柔性(xing)(xing)石墨(mo)(mo)金屬(shu)波齒復合(he)墊片是由柔性(xing)(xing)石墨(mo)(mo)做成的(de)(de)金屬(shu)波齒復合(he)墊片是在機械加工(gong)成波齒狀的(de)(de)金屬(shu)板(ban)兩面覆蓋上柔性(xing)(xing)石墨(mo)(mo)的(de)(de)一種復合(he)墊片。這種墊片既有金屬(shu)的(de)(de)強度,又(you)有波紋彈性(xing)(xing)的(de)(de)特點,最高使(shi)用(yong)(yong)溫度可達到650℃左右(you);適用(yong)(yong)公稱壓力用(yong)(yong)PN標記的(de)(de)香蕉視頻app蘋果:法蘭用墊片尺(chi)寸(cun)的最高(gao)壓(ya)力(li)可達(da)250bar;適用公稱壓(ya)力(li)用Class標記(ji)的法蘭用墊片尺(chi)寸(cun)的最高(gao)壓(ya)力(li)可達(da)到1500磅(bang)級(PN260bar).此種墊片通常用于突面、凹凸面及榫(sun)槽面帶頸對焊鋼制管(guan)法蘭、壓(ya)力(li)容器(qi)法蘭、香蕉視頻app蘋果:閥門及換熱器(qi)等(deng)管道(dao)和設(she)備的密封。
一(yi)、型式及代號(hao)
1. 型式
柔性石墨金屬波齒復(fu)合墊片,按(an)結構(gou)的不(bu)同可分為基本型、帶定(ding)位環(huan)型及帶定(ding)位耳(er)型3種型式。
a. 基本型
基本型柔性(xing)石(shi)墨金屬波齒復合(he)墊片適(shi)用(yong)于榫槽(cao)面和凹凸面法蘭(lan),其結構型式如(ru)圖(tu)13-23所示。

b. 帶定位環型
帶定位環型柔(rou)性石墨金(jin)屬(shu)波齒(chi)復合墊(dian)片(pian)適用于(yu)全平面(mian)和突面(mian)密封面(mian)法蘭,其(qi)結構型式(shi)如圖(tu)13-24所示。

c. 帶定位耳型(xing)
帶定位耳(er)型(xing)柔性石墨金屬波(bo)齒(chi)復合(he)墊片適(shi)用(yong)于全平面和突面密封面法蘭,其結構型(xing)式如圖13-25所示(shi)。

2. 代號(hao)
a. 墊片的(de)型式(shi)代(dai)號見(jian)表 13-36。

b. 金(jin)屬骨架(jia)的常(chang)用材料代號(hao)見表 13-37。

二、尺寸及公差
1. 公稱壓力(li)用(yong) PN 標記的法蘭用(yong)墊片尺寸
a. 榫槽面法蘭用基本(ben)型墊片尺寸(cun)見圖 13-23 和 表 13-38。

b. 凹(ao)凸面(mian)法蘭用基本型(xing)墊片尺寸(cun)見圖 13-23 和 表 13-39。

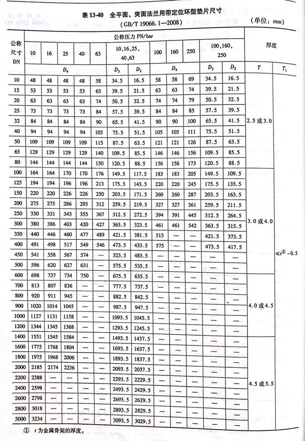
c. 全平(ping)面、突面法(fa)蘭用帶定位環型墊片尺寸(cun)見圖 13-24 和(he) 表 13-40。

d. 全平面、突面法(fa)蘭(lan)用帶定位耳環型墊片尺(chi)寸見(jian)圖 13-25 和 表 13-41。


2. 公(gong)稱壓(ya)力用 Class 標記的(de)法蘭用墊片(pian)尺(chi)寸
a. 榫槽面(mian)法蘭用基本型(xing)墊片尺(chi)寸見(jian)圖(tu) 13-23 和(he) 表 13-42。

b. 凹凸(tu)面法蘭用基本型(xing)墊片尺寸見圖 13-23 和(he) 表 13-43。

c. 全平面、突面法蘭(lan)用(yong)帶(dai)定位環型墊片尺寸見圖(tu) 13-24 和 表(biao) 13-44。

d. 全平面、突(tu)面法蘭(lan)用帶(dai)定位耳環型墊(dian)片(pian)尺寸見(jian)圖 13-25 和 表 13-45。

3. 公(gong)稱壓力用Class 標記的大(da)直徑鋼制(zhi)管法(fa)蘭用墊(dian)片(pian)尺寸
a. 公(gong)稱壓力用Class 標記(ji)的(de)(de)A系列大直徑突面法蘭用帶(dai)定位環型(xing)的(de)(de)墊片尺寸(cun)見圖(tu)13-24和(he)表13-46。

b. 公(gong)稱壓(ya)力(li)用Class 標記的B系列大直徑突面法(fa)蘭用帶定位(wei)環型墊片尺寸見圖(tu)13-24和表(biao)13-47。

c. 公稱壓力用(yong)Class 標記的(de)A系(xi)列大直徑(jing)突面法蘭用(yong)帶定位(wei)耳型(xing)墊片(pian)的(de)尺寸見(jian)圖13-26和表(biao)13-48.


d. 公稱壓力用Class標(biao)記的(de)B系列大直徑(jing)突面法用帶定位(wei)耳型的(de)墊(dian)片尺寸見(jian)圖13-26和表(biao)13-49。

4. 金屬骨架尺寸(cun)的極(ji)限偏差
金屬波(bo)齒復合墊片金屬骨架(jia)尺寸的(de)極(ji)限偏(pian)差見表(biao)13-50.復合后(hou)的(de)墊片外徑和密封元件寬(kuan)度的(de)極(ji)限偏(pian)差與(yu)金屬骨架(jia)的(de)相同。
5. 墊片厚度公(gong)差
墊片厚度的(de)極限偏差見表13-51;波齒深度以及波齒圓弧半徑的(de)尺寸及其極限偏差由制(zhi)造廠(chang)(商(shang))進行確定。
6. 尺寸(cun)極限偏(pian)差(cha)
大(da)直徑(jing)法蘭(lan)用(yong)柔性石墨金(jin)屬波齒復合墊(dian)片(pian)尺寸(cun)極限偏差見表13-52.

三、技(ji)術(shu)要求
1. 金屬骨架
a. 金屬骨(gu)架材料(liao)及硬度要(yao)求見(jian)表13-53.材料(liao)的(de)機械性(xing)能和化(hua)學成分應符合相(xiang)應標(biao)準的(de)規定(ding)。
b. 金屬(shu)骨架一般使(shi)用(yong)整張金屬(shu)板制作,若受材料(liao)寬度限(xian)(xian)制需拼(pin)接(jie)時,其拼(pin)接(jie)接(jie)頭的(de)(de)數量(liang)應(ying)有(you)所限(xian)(xian)制。拼(pin)接(jie)接(jie)頭的(de)(de)數量(liang)見(jian)表(biao)13-54.對接(jie)切口應(ying)采(cai)用(yong)氬(ya)弧(hu)焊(han)或電焊(han)對接(jie)焊(han)縫必須(xu)打磨(mo)與母材齊平(ping),焊(han)縫處(chu)不(bu)應(ying)出現夾(jia)渣(zha)、氣孔等影響焊(han)接(jie)接(jie)頭質量(liang)的(de)(de)缺陷。
c. 金(jin)屬(shu)(shu)骨(gu)(gu)架的結(jie)構(gou)(gou)見(jian)圖13-27,其結(jie)構(gou)(gou)尺寸和(he)參數由(you)制(zhi)造(zao)廠(商)設計確定,并確保金(jin)屬(shu)(shu)骨(gu)(gu)架兩(liang)側面波峰(feng)與波谷應錯開1/2齒距(ju)(ju),波齒距(ju)(ju)一(yi)致,波齒圓弧半徑相等,所(suo)有齒尖應在一(yi)個平面內,骨(gu)(gu)架無明顯(xian)翹曲變形。成形后的金(jin)屬(shu)(shu)骨(gu)(gu)架任意兩(liang)點厚(hou)度偏(pian)差(cha)在制(zhi)作骨(gu)(gu)架的板材(cai)厚(hou)度偏(pian)差(cha)范圍之內。
d. 定(ding)位(wei)(wei)環(huan)(包括定(ding)位(wei)(wei)耳環(huan))厚度T1通常為T1≤t-0.5,定(ding)位(wei)(wei)環(huan)可直接與波(bo)齒部(bu)分一起(qi)加工成一整體(ti)。定(ding)位(wei)(wei)環(huan)采(cai)用碳鋼(gang)材料時,其表面應進行防銹(xiu)處理。
e. 當墊片單邊寬度較(jiao)窄時,宜采用較(jiao)小(xiao)的波(bo)齒距,并使單邊不得少(shao)于3個齒尖,以(yi)保證密(mi)封性能(neng)。
2. 墊片的復合(he)
a. 墊(dian)片用粘合(he)劑應(ying)按有關標準規定,柔性石墨應(ying)符合(he)JB/T 7758.2《柔性石墨板技術條件》的規定。
b. 墊(dian)(dian)片(pian)復合后的(de)(de)(de)截面圖(tu)見圖(tu)13-28.墊(dian)(dian)片(pian)的(de)(de)(de)公稱厚(hou)度T一般為2.5、3.0、4.0和(he)4.5mm四種,特殊(shu)厚(hou)度的(de)(de)(de)墊(dian)(dian)片(pian)可根據用戶要求制作。

c. 柔性石墨與金(jin)屬骨架復合(he)后應不(bu)(bu)脫膠,附著牢固,粘(zhan)合(he)無多余飛邊。墊片厚度(du)均勻(yun)一致,表面光滑(hua)平整,不(bu)(bu)允許(xu)有影響密封性能(neng)的徑向貫通劃傷、壓痕及凹凸不(bu)(bu)平等缺陷。
d. 大規格墊片(DN≥300mm)石墨(mo)允許(xu)搭(da)接(jie),搭(da)接(jie)部分的寬度為1~3mm,應采用斜口搭(da)接(jie),上下層搭(da)接(jie)部分不能(neng)重疊,搭(da)接(jie)處應光滑過渡。
3. 性能
柔(rou)性(xing)(xing)石墨(mo)金屬波齒復合(he)墊片各項力學(xue)性(xing)(xing)能(neng)及(ji)密封性(xing)(xing)能(neng)指標見(jian)表13-55.

四、標(biao)記及標(biao)志
1. 標記
a. 標記方法(fa)

b. 標記示(shi)例
墊(dian)片型式:帶定位環(huan)型;金屬(shu)骨架材料(liao):06Cr19Ni10;公(gong)稱(cheng)尺(chi)寸:DN150;公(gong)稱(cheng)壓力:PN40;墊(dian)片標準:GB/T 19066.1;其標記為:
波(bo)齒墊 B4-DN150-PN40 GB/T 19066.1
2. 標志
按(an)GB/T 19066.3-2003《柔性石(shi)墨金屬波齒(chi)復合墊片技術條件》規定:經檢(jian)驗合格的產(chan)品(pin),制造廠(chang)應填(tian)寫產(chan)品(pin)合格證作為(wei)標志(zhi),并(bing)隨(sui)產(chan)品(pin)一起(qi)裝(zhuang)箱(xiang)發送。合格證包括(kuo)以(yi)下(xia)各項內容:
a. 產(chan)品標記。
b. 產品規(gui)格及符合標(biao)準(zhun)的編號。
c. 產品批號。
d. 生產日期。
e. 檢驗(yan)日期及檢驗(yan)者姓(xing)名、代(dai)號。
f. 制(zhi)造廠名稱。
g. 商(shang)標(biao)。

