金(jin)屬(shu)在(zai)大氣(qi)中會(hui)自發(fa)進行氧化(hua),隨著(zhu)溫度增高(gao)(gao),大氣(qi)中水分(fen)蒸(zheng)發(fa),濕腐蝕(shi)變成干腐蝕(shi),腐蝕(shi)更嚴重(zhong)(zhong),在(zai)工(gong)業中成為重(zhong)(zhong)要問題。如(ru)高(gao)(gao)溫石油(you)化(hua)工(gong)管道等都存在(zai)高(gao)(gao)溫氧化(hua)問題。在(zai)高(gao)(gao)溫下金(jin)屬(shu)表面產(chan)生一(yi)層(ceng)氧化(hua)膜。Pilling和Bedworth曾指(zhi)出,抗氧化(hua)性和氧化(hua)物與金(jin)屬(shu)的體積比(bi)有(you)關。如(ru)用(yong)R表示單位體積,則:

當R<1時,氧化(hua)物不能覆蓋金屬表面,因而沒(mei)有保(bao)護(hu)性;當R>1時,氧化(hua)物中(zhong)將產(chan)生較大的(de)(de)應力,膜易破裂脫落(luo),保(bao)護(hu)性不好。理想的(de)(de)比值應接(jie)近1。此(ci)外,保(bao)護(hu)性高的(de)(de)膜還應具有高熔點(dian),低(di)蒸氣壓,膨脹系(xi)數與(yu)金屬接(jie)近,良好的(de)(de)抗破裂高溫塑性,低(di)電(dian)導率,對金屬離子和氧的(de)(de)擴散系(xi)數低(di)等(deng)。
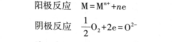
金屬的高溫氣(qi)體腐蝕也是(shi)一個電化(hua)(hua)學過程(cheng)。如圖8.1.13所示。陽極反(fan)應(ying)是(shi)金屬離(li)(li)子化(hua)(hua),在(zai)膜-金屬界面(mian)發生;陰(yin)極反(fan)應(ying)是(shi)氧(yang)的離(li)(li)子化(hua)(hua),在(zai)膜-氣(qi)體界面(mian)發生。電子和(he)離(li)(li)子(金屬離(li)(li)子和(he)氧(yang)離(li)(li)子)在(zai)膜中兩極之間流(liu)動,它(ta)和(he)水溶液(ye)中的腐蝕電池相似。


防(fang)止(zhi)高溫氧化最有效(xiao)的方(fang)法是在(zai)基體金屬中加入有效(xiao)的合(he)金成(cheng)分,使(shi)膜中生成(cheng)保(bao)護性很強(qiang)的二元或三元化合(he)物,使(shi)離子擴散更(geng)為(wei)困難,氧化速度因而下降。

