ji)(ji)生(sheng)成(cheng)(cheng)(cheng)(cheng)(cheng)機(ji)制的(de)(de)(de)(de)不(bu)(bu)同(tong)(tong)(tong)(tong)(tong),可(ke)將高速(su)鋼(gang)中(zhong)碳(tan)(tan)化(hua)(hua)(hua)(hua)物(wu)(wu)(wu)分(fen)(fen)為(wei)(wei)一次(ci)碳(tan)(tan)化(hua)(hua)(hua)(hua)物(wu)(wu)(wu)和二次(ci)碳(tan)(tan)化(hua)(hua)(hua)(hua)物(wu)(wu)(wu)兩大部分(fen)(fen)。一次(ci)碳(tan)(tan)化(hua)(hua)(hua)(hua)物(wu)(wu)(wu)又稱為(wei)(wei)“初生(sheng)碳(tan)(tan)化(hua)(hua)(hua)(hua)物(wu)(wu)(wu)”,即在(zai)凝固(gu)過(guo)(guo)程中(zhong)直接從(cong)液相中(zhong)析(xi)出的(de)(de)(de)(de)碳(tan)(tan)化(hua)(hua)(hua)(hua)物(wu)(wu)(wu),包括各(ge)種先共晶和共晶碳(tan)(tan)化(hua)(hua)(hua)(hua)物(wu)(wu)(wu),有M6C、M2C、MC等(deng)不(bu)(bu)同(tong)(tong)(tong)(tong)(tong)類(lei)型。一次(ci)碳(tan)(tan)化(hua)(hua)(hua)(hua)物(wu)(wu)(wu)的(de)(de)(de)(de)尺寸(cun)比較(jiao)(jiao)大,屬于微米級(ji)別(bie),在(zai)后續熱(re)加工和熱(re)處理工藝中(zhong)將被破碎或(huo)分(fen)(fen)解成(cheng)(cheng)(cheng)(cheng)(cheng)尺寸(cun)較(jiao)(jiao)小的(de)(de)(de)(de)顆粒狀存在(zai)于鋼(gang)中(zhong)。二次(ci)碳(tan)(tan)化(hua)(hua)(hua)(hua)物(wu)(wu)(wu)是指(zhi)在(zai)凝固(gu)過(guo)(guo)程中(zhong)或(huo)熱(re)處理時從(cong)固(gu)相基體(ti)(高溫鐵素體(ti)、奧氏(shi)體(ti)、馬氏(shi)體(ti)等(deng))中(zhong)析(xi)出的(de)(de)(de)(de)碳(tan)(tan)化(hua)(hua)(hua)(hua)物(wu)(wu)(wu),分(fen)(fen)為(wei)(wei)M6C、MC、M23C6、M7C3、M2C等(deng)不(bu)(bu)同(tong)(tong)(tong)(tong)(tong)類(lei)型。高速(su)鋼(gang)中(zhong)碳(tan)(tan)化(hua)(hua)(hua)(hua)物(wu)(wu)(wu)成(cheng)(cheng)(cheng)(cheng)(cheng)分(fen)(fen)波動范圍較(jiao)(jiao)大,不(bu)(bu)同(tong)(tong)(tong)(tong)(tong)鋼(gang)種、不(bu)(bu)同(tong)(tong)(tong)(tong)(tong)條件(jian)產生(sheng)的(de)(de)(de)(de)同(tong)(tong)(tong)(tong)(tong)一類(lei)型的(de)(de)(de)(de)碳(tan)(tan)化(hua)(hua)(hua)(hua)物(wu)(wu)(wu)也會有不(bu)(bu)同(tong)(tong)(tong)(tong)(tong)的(de)(de)(de)(de)成(cheng)(cheng)(cheng)(cheng)(cheng)分(fen)(fen),甚至同(tong)(tong)(tong)(tong)(tong)一粒碳(tan)(tan)化(hua)(hua)(hua)(hua)物(wu)(wu)(wu)的(de)(de)(de)(de)不(bu)(bu)同(tong)(tong)(tong)(tong)(tong)部位,也會有成(cheng)(cheng)(cheng)(cheng)(cheng)分(fen)(fen)的(de)(de)(de)(de)差(cha)異。各(ge)碳(tan)(tan)化(hua)(hua)(hua)(hua)物(wu)(wu)(wu)的(de)(de)(de)(de)形(xing)貌、成(cheng)(cheng)(cheng)(cheng)(cheng)分(fen)(fen)及(ji)(ji)分(fen)(fen)布(bu)見(jian)表2-14.

M2C具(ju)有(you)密(mi)排六方晶體結構[172-175,179],其主要(yao)形成元(yuan)素通(tong)常是鉬、釩和(he)鎢,鉻及鐵的(de)(de)含(han)量則較(jiao)(jiao)(jiao)少。M2C 共(gong)晶碳化物(wu)一般以亞穩態(tai)存在于(yu)鋼中(zhong)。尺(chi)寸較(jiao)(jiao)(jiao)小(xiao)、片層較(jiao)(jiao)(jiao)薄且沒有(you)中(zhong)間(jian)脊骨,在高溫(wen)時(shi)易(yi)發生(sheng)分解反(fan)(fan)應(ying):M2C+Fe(Y)→M6C+MC,分解成尺(chi)寸較(jiao)(jiao)(jiao)小(xiao)的(de)(de)顆粒狀M6C和(he)MC。此(ci)外,與M6C相反(fan)(fan),鋼液凝(ning)固(gu)時(shi)的(de)(de)冷卻速率越快,越有(you)利于(yu)M2C的(de)(de)形成。因此(ci),提高鑄錠(ding)凝(ning)固(gu)時(shi)的(de)(de)冷卻速率有(you)利于(yu)促進M2C的(de)(de)形成并細(xi)化M2C,同(tong)時(shi)可抑制較(jiao)(jiao)(jiao)大(da)尺(chi)寸M6Cl。
M6C具有(you)復雜立方晶(jing)體結(jie)(jie)構(gou),其結(jie)(jie)構(gou)中(zhong)除碳原子以外,鐵、鎢原子約各占一(yi)半。M6C屬于穩定型碳化(hua)(hua)(hua)物,其形態為粗大的骨骼狀。鋼(gang)液凝固時冷(leng)(leng)卻(que)速(su)(su)率(lv)越慢(man),M6C碳化(hua)(hua)(hua)物越易于形成和長大。因(yin)此(ci),M6C在高速(su)(su)鋼(gang)的心部往(wang)往(wang)含量(liang)較(jiao)高,而邊部較(jiao)少(shao)或沒有(you)。加快鑄(zhu)錠(ding)凝固時的冷(leng)(leng)卻(que)速(su)(su)率(lv)有(you)利于細化(hua)(hua)(hua)M6C,提高鑄(zhu)錠(ding)性能。
MC具有(you)(you)(you)面心(xin)(xin)立(li)方(fang)(fang)(fang)結(jie)(jie)構(gou),化(hua)(hua)(hua)(hua)學式為MC或者(zhe)M4C3,其成分以釩(fan)為主。鋼(gang)(gang)中(zhong)碳(tan)(tan)(tan)(tan)(tan)、釩(fan)含(han)量(liang)(liang)(liang)的(de)(de)(de)(de)增大(da)(da)可使MC增多(duo)(duo),尺寸(cun)變大(da)(da)。高(gao)(gao)速鋼(gang)(gang)中(zhong)還有(you)(you)(you)M23C6、M3C、M7C3等碳(tan)(tan)(tan)(tan)(tan)化(hua)(hua)(hua)(hua)物(wu)(wu)。M23C6晶(jing)體結(jie)(jie)構(gou)為復(fu)(fu)雜(za)面心(xin)(xin)立(li)方(fang)(fang)(fang)結(jie)(jie)構(gou),具有(you)(you)(you)一定量(liang)(liang)(liang)的(de)(de)(de)(de)鎢(wu)、鉬,釩(fan)含(han)量(liang)(liang)(liang)極少,含(han)有(you)(you)(you)大(da)(da)量(liang)(liang)(liang)的(de)(de)(de)(de)鉻(ge)、鐵(tie)元素;與(yu)M2C相同,M3C也是亞穩態相。M7C3為復(fu)(fu)雜(za)六(liu)方(fang)(fang)(fang)晶(jing)體結(jie)(jie)構(gou),含(han)有(you)(you)(you)較多(duo)(duo)的(de)(de)(de)(de)鉻(ge)、鐵(tie),主要(yao)存(cun)在于(yu)碳(tan)(tan)(tan)(tan)(tan)含(han)量(liang)(liang)(liang)較高(gao)(gao)的(de)(de)(de)(de)鋼(gang)(gang)中(zhong)。高(gao)(gao)速鋼(gang)(gang)中(zhong)碳(tan)(tan)(tan)(tan)(tan)化(hua)(hua)(hua)(hua)物(wu)(wu)具有(you)(you)(you)兩個重要(yao)的(de)(de)(de)(de)特(te)性(xing):硬度(du)(du)和(he)(he)熱(re)穩定性(xing)(加熱(re)時溶(rong)解、聚集(ji)長(chang)大(da)(da)的(de)(de)(de)(de)難度(du)(du))。這(zhe)些(xie)特(te)性(xing)反映了碳(tan)(tan)(tan)(tan)(tan)化(hua)(hua)(hua)(hua)物(wu)(wu)中(zhong)碳(tan)(tan)(tan)(tan)(tan)和(he)(he)金屬原(yuan)子(zi)結(jie)(jie)合鍵的(de)(de)(de)(de)強弱,與(yu)原(yuan)子(zi)結(jie)(jie)構(gou)和(he)(he)尺寸(cun)有(you)(you)(you)關。碳(tan)(tan)(tan)(tan)(tan)化(hua)(hua)(hua)(hua)物(wu)(wu)的(de)(de)(de)(de)晶(jing)格(ge)結(jie)(jie)構(gou)與(yu)碳(tan)(tan)(tan)(tan)(tan)原(yuan)子(zi)半徑(jing)rc、金屬原(yuan)子(zi)半徑(jing)rx有(you)(you)(you)關,如表2-15所示,rd/rx值越(yue)大(da)(da),則(ze)越(yue)易形成結(jie)(jie)構(gou)復(fu)(fu)雜(za)的(de)(de)(de)(de)碳(tan)(tan)(tan)(tan)(tan)化(hua)(hua)(hua)(hua)物(wu)(wu)(M23C6、M3C等),越(yue)小(xiao)則(ze)易形成結(jie)(jie)構(gou)簡單密堆型碳(tan)(tan)(tan)(tan)(tan)化(hua)(hua)(hua)(hua)物(wu)(wu)(MC等)。表中(zhong)熔(rong)點可作(zuo)為碳(tan)(tan)(tan)(tan)(tan)化(hua)(hua)(hua)(hua)物(wu)(wu)熱(re)穩定性(xing)的(de)(de)(de)(de)衡量(liang)(liang)(liang)指(zhi)標,可見碳(tan)(tan)(tan)(tan)(tan)化(hua)(hua)(hua)(hua)物(wu)(wu)中(zhong)原(yuan)子(zi)尺寸(cun)越(yue)接(jie)近,則(ze)碳(tan)(tan)(tan)(tan)(tan)化(hua)(hua)(hua)(hua)物(wu)(wu)穩定性(xing)越(yue)高(gao)(gao)。

1. 壓力對(dui)萊(lai)氏體的(de)影響(xiang)
凝(ning)固末期,由(you)于偏析導致合金(jin)元素在(zai)枝晶間(jian)(jian)殘(can)余液相(xiang)內(nei)富集發生共晶反(fan)應,從液相(xiang)中直接生成碳化物(wu),它與奧氏(shi)(shi)體(ti)(ti)相(xiang)間(jian)(jian)排列,構(gou)成萊(lai)氏(shi)(shi)體(ti)(ti)組織(zhi)。因(yin)此高速鋼的萊(lai)氏(shi)(shi)體(ti)(ti)組織(zhi)往往存在(zai)于枝晶間(jian)(jian)。圖2-118為(wei)M2高速鋼的低倍鑄態組織(zhi),可見一(yi)般情況下,相(xiang)鄰晶粒(li)之(zhi)(zhi)間(jian)(jian)的萊(lai)氏(shi)(shi)體(ti)(ti)組織(zhi)較為(wei)細小,數量較少,而(er)多(duo)個晶粒(li)之(zhi)(zhi)間(jian)(jian)的萊(lai)氏(shi)(shi)體(ti)(ti)組織(zhi)尺寸較大,數量較多(duo)。

高速鋼的(de)萊(lai)氏(shi)體組(zu)織中含(han)(han)有多種(zhong)類(lei)型的(de)碳化物(wu),如(ru)(ru)M2C、M6C、MC等。M6C整體形貌類(lei)似(si)魚骨(gu),故又稱為(wei)“魚骨(gu)狀碳化物(wu)”,如(ru)(ru)圖(tu)(tu)2-119所(suo)(suo)示;M2C成片(pian)層狀,含(han)(han)有M2C的(de)共(gong)晶萊(lai)氏(shi)體具有“羽(yu)毛狀”、“扇狀”、“菊花(hua)狀”等形貌,如(ru)(ru)圖(tu)(tu)2-120所(suo)(suo)示;MC的(de)生長時間較長,最終尺(chi)寸較為(wei)粗(cu)大,往往以(yi)不規則的(de)條狀出現,如(ru)(ru)圖(tu)(tu)2-120所(suo)(suo)示。

a. 碳化物(wu)種類及(ji)分(fen)布(bu)
高(gao)速(su)鋼(gang)中(zhong)碳(tan)(tan)化(hua)(hua)物種類與(yu)成(cheng)分(fen)(fen)和(he)凝固(gu)過程中(zhong)的(de)(de)(de)(de)(de)冷(leng)卻(que)(que)速(su)率(lv)密不(bu)可分(fen)(fen)。M42 高(gao)速(su)工具(ju)鋼(gang)作為高(gao)鉬低鎢鋼(gang),其(qi)凝固(gu)組織(zhi)(zhi)碳(tan)(tan)化(hua)(hua)物主(zhu)要為M2C共(gong)晶(jing)(jing)(jing)碳(tan)(tan)化(hua)(hua)物;另外含有(you)少部分(fen)(fen)M6C共(gong)晶(jing)(jing)(jing)碳(tan)(tan)化(hua)(hua)物,主(zhu)要存在(zai)于(yu)鑄(zhu)(zhu)錠(ding)的(de)(de)(de)(de)(de)心(xin)部區域(yu)。圖2-121~圖2-123給出了(le)M42高(gao)速(su)鋼(gang)鑄(zhu)(zhu)錠(ding)在(zai)0.1MPa、1MPa和(he)2MPa下1/4圓鑄(zhu)(zhu)錠(ding)板金(jin)相組織(zhi)(zhi)。白色斑點(dian)狀處的(de)(de)(de)(de)(de)萊氏(shi)體(ti)組織(zhi)(zhi)中(zhong)的(de)(de)(de)(de)(de)碳(tan)(tan)化(hua)(hua)物為具(ju)有(you)中(zhong)心(xin)脊骨,脊骨兩邊(bian)具(ju)有(you)平(ping)行分(fen)(fen)枝的(de)(de)(de)(de)(de)魚骨狀M6C.M6C共(gong)晶(jing)(jing)(jing)碳(tan)(tan)化(hua)(hua)物的(de)(de)(de)(de)(de)尺寸比M2C共(gong)晶(jing)(jing)(jing)碳(tan)(tan)化(hua)(hua)物粗(cu)大(da)得(de)多且結構上相互連接緊密,極不(bu)利于(yu)鑄(zhu)(zhu)錠(ding)的(de)(de)(de)(de)(de)后續(xu)碳(tan)(tan)化(hua)(hua)物破(po)碎,因此盡(jin)可能減少或避免凝固(gu)組織(zhi)(zhi)中(zhong)M6C共(gong)晶(jing)(jing)(jing)碳(tan)(tan)化(hua)(hua)物的(de)(de)(de)(de)(de)產(chan)生,有(you)助于(yu)提(ti)升其(qi)力(li)學性能等。隨著(zhu)壓(ya)(ya)力(li)的(de)(de)(de)(de)(de)增(zeng)大(da),萊氏(shi)體(ti)(白色斑點(dian))所(suo)占1/4圓鑄(zhu)(zhu)錠(ding)板的(de)(de)(de)(de)(de)面積比例逐漸減小(xiao),加(jia)壓(ya)(ya)有(you)助于(yu)抑(yi)制M6C共(gong)晶(jing)(jing)(jing)碳(tan)(tan)化(hua)(hua)物的(de)(de)(de)(de)(de)形成(cheng)與(yu)長(chang)大(da),其(qi)主(zhu)要原因在(zai)于(yu)在(zai)較低壓(ya)(ya)力(li)下,加(jia)壓(ya)(ya)對(dui)凝固(gu)熱(re)力(li)學和(he)動力(li)學參數的(de)(de)(de)(de)(de)影響十分(fen)(fen)有(you)限,但強化(hua)(hua)冷(leng)卻(que)(que)效果十分(fen)(fen)明同時凝固(gu)過程中(zhong)冷(leng)卻(que)(que)速(su)率(lv)越小(xiao),越有(you)利于(yu)魚骨狀M6C共(gong)晶(jing)(jing)(jing)碳(tan)(tan)化(hua)(hua)物的(de)(de)(de)(de)(de)形成(cheng),且M6C越粗(cu)大(da)。因而(er)增(zeng)加(jia)壓(ya)(ya)力(li)主(zhu)要通過增(zeng)大(da)鑄(zhu)(zhu)錠(ding)和(he)鑄(zhu)(zhu)型間界面換(huan)熱(re)系(xi)數,提(ti)高(gao)鑄(zhu)(zhu)錠(ding)的(de)(de)(de)(de)(de)冷(leng)卻(que)(que)速(su)率(lv)從而(er)細化(hua)(hua)并抑(yi)制M6C共(gong)晶(jing)(jing)(jing)碳(tan)(tan)化(hua)(hua)物的(de)(de)(de)(de)(de)形成(cheng),且當壓(ya)(ya)力(li)增(zeng)加(jia)到(dao)一定程度(du)時,能夠完全抑(yi)制富含M6C的(de)(de)(de)(de)(de)萊氏(shi)體(ti)形成(cheng),消除其(qi)對(dui)組織(zhi)(zhi)和(he)性能的(de)(de)(de)(de)(de)不(bu)良影響。

圖2-121(b)所示萊(lai)氏(shi)體組織(zhi)中碳化(hua)(hua)物(wu)為長(chang)條(tiao)狀或者短(duan)棒狀的(de)(de)(de)(de)M2C.凝固壓(ya)力(li)(li)不同,M2C的(de)(de)(de)(de)尺(chi)寸、形(xing)貌(mao)以及分布的(de)(de)(de)(de)緊密(mi)(mi)程度等均有所不同。在0.1MPa壓(ya)力(li)(li)下,碳化(hua)(hua)物(wu)分枝(zhi)較(jiao)(jiao)(jiao)(jiao)少、片層較(jiao)(jiao)(jiao)(jiao)長(chang)、尺(chi)寸較(jiao)(jiao)(jiao)(jiao)大、間(jian)距較(jiao)(jiao)(jiao)(jiao)寬、共晶(jing)萊(lai)氏(shi)體與(yu)枝(zhi)晶(jing)臂(bei)的(de)(de)(de)(de)界(jie)(jie)面較(jiao)(jiao)(jiao)(jiao)平(ping)整;隨(sui)著壓(ya)力(li)(li)的(de)(de)(de)(de)增(zeng)加,條(tiao)狀或片層狀碳化(hua)(hua)物(wu)的(de)(de)(de)(de)間(jian)距逐(zhu)漸減小,且開(kai)始斷開(kai)成大量的(de)(de)(de)(de)短(duan)棒碳化(hua)(hua)物(wu),碳化(hua)(hua)物(wu)的(de)(de)(de)(de)分枝(zhi)也逐(zhu)漸增(zeng)多,并密(mi)(mi)集分布在枝(zhi)晶(jing)間(jian),共晶(jing)萊(lai)氏(shi)體與(yu)枝(zhi)晶(jing)臂(bei)的(de)(de)(de)(de)界(jie)(jie)面也較(jiao)(jiao)(jiao)(jiao)為粗糙。此(ci)外,三個壓(ya)力(li)(li)下的(de)(de)(de)(de)M2C幾乎沒有晶(jing)體缺陷,明壓(ya)力(li)(li)很難(nan)對碳化(hua)(hua)物(wu)晶(jing)格類型產生影響。

b. 萊氏體尺(chi)寸(cun)
萊氏體組織(zhi)存在(zai)于(yu)枝(zhi)晶間,與枝(zhi)晶間距(ju)、形貌及分布密切相關,枝(zhi)晶間距(ju)越小(xiao),枝(zhi)晶間萊氏體尺寸也相應地(di)細小(xiao)且均勻分布。圖2-124和(he)圖2-125給出了不(bu)同壓(ya)力(li)條件(jian)下M42鑄(zhu)錠(ding)邊(bian)(bian)部(bu)和(he)心部(bu)萊氏體形貌和(he)尺寸分布,無(wu)論是鑄(zhu)錠(ding)的邊(bian)(bian)部(bu)還(huan)是心部(bu),尺寸不(bu)一的萊氏體組織(zhi)(黑色)均分布在(zai)枝(zhi)晶間。在(zai)同一凝固壓(ya)力(li)條件(jian)下,鑄(zhu)錠(ding)邊(bian)(bian)部(bu)的枝(zhi)晶間距(ju)明顯(xian)小(xiao)于(yu)心部(bu),因而心部(bu)萊氏體要比邊(bian)(bian)部(bu)粗(cu)大。
隨(sui)著(zhu)壓(ya)(ya)力的(de)(de)增(zeng)(zeng)大,在(zai)(zai)(zai)壓(ya)(ya)力強化(hua)冷卻的(de)(de)作用(yong)下(xia),冷卻速率增(zeng)(zeng)大,鑄(zhu)錠局(ju)部(bu)(bu)凝(ning)固時間(jian)縮(suo)短(duan),使得(de)(de)枝(zhi)(zhi)(zhi)晶(jing)組(zu)(zu)織(zhi)(zhi)得(de)(de)到(dao)了明(ming)顯(xian)(xian)細(xi)(xi)化(hua)且(qie)尺(chi)寸(cun)分(fen)布(bu)(bu)更(geng)均(jun)勻(yun)(yun),進而導致分(fen)布(bu)(bu)在(zai)(zai)(zai)枝(zhi)(zhi)(zhi)晶(jing)間(jian)的(de)(de)萊(lai)(lai)氏(shi)體(ti)(ti)組(zu)(zu)織(zhi)(zhi)也隨(sui)之(zhi)細(xi)(xi)化(hua),厚度(du)大大減小且(qie)分(fen)布(bu)(bu)更(geng)加(jia)均(jun)勻(yun)(yun)。在(zai)(zai)(zai)0.1MPa 壓(ya)(ya)力下(xia),無論在(zai)(zai)(zai)邊部(bu)(bu)還是心(xin)部(bu)(bu)位置,鑄(zhu)錠的(de)(de)萊(lai)(lai)氏(shi)體(ti)(ti)組(zu)(zu)織(zhi)(zhi)均(jun)較(jiao)為粗大,且(qie)尺(chi)寸(cun)分(fen)布(bu)(bu)極不(bu)均(jun)勻(yun)(yun),部(bu)(bu)分(fen)局(ju)部(bu)(bu)區域存(cun)在(zai)(zai)(zai)著(zhu)大量的(de)(de)黑色萊(lai)(lai)氏(shi)體(ti)(ti),尤其(qi)在(zai)(zai)(zai)多個(ge)枝(zhi)(zhi)(zhi)晶(jing)臂交匯處,且(qie)尺(chi)寸(cun)異常粗大。當壓(ya)(ya)力增(zeng)(zeng)加(jia)至(zhi)1MPa時,粗大萊(lai)(lai)氏(shi)體(ti)(ti)得(de)(de)到(dao)明(ming)顯(xian)(xian)細(xi)(xi)化(hua),且(qie)尺(chi)寸(cun)分(fen)布(bu)(bu)更(geng)加(jia)均(jun)勻(yun)(yun);當壓(ya)(ya)力進一步(bu)增(zeng)(zeng)加(jia)至(zhi)2MPa時,萊(lai)(lai)氏(shi)體(ti)(ti)組(zu)(zu)織(zhi)(zhi)得(de)(de)到(dao)進一步(bu)地改(gai)善,組(zu)(zu)織(zhi)(zhi)更(geng)加(jia)細(xi)(xi)密(mi),尺(chi)寸(cun)更(geng)加(jia)均(jun)勻(yun)(yun),粗大萊(lai)(lai)氏(shi)體(ti)(ti)組(zu)(zu)織(zhi)(zhi)基本消(xiao)失。萊(lai)(lai)氏(shi)體(ti)(ti)平均(jun)尺(chi)寸(cun)隨(sui)壓(ya)(ya)力的(de)(de)變(bian)化(hua)規律如圖2-126所示,壓(ya)(ya)力從0.1MPa增(zeng)(zeng)加(jia)至(zhi)2MPa時,萊(lai)(lai)氏(shi)體(ti)(ti)厚度(du)由(you)28.37μm降低至(zhi)22.92μm.因此,增(zeng)(zeng)加(jia)壓(ya)(ya)力能夠明(ming)顯(xian)(xian)細(xi)(xi)化(hua)萊(lai)(lai)氏(shi)體(ti)(ti)組(zu)(zu)織(zhi)(zhi),改(gai)善其(qi)分(fen)布(bu)(bu)狀態。

2. 壓力對碳化物的(de)影(ying)響
a. 碳(tan)化(hua)物尺寸
以高(gao)速鋼(gang)中(zhong)(zhong)(zhong)M2C共(gong)晶(jing)碳化(hua)(hua)(hua)(hua)物(wu)為(wei)例,M2C共(gong)晶(jing)碳化(hua)(hua)(hua)(hua)物(wu)是通(tong)過(guo)(guo)(guo)凝固(gu)過(guo)(guo)(guo)程(cheng)(cheng)(cheng)中(zhong)(zhong)(zhong)的(de)(de)(de)共(gong)晶(jing)反(fan)應L→y+M2C產(chan)生(sheng)(sheng)的(de)(de)(de)。和純金(jin)(jin)屬及固(gu)溶體合(he)(he)金(jin)(jin)的(de)(de)(de)結晶(jing)過(guo)(guo)(guo)程(cheng)(cheng)(cheng)一樣,共(gong)晶(jing)轉(zhuan)變(bian)(bian)(bian)(bian)(bian)同樣需要經過(guo)(guo)(guo)形核(he)與長大(da)的(de)(de)(de)過(guo)(guo)(guo)程(cheng)(cheng)(cheng)。結合(he)(he)式(2-178)和式(2-179),東北大(da)學特殊鋼(gang)冶金(jin)(jin)研(yan)究所在控制溫(wen)度不變(bian)(bian)(bian)(bian)(bian)的(de)(de)(de)基礎上,計(ji)算了(le)不同壓(ya)(ya)(ya)力下各元(yuan)(yuan)(yuan)(yuan)素(su)在兩相(xiang)中(zhong)(zhong)(zhong)的(de)(de)(de)擴(kuo)(kuo)散(san)(san)系(xi)數(shu),探(tan)討凝固(gu)壓(ya)(ya)(ya)力與擴(kuo)(kuo)散(san)(san)激活(huo)能的(de)(de)(de)關系(xi)。凝固(gu)過(guo)(guo)(guo)程(cheng)(cheng)(cheng)中(zhong)(zhong)(zhong)溫(wen)度T=1478K時(shi),合(he)(he)金(jin)(jin)元(yuan)(yuan)(yuan)(yuan)素(su)(鉬(mu)(mu)、鎢、釩(fan)(fan)和鉻)在M2C相(xiang)和奧氏體相(xiang)γ中(zhong)(zhong)(zhong)的(de)(de)(de)擴(kuo)(kuo)散(san)(san)系(xi)數(shu)D隨(sui)(sui)壓(ya)(ya)(ya)力的(de)(de)(de)變(bian)(bian)(bian)(bian)(bian)化(hua)(hua)(hua)(hua)規律如圖2-127和圖2-128所示;從整體上看,隨(sui)(sui)著壓(ya)(ya)(ya)力的(de)(de)(de)逐漸(jian)(jian)增大(da),同溫(wen)度M2C相(xiang)中(zhong)(zhong)(zhong)的(de)(de)(de)合(he)(he)金(jin)(jin)元(yuan)(yuan)(yuan)(yuan)素(su)鉬(mu)(mu)和鎢的(de)(de)(de)擴(kuo)(kuo)散(san)(san)系(xi)數(shu)D呈減小趨勢,而(er)(er)合(he)(he)金(jin)(jin)元(yuan)(yuan)(yuan)(yuan)素(su)釩(fan)(fan)和鉻則呈增大(da)的(de)(de)(de)趨勢,表明提高(gao)壓(ya)(ya)(ya)力可增大(da)M2C中(zhong)(zhong)(zhong)鉬(mu)(mu)、鎢元(yuan)(yuan)(yuan)(yuan)素(su)的(de)(de)(de)擴(kuo)(kuo)散(san)(san)激活(huo)能ΔGm,進而(er)(er)降(jiang)低其(qi)擴(kuo)(kuo)散(san)(san)能力;同時(shi)降(jiang)低釩(fan)(fan)、鉻元(yuan)(yuan)(yuan)(yuan)素(su)的(de)(de)(de)擴(kuo)(kuo)散(san)(san)激活(huo)能ΔGm,從而(er)(er)提高(gao)其(qi)擴(kuo)(kuo)散(san)(san)能力。然而(er)(er),當壓(ya)(ya)(ya)力在0.1~2MPa范圍內變(bian)(bian)(bian)(bian)(bian)化(hua)(hua)(hua)(hua)時(shi),各元(yuan)(yuan)(yuan)(yuan)素(su)擴(kuo)(kuo)散(san)(san)系(xi)數(shu)的(de)(de)(de)變(bian)(bian)(bian)(bian)(bian)化(hua)(hua)(hua)(hua)微乎其(qi)微,即保持恒定值。隨(sui)(sui)著凝固(gu)壓(ya)(ya)(ya)力逐漸(jian)(jian)增大(da)到50MPa,元(yuan)(yuan)(yuan)(yuan)素(su)鉬(mu)(mu)的(de)(de)(de)擴(kuo)(kuo)散(san)(san)系(xi)數(shu)才開(kai)始產(chan)生(sheng)(sheng)較為(wei)明顯的(de)(de)(de)變(bian)(bian)(bian)(bian)(bian)化(hua)(hua)(hua)(hua),鎢、釩(fan)(fan)和鉻元(yuan)(yuan)(yuan)(yuan)素(su)的(de)(de)(de)擴(kuo)(kuo)散(san)(san)系(xi)數(shu)甚(shen)至在100MPa壓(ya)(ya)(ya)力下仍(reng)未產(chan)生(sheng)(sheng)變(bian)(bian)(bian)(bian)(bian)化(hua)(hua)(hua)(hua)。因(yin)此低壓(ya)(ya)(ya)下,元(yuan)(yuan)(yuan)(yuan)素(su)擴(kuo)(kuo)散(san)(san)系(xi)數(shu)隨(sui)(sui)壓(ya)(ya)(ya)力的(de)(de)(de)變(bian)(bian)(bian)(bian)(bian)化(hua)(hua)(hua)(hua)可忽略不計(ji)。


的(de)增大(da)而降低,鉻(ge)元(yuan)素(su)(su)(su)的(de)擴(kuo)散(san)系(xi)數則隨著凝(ning)固(gu)壓(ya)(ya)(ya)力(li)(li)的(de)增大(da)而增加(jia)(jia),如圖(tu)2-128所示。即增大(da)凝(ning)固(gu)壓(ya)(ya)(ya)力(li)(li)具有提高奧氏(shi)體(ti)(ti)γ相(xiang)(xiang)中合金元(yuan)素(su)(su)(su)鉬(mu)、鎢和(he)(he)釩的(de)擴(kuo)散(san)激活能(neng)ΔGm,降低其擴(kuo)散(san)能(neng)力(li)(li)以及減小元(yuan)素(su)(su)(su)鉻(ge)的(de)擴(kuo)散(san)激活能(neng)ΔGm和(he)(he)增大(da)其擴(kuo)散(san)能(neng)力(li)(li)的(de)作用。與M2C差別(bie)在(zai)(zai)(zai)于(yu)(yu),在(zai)(zai)(zai)奧氏(shi)體(ti)(ti)相(xiang)(xiang)γ中,較小的(de)凝(ning)固(gu)壓(ya)(ya)(ya)力(li)(li)便可(ke)發(fa)揮比較明(ming)(ming)顯(xian)(xian)的(de)作用,例如:當凝(ning)固(gu)壓(ya)(ya)(ya)力(li)(li)大(da)于(yu)(yu)2MPa時(shi),元(yuan)素(su)(su)(su)鉻(ge)的(de)擴(kuo)散(san)系(xi)數隨壓(ya)(ya)(ya)力(li)(li)的(de)增加(jia)(jia)而明(ming)(ming)顯(xian)(xian)增大(da);鉬(mu)和(he)(he)釩元(yuan)素(su)(su)(su)則在(zai)(zai)(zai)10MPa時(shi)開始(shi)隨壓(ya)(ya)(ya)力(li)(li)增加(jia)(jia)而明(ming)(ming)顯(xian)(xian)減小。可(ke)見,在(zai)(zai)(zai)相(xiang)(xiang)同(tong)溫度下,相(xiang)(xiang)比于(yu)(yu)M2C相(xiang)(xiang),合金元(yuan)素(su)(su)(su)釩、鎢、鉬(mu)和(he)(he)鉻(ge)在(zai)(zai)(zai)奧氏(shi)體(ti)(ti)γ相(xiang)(xiang)中的(de)擴(kuo)散(san)情況受(shou)凝(ning)固(gu)壓(ya)(ya)(ya)力(li)(li)的(de)影響(xiang)更為明(ming)(ming)顯(xian)(xian)。但(dan)在(zai)(zai)(zai)0.1~2MPa的(de)壓(ya)(ya)(ya)力(li)(li)范圍內,合金元(yuan)素(su)(su)(su)在(zai)(zai)(zai)奧氏(shi)體(ti)(ti)相(xiang)(xiang)γ中的(de)擴(kuo)散(san)系(xi)數幾乎(hu)保持(chi)不變(㎡/s):DMo=1.13214x10-14、Dw=1.23805x10-14、Dv=1.39269x10-14、Dcr=1.18654x10-14,同(tong)時(shi),各元(yuan)素(su)(su)(su)擴(kuo)散(san)激活能(neng)ΔGm也未發(fa)生(sheng)明(ming)(ming)顯(xian)(xian)變化。
綜上所(suo)述,在低壓下(xia),影響M2C形核率(lv)的(de)主要(yao)因素是隨凝固壓力增(zeng)大(da)而顯(xian)著減小的(de)形核功。增(zeng)加(jia)凝固壓力可顯(xian)著改善換熱條件強化(hua)鑄錠冷卻、提高鑄錠過(guo)冷度ΔT,進而降低共晶(jing)反應過(guo)程中奧氏體相γ和M2C相的(de)形核功ΔG*,最終增(zeng)大(da)M2C的(de)形核率(lv)、減小M2C相鄰碳化(hua)物的(de)間距(ju)。
此外,增(zeng)加壓力使(shi)M2C形(xing)核率大大增(zeng)加,同(tong)時(shi)強化(hua)了鑄錠冷卻,顯著降低(di)了局(ju)部(bu)凝固(gu)時(shi)間LST,導(dao)致加壓下(xia)鑄錠同(tong)位置的(de)凝固(gu)相(xiang)對較快(kuai),M2C共晶碳(tan)化(hua)物生(sheng)長時(shi)間變(bian)短,導(dao)致M42凝固(gu)組織中M2C碳(tan)化(hua)物的(de)尺寸減小(xiao)。這對于后續的(de)熱(re)處理碳(tan)化(hua)物的(de)溶解具有積(ji)極的(de)意義。
圖(tu)2-129為(wei)不同凝(ning)固(gu)壓力下(xia)M2C共晶(jing)碳化物(wu)在熱(re)處理(li)過(guo)程(cheng)中的(de)(de)元素(su)(su)擴散示(shi)意圖(tu)。隨著(zhu)凝(ning)固(gu)壓力的(de)(de)增(zeng)大,碳化物(wu)由長條狀轉(zhuan)變為(wei)短(duan)棒狀,在縱(zong)向和橫向上的(de)(de)尺寸均(jun)顯著(zhu)減(jian)小。因此,在熱(re)處理(li)過(guo)程(cheng)中,碳化物(wu)中的(de)(de)元素(su)(su)由內向外擴散的(de)(de)平均(jun)距離也相(xiang)應隨著(zhu)凝(ning)固(gu)壓力的(de)(de)增(zeng)大而顯著(zhu)減(jian)小,熱(re)處理(li)效果更(geng)加明顯,熱(re)處理(li)后M42組織(zhi)的(de)(de)成分更(geng)加均(jun)勻,進而有利于提高M42高速鋼的(de)(de)質(zhi)量。

b. 碳(tan)化(hua)物成分
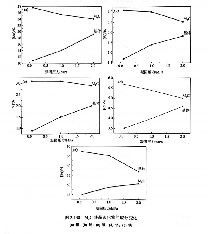
M2C的(de)(de)(de)形成元(yuan)(yuan)素(su)(su)(su)(su)(su)主要包括鉬、鎢、釩(fan)和鉻(ge),其中鉬元(yuan)(yuan)素(su)(su)(su)(su)(su)是(shi)強M2C碳(tan)化物(wu)形成元(yuan)(yuan)素(su)(su)(su)(su)(su),也是(shi)M2C中含(han)量(liang)最高(gao)的(de)(de)(de)合(he)金元(yuan)(yuan)素(su)(su)(su)(su)(su)。圖2-130給出了(le)不同壓(ya)力下(xia)M2C中合(he)金元(yuan)(yuan)素(su)(su)(su)(su)(su)鉬、鎢、釩(fan)和鉻(ge)含(han)量(liang),隨(sui)著壓(ya)力的(de)(de)(de)增大(da)(da),M2C上的(de)(de)(de)合(he)金元(yuan)(yuan)素(su)(su)(su)(su)(su)鉬、鎢、釩(fan)和鉻(ge)含(han)量(liang)均逐(zhu)漸(jian)減小,而(er)鐵元(yuan)(yuan)素(su)(su)(su)(su)(su)則(ze)逐(zhu)漸(jian)增大(da)(da);同時,M2C碳(tan)化物(wu)之(zhi)間基(ji)體中合(he)金元(yuan)(yuan)素(su)(su)(su)(su)(su)含(han)量(liang)則(ze)呈現相(xiang)反(fan)的(de)(de)(de)規律:鉬、鎢、釩(fan)和鉻(ge)元(yuan)(yuan)素(su)(su)(su)(su)(su)含(han)量(liang)逐(zhu)漸(jian)增大(da)(da),而(er)鐵元(yuan)(yuan)素(su)(su)(su)(su)(su)減少。這表明,增大(da)(da)的(de)(de)(de)壓(ya)力使得合(he)金元(yuan)(yuan)素(su)(su)(su)(su)(su)在M2C共(gong)晶碳(tan)化物(wu)中的(de)(de)(de)分布趨于(yu)均勻,為后續(xu)的(de)(de)(de)處理、熱(re)加工(gong)工(gong)藝中碳(tan)化物(wu)的(de)(de)(de)破(po)碎(sui)、溶解(jie)提供良好的(de)(de)(de)基(ji)礎。

在高速(su)鋼(gang)中(zhong),M2C共晶碳化物是通過(guo)凝固(gu)過(guo)程中(zhong)的(de)共晶反(fan)應L→M2C+y產(chan)生的(de),在這(zhe)個過(guo)程中(zhong)存在M2C碳化物相和奧(ao)氏體γ相之(zhi)間的(de)溶質再分配(pei)[172].在一定(ding)溫度(du)下,平衡分配(pei)系數可表示(shi)為固(gu)相和液(ye)相中(zhong)的(de)元素濃度(du)之(zhi)比:

式中(zhong)(zhong),Cs和CL分(fen)別(bie)表示在(zai)凝固過程(cheng)中(zhong)(zhong),元素(su)在(zai)固相(xiang)(xiang)和液相(xiang)(xiang)中(zhong)(zhong)的(de)平衡濃度。共晶反(fan)應L→M2C+y是在(zai)凝固末期(qi)發生的(de),圖2-131給(gei)出了不同(tong)壓力下(xia)的(de)M42高速鋼凝固時共晶反(fan)應過程(cheng)中(zhong)(zhong)M2C碳化物(wu)相(xiang)(xiang)和奧氏體γ相(xiang)(xiang)中(zhong)(zhong)各元素(su)的(de)單相(xiang)(xiang)平衡分(fen)配系數。
式(shi)中,Cs和(he)C1分(fen)(fen)別(bie)表(biao)示在(zai)凝(ning)固(gu)(gu)(gu)過(guo)程(cheng)中,元(yuan)素(su)在(zai)固(gu)(gu)(gu)相(xiang)和(he)液相(xiang)中的(de)(de)平衡濃度。共(gong)晶(jing)反(fan)應L→M2C+y是在(zai)凝(ning)固(gu)(gu)(gu)末期(qi)發生的(de)(de)[172,180,181],圖(tu)2-131給(gei)出了不同壓力下的(de)(de)M42高速鋼凝(ning)固(gu)(gu)(gu)時共(gong)晶(jing)反(fan)應過(guo)程(cheng)中M2C碳化物相(xiang)和(he)奧(ao)氏(shi)體y相(xiang)中各(ge)元(yuan)素(su)的(de)(de)單相(xiang)平衡分(fen)(fen)配(pei)系數。
隨壓(ya)力的(de)增(zeng)加,共(gong)(gong)晶(jing)反(fan)應過(guo)程(cheng)中(zhong)(zhong)(zhong)鉬元(yuan)素(su)(su)在(zai)M2C和(he)(he)奧(ao)(ao)(ao)氏(shi)體γ相(xiang)中(zhong)(zhong)(zhong)的(de)分配系(xi)(xi)數(shu)具有升高(gao)的(de)趨勢并逐漸靠近1.基(ji)于熱力學分析,在(zai)M42鑄錠凝固時的(de)共(gong)(gong)晶(jing)反(fan)應過(guo)程(cheng)中(zhong)(zhong)(zhong),增(zeng)大(da)壓(ya)力可使(shi)鉬元(yuan)素(su)(su)在(zai)M2C碳化(hua)(hua)物(wu)相(xiang)和(he)(he)奧(ao)(ao)(ao)氏(shi)體γ相(xiang)中(zhong)(zhong)(zhong)的(de)含(han)量(liang)(liang)增(zeng)大(da)。凝固過(guo)程(cheng)中(zhong)(zhong)(zhong)M2C碳化(hua)(hua)物(wu)相(xiang)和(he)(he)奧(ao)(ao)(ao)氏(shi)體γ相(xiang)中(zhong)(zhong)(zhong)的(de)鉬元(yuan)素(su)(su)平衡(heng)(heng)分配系(xi)(xi)數(shu)增(zeng)量(liang)(liang)變化(hua)(hua)規(gui)律如(ru)圖2-132所示,在(zai)0.1MPa、1MPa和(he)(he)2MPa時,M2C碳化(hua)(hua)物(wu)相(xiang)中(zhong)(zhong)(zhong)的(de)鉬元(yuan)素(su)(su)平衡(heng)(heng)分配系(xi)(xi)數(shu)增(zeng)量(liang)(liang)始終大(da)于奧(ao)(ao)(ao)氏(shi)體γ相(xiang)中(zhong)(zhong)(zhong)的(de)平衡(heng)(heng)分配系(xi)(xi)數(shu)增(zeng)量(liang)(liang)。由此可知,共(gong)(gong)晶(jing)反(fan)應過(guo)程(cheng)中(zhong)(zhong)(zhong),相(xiang)比于奧(ao)(ao)(ao)氏(shi)體γ相(xiang),鉬元(yuan)素(su)(su)更偏向于在(zai)M2C相(xiang)中(zhong)(zhong)(zhong)富集。

在(zai)0.1~2MPa壓力范圍(wei)內,加壓對Mo元(yuan)(yuan)(yuan)素(su)(su)的(de)(de)(de)平(ping)衡分配(pei)系數(shu)影(ying)(ying)響(xiang)非常小,變化量為(wei)10-6~10-5,可(ke)忽略(lve)不計,因而(er)在(zai)低壓范圍(wei)內,增加壓力不能通過改(gai)變元(yuan)(yuan)(yuan)素(su)(su)平(ping)衡分配(pei)系數(shu)而(er)影(ying)(ying)響(xiang)相(xiang)成分。除平(ping)衡分配(pei)系數(shu)以外,鑄錠凝固過程中(zhong)(zhong)溶(rong)(rong)(rong)質的(de)(de)(de)分配(pei)情況與元(yuan)(yuan)(yuan)素(su)(su)的(de)(de)(de)傳(chuan)質行(xing)為(wei)有關。在(zai)M42鑄錠凝固末(mo)期的(de)(de)(de)共(gong)晶反(fan)應(ying)L→M2C+y過程中(zhong)(zhong)存在(zai)M2C碳(tan)化物相(xiang)和(he)奧氏(shi)體(ti)γ相(xiang)之間的(de)(de)(de)溶(rong)(rong)(rong)質再分配(pei):液(ye)相(xiang)中(zhong)(zhong)的(de)(de)(de)M2C形成元(yuan)(yuan)(yuan)素(su)(su)(鉬、鎢、釩和(he)鉻)通過凝固前沿固/液(ye)界面向(xiang)M2C碳(tan)化物相(xiang)富集(ji),同時(shi)(shi)奧氏(shi)體(ti)γ相(xiang)形成元(yuan)(yuan)(yuan)素(su)(su)(鈷、鐵(tie))則向(xiang)奧氏(shi)體(ti)相(xiang)富集(ji),整個反(fan)應(ying)發生在(zai)凝固末(mo)期的(de)(de)(de)枝晶間小熔池內,此時(shi)(shi)液(ye)相(xiang)流動很弱,元(yuan)(yuan)(yuan)素(su)(su)對流傳(chuan)質行(xing)為(wei)可(ke)忽略(lve),因而(er)溶(rong)(rong)(rong)質的(de)(de)(de)分配(pei)主要與相(xiang)中(zhong)(zhong)元(yuan)(yuan)(yuan)素(su)(su)的(de)(de)(de)擴散(san)傳(chuan)質行(xing)為(wei)有關。
根據菲克第一定律公式(2-178)可知(zhi),擴(kuo)散(san)系(xi)數(shu)D與溫度(du)T呈(cheng)反比關(guan)系(xi)。圖(tu)2-133為2MPa下M2C形成元素的擴(kuo)散(san)系(xi)數(shu)隨溫度(du)的變(bian)化(hua)關(guan)系(xi)。在凝固壓力不變(bian)時(shi),溫度(du)的降低(di)會顯著減小擴(kuo)散(san)系(xi)數(shu),在低(di)壓范圍內(nei),相(xiang)對(dui)于凝固壓力變(bian)化(hua),溫度(du)變(bian)化(hua)對(dui)擴(kuo)散(san)系(xi)數(shu)D具(ju)有(you)更明顯的影響。
增大(da)壓力具有顯著強化(hua)冷(leng)卻和減少鑄錠(ding)局部凝固時(shi)間(jian)(jian)的(de)(de)作用。由此可知,對于0.1MPa、1MPa和2MPa壓力下(xia)的(de)(de)鑄錠(ding)凝固過程(cheng),在相(xiang)同的(de)(de)凝固時(shi)間(jian)(jian)內,在較高壓力下(xia)凝固的(de)(de)鑄錠(ding)冷(leng)卻更快,溫度更低,其(qi)元(yuan)素擴散(san)系數則相(xiang)對較低,導致元(yuan)素擴散(san)速率(lv)減小,使得M2C共(gong)晶碳(tan)(tan)化(hua)物中釩、鎢、鉻和鉬元(yuan)素含量降低,碳(tan)(tan)化(hua)物間(jian)(jian)基體的(de)(de)合金(jin)元(yuan)素含量升(sheng)高,降低了(le)M2C碳(tan)(tan)化(hua)物和奧氏體γ相(xiang)之間(jian)(jian)的(de)(de)成分(fen)差(cha)異(yi)性,提高了(le)M42凝固組織成分(fen)的(de)(de)均勻性。

c. 碳化物形貌
M2C碳化物明顯(xian)具有(you)各向異性(xing)(xing)的(de)(de)生長方式,形貌(mao)具有(you)小(xiao)平(ping)面向的(de)(de)特性(xing)(xing)。共(gong)晶(jing)(jing)組織的(de)(de)形貌(mao)與共(gong)晶(jing)(jing)過(guo)程中(zhong)液(ye)/固(gu)界面結(jie)構有(you)密切聯系,金(jin)屬(shu)(shu)相-金(jin)屬(shu)(shu)碳化物相共(gong)晶(jing)(jing)屬(shu)(shu)于小(xiao)平(ping)面相-非小(xiao)平(ping)面相共(gong)晶(jing)(jing)[146].M2C是通過(guo)凝(ning)固(gu)末(mo)期枝(zhi)(zhi)晶(jing)(jing)間熔(rong)池里的(de)(de)共(gong)晶(jing)(jing)反M2C共(gong)晶(jing)(jing)碳化物形成(cheng)于凝(ning)固(gu)末(mo)期枝(zhi)(zhi)晶(jing)(jing)間殘余液(ye)相中(zhong),根據凝(ning)固(gu)原(yuan)理(li)。枝(zhi)(zhi)晶(jing)(jing)間殘余液(ye)相中(zhong)元素(su)含量明顯(xian)高于鑄錠標準含量。不(bu)同(tong)壓(ya)力下(xia)枝(zhi)(zhi)晶(jing)(jing)間液(ye)相中(zhong)各相出現(xian)(xian)的(de)(de)先后順序,如(ru)圖2-135所示,在不(bu)同(tong)壓(ya)力下(xia),M2C均(jun)領(ling)先奧(ao)氏體(ti)相γ出現(xian)(xian)。這(zhe)表(biao)明,在共(gong)晶(jing)(jing)反應L→y+M2C過(guo)程中(zhong),M2C是領(ling)先相。

在(zai)共(gong)晶凝固(gu)(gu)(gu)過(guo)程中(zhong),領先相(xiang)(xiang)M2C的(de)(de)(de)(de)(de)快(kuai)速(su)(su)生(sheng)(sheng)長方向(xiang)率(lv)(lv)(lv)先進(jin)(jin)入(ru)共(gong)生(sheng)(sheng)界面前方的(de)(de)(de)(de)(de)液體(ti)(ti)(ti)(ti)(ti)中(zhong),同(tong)時(shi)(shi)在(zai)其附近液層中(zhong)排出奧(ao)(ao)(ao)氏(shi)(shi)(shi)體(ti)(ti)(ti)(ti)(ti)形(xing)成(cheng)元(yuan)素;隨(sui)(sui)后奧(ao)(ao)(ao)氏(shi)(shi)(shi)體(ti)(ti)(ti)(ti)(ti)相(xiang)(xiang)γ則依靠此(ci)液層獲(huo)得(de)生(sheng)(sheng)長組元(yuan),跟(gen)隨(sui)(sui)著(zhu)M2C一起長大(da)(da)(da),同(tong)時(shi)(shi)也向(xiang)液層中(zhong)排出M2C形(xing)成(cheng)元(yuan)素,如圖(tu)2-136所(suo)示。隨(sui)(sui)著(zhu)凝固(gu)(gu)(gu)壓力的(de)(de)(de)(de)(de)增(zeng)(zeng)(zeng)大(da)(da)(da),凝固(gu)(gu)(gu)速(su)(su)率(lv)(lv)(lv)增(zeng)(zeng)(zeng)加,M2C相(xiang)(xiang)和奧(ao)(ao)(ao)氏(shi)(shi)(shi)體(ti)(ti)(ti)(ti)(ti)相(xiang)(xiang)γ的(de)(de)(de)(de)(de)生(sheng)(sheng)長速(su)(su)率(lv)(lv)(lv)均加快(kuai)。一方面,M2C碳化物相(xiang)(xiang)鄰間(jian)(jian)距(ju)隨(sui)(sui)壓力的(de)(de)(de)(de)(de)增(zeng)(zeng)(zeng)大(da)(da)(da)逐漸(jian)減(jian)小,即奧(ao)(ao)(ao)氏(shi)(shi)(shi)體(ti)(ti)(ti)(ti)(ti)相(xiang)(xiang)的(de)(de)(de)(de)(de)液/固(gu)(gu)(gu)界面變(bian)窄;另一方面,加壓使(shi)得(de)枝晶間(jian)(jian)殘余液相(xiang)(xiang)中(zhong)合金(jin)元(yuan)素沒有足夠時(shi)(shi)間(jian)(jian)進(jin)(jin)行充分擴散;導致(zhi)奧(ao)(ao)(ao)氏(shi)(shi)(shi)體(ti)(ti)(ti)(ti)(ti)相(xiang)(xiang)的(de)(de)(de)(de)(de)液/固(gu)(gu)(gu)界面前沿合金(jin)元(yuan)素濃(nong)度急劇(ju)增(zeng)(zeng)(zeng)大(da)(da)(da),成(cheng)分過(guo)冷加劇(ju),奧(ao)(ao)(ao)氏(shi)(shi)(shi)體(ti)(ti)(ti)(ti)(ti)相(xiang)(xiang)長大(da)(da)(da)速(su)(su)率(lv)(lv)(lv)進(jin)(jin)一步增(zeng)(zeng)(zeng)大(da)(da)(da),使(shi)得(de)M2C相(xiang)(xiang)與(yu)奧(ao)(ao)(ao)氏(shi)(shi)(shi)體(ti)(ti)(ti)(ti)(ti)相(xiang)(xiang)的(de)(de)(de)(de)(de)生(sheng)(sheng)長速(su)(su)率(lv)(lv)(lv)差逐漸(jian)縮小。此(ci)外,奧(ao)(ao)(ao)氏(shi)(shi)(shi)體(ti)(ti)(ti)(ti)(ti)相(xiang)(xiang)作為非(fei)小平面相(xiang)(xiang),其生(sheng)(sheng)長所(suo)需過(guo)冷度遠小于小平面相(xiang)(xiang)的(de)(de)(de)(de)(de)M2C碳化物,使(shi)得(de)在(zai)凝固(gu)(gu)(gu)速(su)(su)率(lv)(lv)(lv)增(zeng)(zeng)(zeng)大(da)(da)(da)的(de)(de)(de)(de)(de)過(guo)程中(zhong)奧(ao)(ao)(ao)氏(shi)(shi)(shi)體(ti)(ti)(ti)(ti)(ti)相(xiang)(xiang)的(de)(de)(de)(de)(de)生(sheng)(sheng)長速(su)(su)率(lv)(lv)(lv)增(zeng)(zeng)(zeng)量大(da)(da)(da)于M2C碳化物相(xiang)(xiang)的(de)(de)(de)(de)(de)生(sheng)(sheng)長速(su)(su)率(lv)(lv)(lv)增(zeng)(zeng)(zeng)量。因此(ci),隨(sui)(sui)著(zhu)壓力的(de)(de)(de)(de)(de)增(zeng)(zeng)(zeng)大(da)(da)(da),枝晶間(jian)(jian)共(gong)晶組織中(zhong)奧(ao)(ao)(ao)氏(shi)(shi)(shi)體(ti)(ti)(ti)(ti)(ti)相(xiang)(xiang)γ的(de)(de)(de)(de)(de)含(han)量相(xiang)(xiang)對(dui)增(zeng)(zeng)(zeng)多,使(shi)得(de)M2C碳化物的(de)(de)(de)(de)(de)生(sheng)(sheng)長空間(jian)(jian)受到“排擠”,含(han)量相(xiang)(xiang)對(dui)減(jian)少,最終M2C碳化物逐漸(jian)呈現出被奧(ao)(ao)(ao)氏(shi)(shi)(shi)體(ti)(ti)(ti)(ti)(ti)相(xiang)(xiang)γ“截斷”進(jin)(jin)而變(bian)短的(de)(de)(de)(de)(de)形(xing)貌,如圖(tu)2-134所(suo)示。

四(si)、夾雜物分布
夾雜(za)物(wu)是(shi)影響鋼(gang)錠(ding)質量的(de)一個(ge)重要因素。鋼(gang)中(zhong)夾雜(za)物(wu)主要包括冶煉過(guo)程(cheng)中(zhong)進(jin)行(xing)脫氧處理形成(cheng)的(de)脫氧產物(wu)、凝固過(guo)程(cheng)元素溶解度下降形成(cheng)的(de)氧化物(wu)、氮(dan)化物(wu)、硫化物(wu)等化合(he)物(wu)以(yi)及爐渣和由(you)于沖刷而(er)進(jin)入鋼(gang)液的(de)耐火材料。
根據(ju)夾(jia)(jia)(jia)雜(za)(za)(za)(za)物(wu)(wu)(wu)(wu)的(de)(de)(de)(de)來源(yuan),可以(yi)將(jiang)鋼(gang)(gang)中的(de)(de)(de)(de)夾(jia)(jia)(jia)雜(za)(za)(za)(za)物(wu)(wu)(wu)(wu)分(fen)(fen)為兩類:①外(wai)生(sheng)夾(jia)(jia)(jia)雜(za)(za)(za)(za)物(wu)(wu)(wu)(wu)。外(wai)生(sheng)夾(jia)(jia)(jia)雜(za)(za)(za)(za)物(wu)(wu)(wu)(wu)大部(bu)分(fen)(fen)為復(fu)合(he)氧化物(wu)(wu)(wu)(wu)夾(jia)(jia)(jia)雜(za)(za)(za)(za),主要(yao)是由(you)于鋼(gang)(gang)液接觸空氣生(sheng)成氧化物(wu)(wu)(wu)(wu)以(yi)及進入鋼(gang)(gang)液的(de)(de)(de)(de)爐渣、耐火材料組(zu)成。外(wai)生(sheng)夾(jia)(jia)(jia)雜(za)(za)(za)(za)物(wu)(wu)(wu)(wu)外(wai)形(xing)不(bu)規則、尺(chi)寸大、構成復(fu)雜(za)(za)(za)(za),常常位于鋼(gang)(gang)的(de)(de)(de)(de)表層,具(ju)有(you)嚴重的(de)(de)(de)(de)危(wei)害性。②內(nei)生(sheng)夾(jia)(jia)(jia)雜(za)(za)(za)(za)物(wu)(wu)(wu)(wu)。內(nei)生(sheng)夾(jia)(jia)(jia)雜(za)(za)(za)(za)物(wu)(wu)(wu)(wu)是由(you)于脫氧、鋼(gang)(gang)水鈣處理等物(wu)(wu)(wu)(wu)化反應(ying)而形(xing)成的(de)(de)(de)(de)夾(jia)(jia)(jia)雜(za)(za)(za)(za)物(wu)(wu)(wu)(wu)。內(nei)生(sheng)夾(jia)(jia)(jia)雜(za)(za)(za)(za)物(wu)(wu)(wu)(wu)在鋼(gang)(gang)液中數量較多,分(fen)(fen)布均勻,顆粒細小。由(you)于形(xing)成時間(jian)不(bu)同,內(nei)生(sheng)夾(jia)(jia)(jia)雜(za)(za)(za)(za)物(wu)(wu)(wu)(wu)可分(fen)(fen)為:鋼(gang)(gang)液脫氧時期(qi)生(sheng)成的(de)(de)(de)(de)氧化物(wu)(wu)(wu)(wu),也稱為原生(sheng)夾(jia)(jia)(jia)雜(za)(za)(za)(za)物(wu)(wu)(wu)(wu)或一次(ci)夾(jia)(jia)(jia)雜(za)(za)(za)(za)物(wu)(wu)(wu)(wu);溫度(du)降低造成化學反應(ying)平(ping)衡的(de)(de)(de)(de)移動進而析出(chu)二次(ci)夾(jia)(jia)(jia)雜(za)(za)(za)(za)物(wu)(wu)(wu)(wu);由(you)于溶(rong)質元素偏(pian)析和溶(rong)解度(du)變化而析出(chu)的(de)(de)(de)(de)三次(ci)夾(jia)(jia)(jia)雜(za)(za)(za)(za)物(wu)(wu)(wu)(wu)甚至四次(ci)夾(jia)(jia)(jia)雜(za)(za)(za)(za)物(wu)(wu)(wu)(wu)。
夾(jia)(jia)(jia)雜物(wu)(wu)(wu)作(zuo)為凝(ning)(ning)固組織的(de)(de)重要(yao)(yao)組成部(bu)分(fen),其(qi)特(te)性至關重要(yao)(yao),對(dui)于(yu)進一(yi)步揭示加(jia)(jia)(jia)壓(ya)冶(ye)金(jin)的(de)(de)優(you)勢十分(fen)關鍵(jian)。非金(jin)屬夾(jia)(jia)(jia)雜物(wu)(wu)(wu)的(de)(de)特(te)性(數量、尺寸和(he)(he)(he)分(fen)布等)對(dui)鋼(gang)的(de)(de)性能(neng)(neng)(力(li)(li)(li)學性能(neng)(neng)和(he)(he)(he)腐(fu)蝕等)有(you)重要(yao)(yao)影(ying)響(xiang)(xiang)。同時,改(gai)(gai)善鋼(gang)中夾(jia)(jia)(jia)雜物(wu)(wu)(wu)的(de)(de)分(fen)布情況(kuang)并盡(jin)可(ke)能(neng)(neng)徹底地去除非金(jin)屬夾(jia)(jia)(jia)雜物(wu)(wu)(wu)可(ke)以有(you)效地減(jian)少缺陷和(he)(he)(he)提(ti)高(gao)性能(neng)(neng)。為了改(gai)(gai)善夾(jia)(jia)(jia)雜物(wu)(wu)(wu)的(de)(de)分(fen)布,施加(jia)(jia)(jia)在(zai)(zai)夾(jia)(jia)(jia)雜物(wu)(wu)(wu)上的(de)(de)力(li)(li)(li)包(bao)括重力(li)(li)(li)、浮力(li)(li)(li)、曳力(li)(li)(li),附加(jia)(jia)(jia)質(zhi)量力(li)(li)(li)、升力(li)(li)(li)和(he)(he)(he)反彈力(li)(li)(li)等起著關鍵(jian)作(zuo)用。這(zhe)些(xie)力(li)(li)(li)主要(yao)(yao)是通過(guo)溫度、流場(chang)(chang)(chang)(chang)、重力(li)(li)(li)場(chang)(chang)(chang)(chang)和(he)(he)(he)電(dian)磁場(chang)(chang)(chang)(chang)等物(wu)(wu)(wu)理(li)場(chang)(chang)(chang)(chang)來確定。因(yin)(yin)此,可(ke)以通過(guo)采取(qu)一(yi)系列措施優(you)化物(wu)(wu)(wu)理(li)場(chang)(chang)(chang)(chang)來改(gai)(gai)善夾(jia)(jia)(jia)雜物(wu)(wu)(wu)分(fen)布。例(li)如,鋼(gang)包(bao)中使用的(de)(de)氣體(ti)攪拌(ban)、連鑄(zhu)過(guo)程(cheng)中添加(jia)(jia)(jia)磁場(chang)(chang)(chang)(chang)。對(dui)于(yu)加(jia)(jia)(jia)壓(ya)冶(ye)金(jin),壓(ya)力(li)(li)(li)是關鍵(jian)因(yin)(yin)素(su)。目前,已(yi)經證實加(jia)(jia)(jia)壓(ya)會在(zai)(zai)各個方面影(ying)響(xiang)(xiang)凝(ning)(ning)固過(guo)程(cheng)中的(de)(de)物(wu)(wu)(wu)理(li)場(chang)(chang)(chang)(chang),包(bao)括加(jia)(jia)(jia)壓(ya)通過(guo)加(jia)(jia)(jia)快(kuai)鑄(zhu)錠的(de)(de)冷(leng)卻速率和(he)(he)(he)加(jia)(jia)(jia)強(qiang)鑄(zhu)錠與(yu)鑄(zhu)模之間的(de)(de)熱交換來改(gai)(gai)變溫度場(chang)(chang)(chang)(chang),通過(guo)改(gai)(gai)變糊狀區(qu)域的(de)(de)大(da)小和(he)(he)(he)枝晶結構影(ying)響(xiang)(xiang)流場(chang)(chang)(chang)(chang)等。
因此,可以認為在凝固(gu)過程(cheng)中壓力(li)具有改變(bian)夾(jia)(jia)雜(za)物分布的能力(li),并(bing)且壓力(li)對夾(jia)(jia)雜(za)物分布的影(ying)響(xiang)機制非常(chang)復雜(za),然而,關于加壓對夾(jia)(jia)雜(za)物分布變(bian)化(hua)的影(ying)響(xiang)研究相(xiang)對較少。這表明(ming)加壓對凝固(gu)組(zu)織(zhi)的影(ying)響(xiang)機理(li)尚未全面(mian)闡明(ming)。
1. 夾(jia)雜物分(fen)布分(fen)析模(mo)型
在實(shi)際凝(ning)固過(guo)程中,夾(jia)(jia)(jia)雜物的(de)(de)(de)受力情況、運動(dong)軌跡(ji)很難通過(guo)實(shi)驗(yan)(yan)進(jin)行測(ce)量。數值模(mo)擬提供了(le)一(yi)種可(ke)以深(shen)入了(le)解某些無法通過(guo)實(shi)驗(yan)(yan)評估的(de)(de)(de)現(xian)象(xiang)的(de)(de)(de)方(fang)法。這些現(xian)象(xiang)包(bao)括夾(jia)(jia)(jia)雜物的(de)(de)(de)運動(dong)軌跡(ji),作用于(yu)夾(jia)(jia)(jia)雜物的(de)(de)(de)力和(he)夾(jia)(jia)(jia)雜物的(de)(de)(de)速度等。根據電(dian)渣、連(lian)鑄和(he)鋼包(bao)精煉等過(guo)程中的(de)(de)(de)相關研究,數值模(mo)擬是一(yi)種非常有效的(de)(de)(de)研究夾(jia)(jia)(jia)雜物運動(dong)行為的(de)(de)(de)方(fang)法。
鋼液(ye)凝固(gu)過程涉(she)及熱(re)量傳(chuan)遞、質量傳(chuan)輸(shu)、動量傳(chuan)輸(shu)、相(xiang)(xiang)轉(zhuan)變(bian)和(he)晶粒(li)形核長大等一系列復雜的物理化學現象,同時存在金屬固(gu)相(xiang)(xiang)、金屬液(ye)相(xiang)(xiang)、氣相(xiang)(xiang)和(he)夾雜物相(xiang)(xiang)等多個(ge)相(xiang)(xiang)之(zhi)間(jian)的相(xiang)(xiang)互作用,適合應用歐拉(la)多項流模(mo)型進行計(ji)算求解。其中,根據對夾雜物運(yun)動行為處理方(fang)式,夾雜物分(fen)布分(fen)析模(mo)型可以分(fen)為歐拉(la)-拉(la)格朗日模(mo)型和(he)歐拉(la)-歐拉(la)模(mo)型。
a. 歐(ou)拉-拉格朗日(ri)模型歐(ou)拉-
拉(la)(la)格朗(lang)日離散(san)(san)(san)相(xiang)(xiang)模(mo)型(xing)(xing)是在歐(ou)拉(la)(la)模(mo)型(xing)(xing)的(de)基(ji)礎上(shang),將夾(jia)雜物(wu)相(xiang)(xiang)處(chu)(chu)理成離散(san)(san)(san)相(xiang)(xiang),而流體相(xiang)(xiang)處(chu)(chu)理為連(lian)續相(xiang)(xiang)。根據球型(xing)(xing)夾(jia)雜物(wu)的(de)受力分析(xi),基(ji)于牛(niu)頓第二定(ding)律,建立(li)夾(jia)雜物(wu)運(yun)動(dong)模(mo)型(xing)(xing),并(bing)與(yu)鋼液凝固(gu)模(mo)型(xing)(xing)耦合(he),從而模(mo)擬夾(jia)雜物(wu)在凝固(gu)過程運(yun)動(dong)行為。該模(mo)型(xing)(xing)可以跟蹤(zong)每個夾(jia)雜物(wu)顆粒并(bing)獲得(de)其速度、運(yun)動(dong)軌跡以及夾(jia)雜物(wu)去除(chu)過程中的(de)動(dong)力學行為。此(ci)外,該模(mo)型(xing)(xing)是基(ji)于離散(san)(san)(san)相(xiang)(xiang)體積比例相(xiang)(xiang)對較低(di)的(de)基(ji)本假設而建立(li)。
夾雜物在鋼液(ye)中的(de)運動(dong)(dong),主(zhu)要是各(ge)種力(li)(li)(li)的(de)共同(tong)作(zuo)用造(zao)成(cheng)的(de)。夾雜物在鋼液(ye)中受(shou)力(li)(li)(li)情況如(ru)圖2-137所示。可以看出,夾雜物顆(ke)粒受(shou)到主(zhu)要作(zuo)用力(li)(li)(li)分別(bie)為:由于顆(ke)粒自身性質引起(qi)的(de)力(li)(li)(li),如(ru)重(zhong)力(li)(li)(li)、浮力(li)(li)(li)等(deng);由于顆(ke)粒與流體之間存在相對運動(dong)(dong)而產(chan)生的(de)力(li)(li)(li),如(ru)升力(li)(li)(li)(Saffman)、附加質量力(li)(li)(li)、曳力(li)(li)(li)和Magnus力(li)(li)(li)等(deng);細小(xiao)夾雜物在高溫條件下受(shou)的(de)布朗(lang)(Brown)力(li)(li)(li)等(deng)。
(1)曳(ye)力。
在(zai)鋼液流(liu)場(chang)內(nei)黏(nian)性(xing)(xing)流(liu)體與(yu)顆(ke)(ke)粒(li)(li)之間存(cun)在(zai)相對運動,由黏(nian)性(xing)(xing)流(liu)體施加的曳力使得夾雜物顆(ke)(ke)粒(li)(li)趨向于跟隨流(liu)體運動。曳力是(shi)夾雜物顆(ke)(ke)粒(li)(li)在(zai)凝(ning)固過程中的主要受(shou)力之一。計算公式如下:

(2)浮力和(he)重力。
在豎直(zhi)方向上(shang),夾雜(za)物顆粒受(shou)到與(yu)相對運動無關的(de)力(li),包括重力(li)和浮力(li),其

(3)附加質量(liang)力。
當鋼(gang)液與夾雜(za)物(wu)顆粒(li)存在相對運(yun)動(dong)(dong)時(shi),夾雜(za)物(wu)顆粒(li)會帶動(dong)(dong)其附近的部(bu)分(fen)鋼(gang)液做加速運(yun)動(dong)(dong),此時(shi)推動(dong)(dong)夾雜(za)物(wu)顆粒(li)運(yun)動(dong)(dong)的力(li)大于其顆粒(li)本(ben)身(shen)慣性(xing)力(li),這部(bu)分(fen)大于夾雜(za)物(wu)顆粒(li)本(ben)身(shen)慣性(xing)力(li)的力(li)即(ji)為(wei)附加質量力(li)。其計算公式為(wei)

通過(guo)(guo)運用歐(ou)拉-拉格朗(lang)日模型對鋼液凝固過(guo)(guo)程進行模擬計算時,可以(yi)得出隨(sui)著溫度場和流場的(de)變(bian)化,每(mei)個球形夾(jia)雜物顆粒在鋼液中(zhong)的(de)運動軌跡和分布。
b. 歐(ou)拉-歐(ou)拉模型
拉(la)格(ge)朗日(ri)(ri)(ri)模(mo)(mo)型(xing)是研究夾(jia)雜(za)物(wu)顆(ke)粒在鋼液中運(yun)動(dong)行為主要的(de)方(fang)(fang)法,但在實(shi)際的(de)應用中存在一(yi)些不足(zu),例如,拉(la)格(ge)朗日(ri)(ri)(ri)模(mo)(mo)型(xing)是針對單一(yi)粒子進(jin)(jin)行計算,當同(tong)時追蹤多個粒子時,計算量(liang)過大,難(nan)以進(jin)(jin)行。相(xiang)較于拉(la)格(ge)朗日(ri)(ri)(ri)模(mo)(mo)型(xing),歐拉(la)-歐拉(la)模(mo)(mo)型(xing)中夾(jia)雜(za)物(wu)相(xiang)的(de)控制方(fang)(fang)程與流體連(lian)續相(xiang)的(de)控制方(fang)(fang)程相(xiang)似,運(yun)算相(xiang)對高效,能夠同(tong)時描述多種夾(jia)雜(za)物(wu)顆(ke)粒在凝固過程中的(de)分布(bu)特征。歐拉(la)-歐拉(la)模(mo)(mo)型(xing)與歐拉(la)-拉(la)格(ge)朗日(ri)(ri)(ri)模(mo)(mo)型(xing)相(xiang)比,主要差別是夾(jia)雜(za)物(wu)相(xiang)的(de)動(dong)量(liang)方(fang)(fang)程存在差別,歐拉(la)-歐拉(la)模(mo)(mo)型(xing)的(de)夾(jia)雜(za)物(wu)動(dong)量(liang)方(fang)(fang)程表達式為

2. 模鑄(zhu)過程中夾(jia)雜物的受力分(fen)析
模鑄(zhu)過(guo)程中,夾雜物所受作用(yong)力(li)(li)包括熱(re)浮力(li)(li)、重力(li)(li)、附(fu)加(jia)質量力(li)(li)、升(sheng)力(li)(li)以(yi)及相間作用(yong)力(li)(li)等,具體受力(li)(li)情況(kuang)如圖2-138所示。

流(liu)場(chang)對(dui)夾(jia)雜(za)(za)(za)(za)物(wu)(wu)的(de)(de)(de)(de)(de)分布有關鍵影響,這直(zhi)接歸(gui)因(yin)于(yu)作(zuo)用(yong)(yong)于(yu)夾(jia)雜(za)(za)(za)(za)物(wu)(wu)的(de)(de)(de)(de)(de)阻力(li)(li)(li)(li)。以0.1MPa下H13鑄錠凝(ning)固(gu)(gu)為例(li),鋼(gang)液(ye)、夾(jia)雜(za)(za)(za)(za)物(wu)(wu)和(he)等軸晶的(de)(de)(de)(de)(de)流(liu)場(chang)和(he)速率均顯示(shi)(shi)在(zai)圖(tu)(tu)2-139中(zhong)(zhong)。隨著凝(ning)固(gu)(gu)的(de)(de)(de)(de)(de)進(jin)行(xing),鋼(gang)液(ye)受熱浮(fu)力(li)(li)(li)(li)的(de)(de)(de)(de)(de)驅動(dong)(dong)逆時(shi)針(zhen)運(yun)動(dong)(dong),如(ru)圖(tu)(tu)2-139(a)所示(shi)(shi)。同時(shi),隨著重力(li)(li)(li)(li)和(he)浮(fu)力(li)(li)(li)(li)合(he)力(li)(li)(li)(li)的(de)(de)(de)(de)(de)增加,等軸晶的(de)(de)(de)(de)(de)沉降(jiang)連續發(fa)生在(zai)柱狀晶(tip)的(de)(de)(de)(de)(de)尖端(duan),如(ru)圖(tu)(tu)2-139(b)所示(shi)(shi)。如(ru)圖(tu)(tu)2-139(c)所示(shi)(shi),夾(jia)雜(za)(za)(za)(za)物(wu)(wu)流(liu)場(chang)中(zhong)(zhong)出現逆時(shi)針(zhen)運(yun)動(dong)(dong),與鋼(gang)液(ye)相似(si)。這種運(yun)動(dong)(dong)行(xing)為主要是由作(zuo)用(yong)(yong)在(zai)夾(jia)雜(za)(za)(za)(za)物(wu)(wu)上的(de)(de)(de)(de)(de)合(he)力(li)(li)(li)(li)引(yin)起(qi)的(de)(de)(de)(de)(de)。根(gen)據(ju)模擬結(jie)果,凝(ning)固(gu)(gu)過(guo)程中(zhong)(zhong)重力(li)(li)(li)(li),浮(fu)力(li)(li)(li)(li)和(he)阻力(li)(li)(li)(li)在(zai)改變夾(jia)雜(za)(za)(za)(za)物(wu)(wu)的(de)(de)(de)(de)(de)運(yun)動(dong)(dong)行(xing)為中(zhong)(zhong)起(qi)著關鍵作(zuo)用(yong)(yong),因(yin)為它們比附加質量(liang)(liang)力(li)(li)(li)(li)和(he)升力(li)(li)(li)(li)大了三個數量(liang)(liang)級。重力(li)(li)(li)(li)和(he)浮(fu)力(li)(li)(li)(li)的(de)(de)(de)(de)(de)方(fang)向(xiang)(xiang)均為垂(chui)直(zhi)方(fang)向(xiang)(xiang),因(yin)為夾(jia)雜(za)(za)(za)(za)物(wu)(wu)的(de)(de)(de)(de)(de)密度(du)低(di)于(yu)液(ye)體的(de)(de)(de)(de)(de)密度(du),故其合(he)力(li)(li)(li)(li)Fbg的(de)(de)(de)(de)(de)方(fang)向(xiang)(xiang)垂(chui)直(zhi)向(xiang)(xiang)上,如(ru)圖(tu)(tu)2-139(d)所示(shi)(shi)。

在(zai)(zai)整個凝固(gu)過程中(zhong)(zhong),Fbg保(bao)持(chi)不變(bian),并使(shi)夾(jia)(jia)雜(za)(za)(za)(za)物(wu)(wu)(wu)上浮。相(xiang)比之(zhi)(zhi)下,曳(ye)(ye)力Fdp是(shi)向(xiang)下的(de)(de)(de)力,具有驅動(dong)(dong)夾(jia)(jia)雜(za)(za)(za)(za)物(wu)(wu)(wu)向(xiang)下沉的(de)(de)(de)能力。并且其變(bian)化是(shi)復雜(za)(za)(za)(za)的(de)(de)(de)。根據等式(2-204)可知,曳(ye)(ye)力與(yu)鋼液和(he)夾(jia)(jia)雜(za)(za)(za)(za)物(wu)(wu)(wu)之(zhi)(zhi)間的(de)(de)(de)速度(du)差密切相(xiang)關。在(zai)(zai)頂部和(he)底部,鋼液和(he)夾(jia)(jia)雜(za)(za)(za)(za)物(wu)(wu)(wu)速度(du)差很(hen)小,與(yu)Fbg相(xiang)比,Fdp可以(yi)忽(hu)略(lve)不計。在(zai)(zai)柱狀(zhuang)晶尖(jian)端(duan)附近的(de)(de)(de)曳(ye)(ye)力Fdp大于Fbg,是(shi)導(dao)致夾(jia)(jia)雜(za)(za)(za)(za)物(wu)(wu)(wu)下沉的(de)(de)(de)關鍵(jian)因(yin)素。在(zai)(zai)鑄(zhu)錠的(de)(de)(de)中(zhong)(zhong)心,Fdp小于Fbg,Fbg占主導(dao),促使(shi)夾(jia)(jia)雜(za)(za)(za)(za)物(wu)(wu)(wu)上浮。因(yin)此,模鑄(zhu)過程中(zhong)(zhong)夾(jia)(jia)雜(za)(za)(za)(za)物(wu)(wu)(wu)形成逆時(shi)針運動(dong)(dong),這(zhe)主要是(shi)由重力、浮力和(he)曳(ye)(ye)力的(de)(de)(de)綜合作用所驅動(dong)(dong)。
3. 模鑄過程中壓力對夾雜(za)物分布的影(ying)響
利用(yong)歐拉-歐拉模(mo)型(xing)在(zai)0.1MPa、1MPa和(he)2MPa下獲(huo)得(de)了H13鑄(zhu)(zhu)錠夾(jia)雜(za)(za)(za)物(wu)體積分數的(de)等值線,如(ru)圖(tu)2-140所(suo)示(shi)。每個鑄(zhu)(zhu)錠中都存(cun)在(zai)三個主要(yao)的(de)夾(jia)雜(za)(za)(za)物(wu)富集(ji)(ji)區(qu)(qu)(qu)(qu)(I、和(he)III),其中,II區(qu)(qu)(qu)(qu)夾(jia)雜(za)(za)(za)物(wu)的(de)富集(ji)(ji)度(du)最(zui)低(di),III區(qu)(qu)(qu)(qu)的(de)夾(jia)雜(za)(za)(za)物(wu)富集(ji)(ji)度(du)最(zui)高,I區(qu)(qu)(qu)(qu)次之(zhi)。三個夾(jia)雜(za)(za)(za)物(wu)富集(ji)(ji)區(qu)(qu)(qu)(qu)域主要(yao)由夾(jia)雜(za)(za)(za)物(wu)逆時(shi)針(zhen)(zhen)運(yun)(yun)動以(yi)及(ji)被糊(hu)狀(zhuang)(zhuang)區(qu)(qu)(qu)(qu)捕集(ji)(ji)的(de)綜合作用(yong)所(suo)導致。以(yi)0.1MPa 壓力(li)下夾(jia)雜(za)(za)(za)物(wu)分布為(wei)例,遠(yuan)離糊(hu)狀(zhuang)(zhuang)區(qu)(qu)(qu)(qu)的(de)夾(jia)雜(za)(za)(za)物(wu)在(zai)逆時(shi)針(zhen)(zhen)運(yun)(yun)動過程(cheng)中逐(zhu)漸上浮(fu)并富集(ji)(ji)到鑄(zhu)(zhu)錠頂(ding)部(bu),如(ru)圖(tu) 2-140(c)所(suo)示(shi)。鑄(zhu)(zhu)錠頂(ding)部(bu)富集(ji)(ji)的(de)夾(jia)雜(za)(za)(za)物(wu)一部(bu)分被糊(hu)狀(zhuang)(zhuang)區(qu)(qu)(qu)(qu)捕獲(huo),形成(cheng)(cheng)了I區(qu)(qu)(qu)(qu),其余部(bu)分沿逆時(shi)針(zhen)(zhen)方(fang)向(xiang)(xiang)(xiang)移(yi)動,運(yun)(yun)動方(fang)向(xiang)(xiang)(xiang)幾(ji)乎垂直(zhi)于糊(hu)狀(zhuang)(zhuang)區(qu)(qu)(qu)(qu)法向(xiang)(xiang)(xiang)量(liang)。與(yu)之(zhi)相比,在(zai)II和(he)III區(qu)(qu)(qu)(qu)域內(nei),夾(jia)雜(za)(za)(za)物(wu)運(yun)(yun)動方(fang)向(xiang)(xiang)(xiang)與(yu)糊(hu)狀(zhuang)(zhuang)區(qu)(qu)(qu)(qu)法向(xiang)(xiang)(xiang)量(liang)成(cheng)(cheng)鈍(dun)角,因而夾(jia)雜(za)(za)(za)物(wu)更加趨向(xiang)(xiang)(xiang)于被II和(he)III區(qu)(qu)(qu)(qu)域內(nei)糊(hu)狀(zhuang)(zhuang)區(qu)(qu)(qu)(qu)所(suo)捕獲(huo),如(ru)圖(tu)2-141所(suo)示(shi),導致夾(jia)雜(za)(za)(za)物(wu)富集(ji)(ji)區(qu)(qu)(qu)(qu)II和(he)III的(de)形成(cheng)(cheng)。同時(shi),III區(qu)(qu)(qu)(qu)夾(jia)雜(za)(za)(za)物(wu)的(de)富集(ji)(ji)程(cheng)度(du)最(zui)高,原(yuan)因是(shi)糊(hu)狀(zhuang)(zhuang)區(qu)(qu)(qu)(qu)較寬,糊(hu)狀(zhuang)(zhuang)區(qu)(qu)(qu)(qu)夾(jia)雜(za)(za)(za)物(wu)捕獲(huo)能力(li)越強,富集(ji)(ji)趨勢更明顯。

隨(sui)著壓力(li)從0.1MPa增(zeng)加到(dao)2MPa,I、II和(he)III區夾(jia)雜物的(de)富集度降低,如2-140(b)所(suo)示(shi),夾(jia)雜物體積分數的(de)最大增(zeng)量 4max隨(sui)壓力(li)的(de)增(zeng)加而減小,在0.1MPa、1MPa和(he)2MPa下分別為(wei)4.1x10-5、3.5x10-5和(he)1.8x10-5,表明隨(sui)著凝固壓力(li)增(zeng)加至(zhi)2MPa,鑄(zhu)錠中夾(jia)雜物分布更(geng)加均(jun)勻。
糊(hu)(hu)狀(zhuang)區(qu)(qu)(qu)捕(bu)獲(huo)夾雜(za)(za)(za)物和夾雜(za)(za)(za)物從(cong)糊(hu)(hu)狀(zhuang)區(qu)(qu)(qu)逃脫的(de)(de)(de)能(neng)力(li)(li)對夾雜(za)(za)(za)物分(fen)布至關重要(yao)。結合(he)液(ye)相線/固(gu)相線溫(wen)度(du)(du)(du)隨壓(ya)(ya)(ya)(ya)力(li)(li)的(de)(de)(de)變化(hua)規律可知,凝(ning)(ning)固(gu)區(qu)(qu)(qu)間變化(hua)很小(xiao)(xiao),當壓(ya)(ya)(ya)(ya)力(li)(li)從(cong)0.1MPa增(zeng)加到2MPa時(shi)(shi)可以(yi)忽略不計。因(yin)此(ci),糊(hu)(hu)狀(zhuang)區(qu)(qu)(qu)寬(kuan)度(du)(du)(du)主(zhu)要(yao)由(you)溫(wen)度(du)(du)(du)梯度(du)(du)(du)決定。如圖2-142(b)所(suo)示,由(you)于增(zeng)加壓(ya)(ya)(ya)(ya)力(li)(li)后提高了(le)冷卻速率導致(zhi)高壓(ya)(ya)(ya)(ya)下溫(wen)度(du)(du)(du)梯度(du)(du)(du)更大(da)。在較(jiao)高壓(ya)(ya)(ya)(ya)力(li)(li)下,糊(hu)(hu)狀(zhuang)區(qu)(qu)(qu)域的(de)(de)(de)長(chang)度(du)(du)(du)變短[150].另外,以(yi)圖2-142(a)中(zhong)的(de)(de)(de)A點為例,凝(ning)(ning)固(gu)時(shi)(shi)間隨壓(ya)(ya)(ya)(ya)力(li)(li)的(de)(de)(de)增(zeng)加而(er)顯著減少,在0.1MPa、1MPa和2MPa下分(fen)別(bie)為292s、272s和247s,凝(ning)(ning)固(gu)速率隨壓(ya)(ya)(ya)(ya)力(li)(li)的(de)(de)(de)增(zeng)加而(er)增(zeng)加。進而(er)表明,在較(jiao)高的(de)(de)(de)凝(ning)(ning)固(gu)壓(ya)(ya)(ya)(ya)力(li)(li)下糊(hu)(hu)狀(zhuang)區(qu)(qu)(qu)的(de)(de)(de)長(chang)度(du)(du)(du)較(jiao)小(xiao)(xiao)且凝(ning)(ning)固(gu)速率較(jiao)高,因(yin)此(ci)糊(hu)(hu)狀(zhuang)區(qu)(qu)(qu)捕(bu)獲(huo)夾雜(za)(za)(za)物的(de)(de)(de)能(neng)力(li)(li)變弱。

A、B和(he)(he)C點夾(jia)(jia)雜(za)物(wu)速度(du)隨液(ye)相(xiang)體(ti)積(ji)(ji)分數的(de)(de)變(bian)化如圖(tu)2-143所示。高溫度(du)梯度(du)通過(guo)增(zeng)大(da)熱(re)浮力來強(qiang)化鋼液(ye)對(dui)流。另(ling)外,研究了糊狀區中(zhong)夾(jia)(jia)雜(za)物(wu)的(de)(de)速度(du)隨曳力改的(de)(de)相(xiang)應變(bian)化。凝固(gu)初期(qi)(qi),糊狀區中(zhong)的(de)(de)夾(jia)(jia)雜(za)物(wu)運(yun)動速度(du)隨著壓(ya)力的(de)(de)增(zeng)加(jia)(jia)(jia)而(er)增(zeng)大(da),在(zai)凝固(gu)后期(qi)(qi),糊狀區內夾(jia)(jia)雜(za)物(wu)幾乎完全停止(zhi)運(yun)動時液(ye)相(xiang)體(ti)積(ji)(ji)分數隨著壓(ya)力的(de)(de)增(zeng)加(jia)(jia)(jia)而(er)降(jiang)低。以點A為例,凝固(gu)初期(qi)(qi)(f=0.98),在(zai)0.1MPa、1MPa和(he)(he)2MPa下(xia)夾(jia)(jia)雜(za)物(wu)速度(du)分別為1.06×10-3m/s、1.19×10-3m/s和(he)(he)1.52×10-3m/s.當糊狀區夾(jia)(jia)雜(za)物(wu)的(de)(de)速度(du)降(jiang)低到5x10-5m/s時,0.1MPa、1MPa和(he)(he)2MPa下(xia)的(de)(de)液(ye)相(xiang)體(ti)積(ji)(ji)分數分別為0.74、0.68和(he)(he)0.62.這(zhe)意味著夾(jia)(jia)雜(za)物(wu)從糊狀區逸出的(de)(de)能力隨壓(ya)力增(zeng)加(jia)(jia)(jia)而(er)增(zeng)強(qiang)。

綜上所述,增(zeng)加(jia)壓(ya)力(li)可以顯著抑制糊狀區(qu)中(zhong)夾(jia)(jia)雜(za)物的(de)富集,并通(tong)過降低糊狀區(qu)捕(bu)獲夾(jia)(jia)雜(za)物的(de)能力(li),提高夾(jia)(jia)雜(za)物從(cong)糊狀區(qu)中(zhong)逸出(chu)的(de)能力(li),使鑄錠內夾(jia)(jia)雜(za)物分(fen)布更加(jia)均(jun)勻。

