球墨鑄(zhu)鐵承(cheng)接管件結構型式與尺寸如下:
盤承套管型(xing)式見圖6-19a),尺寸見表6-19;盤承短(duan)管型(xing)式見圖6-19b),尺寸見表6-19。


盤插型式見圖6-20a),尺寸見表6-20;承(cheng)套(tao)型式(shi)見圖6-20b),尺寸見表6-20;


雙承和承插(cha)90°(1/4)彎管(guan)型式見(jian)圖(tu)6-21,尺寸見(jian)表6-21。雙承和承插45°(1/8)彎管型式見(jian)圖6-22,尺寸見(jian)表6-21。


雙承和承插22°30'(1/16)彎管型式見圖6-23,尺寸見表6-22。雙承和承插11°15'(1/32)彎管型(xing)式見圖6-24,尺寸見表6-22。


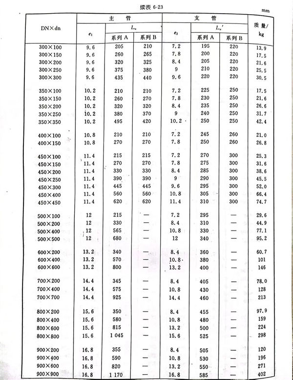
全承三通型式見(jian)圖(tu) 6-25 ,尺(chi)寸見(jian)表 6-23 。



雙承單支(zhi)盤三通型式見圖 6-26 ,尺寸(cun)見表 6-24 。



雙(shuang)承漸縮管型式見圖 6-27 ,尺寸見表 6-25 。


雙承一(yi)絲丁字管型式見圖(tu) 6-28 ,尺寸見表 6-26 。

雙承和承插乙字(zi)管(guan)型式見(jian)圖(tu) 6-29 ,尺寸見(jian)表(biao) 6-27 。

雙承丁字管型式見(jian)圖(tu) 6-30 ,尺寸(cun)見(jian)表(biao) 6-28 。


全承四通(tong)型(xing)式(shi)見(jian)圖 6-31 ,尺寸見(jian)表 6-29 。


插(cha)堵型式見圖(tu) 6-32 ,尺寸見表 6-30 。

滑(hua)入式(shi)和機械式(shi)承堵型式(shi)見(jian)(jian)圖 6-33 ,尺寸見(jian)(jian)表 6-31 。



