一(yi)、通(tong)用金屬環形(xing)墊片型式、尺寸及公(gong)差
1. 型式與尺寸(cun)
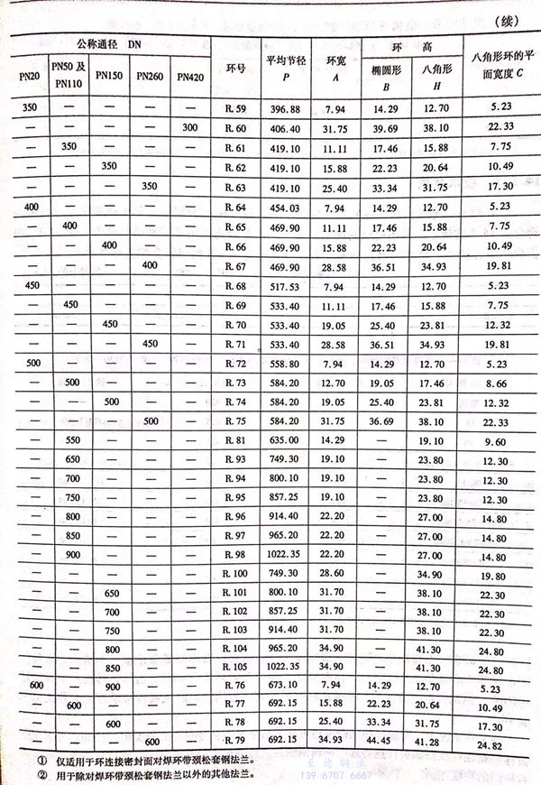
金屬環(huan)形(xing)墊(dian)片按(an)截面形(xing)狀分為(wei)八角形(xing)和橢(tuo)圓形(xing)兩種結構,如(ru)圖14-1所示,尺寸見(jian)表14-1.



2. 尺寸公差
金屬環形墊片(pian)的尺寸(cun)極限偏(pian)差(cha)見表 14-2。

二(er)、通用(yong)金(jin)屬環形墊(dian)片技(ji)術要求
1. 材(cai)料(liao)
金屬環墊坯料的(de)(de)化學成分應(ying)符(fu)合相(xiang)應(ying)標(biao)(biao)準的(de)(de)規定(ding)(ding),其中軟鐵的(de)(de)化學成分應(ying)符(fu)合表14-3的(de)(de)規定(ding)(ding),常用(yong)(yong)材料的(de)(de)牌號、代號、推薦最高使用(yong)(yong)溫度(du)和執行標(biao)(biao)準見表14-4。根(gen)據供(gong)需雙方協商(shang),允許采用(yong)(yong)表14-4之外(wai)的(de)(de)其他材料,其性能應(ying)符(fu)合相(xiang)關標(biao)(biao)準要(yao)求。

2. 硬度
金屬環墊的硬度一般應低于法蘭材料,以確保緊密連接。合金及不(bu)銹鋼法蘭用金屬環墊的硬度值由供需雙方協商確定。同一金屬環墊的硬度應均勻,其極差不得超過10HBW,測試各點的硬度不得超過表14-5的規定。常用材料的金屬環墊推薦最大硬度值見表14-5。

在(zai)某些情況(kuang)下,金(jin)屬環墊(dian)的硬(ying)度(du)值可能不低于法蘭合金(jin)材(cai)料的硬(ying)度(du)值。例如,為了獲得最佳(jia)耐(nai)腐蝕性(xing)狀態(tai)而(er)進行熱處(chu)理的不銹(xiu)鋼法蘭;與退(tui)火至最低硬(ying)度(du)的同(tong)樣材(cai)料制(zhi)成的環墊(dian)具有相(xiang)同(tong)的硬(ying)度(du)范圍。
3. 表面粗糙度
金屬環墊(dian)的(de)(de)密封面(mian)(八角墊(dian)的(de)(de)斜(xie)面(mian)、橢(tuo)圓(yuan)墊(dian)的(de)(de)圓(yuan)弧面(mian))不得有劃(hua)痕、磕(ke)痕、裂紋和凹坑,表面(mian)粗(cu)糙度不大于(yu)Ra1.6μm.
三、通用金屬環形墊片標(biao)記
1. 標記(ji)方法
金屬環形墊片(pian)的標(biao)(biao)記由墊片(pian)形式、環號-墊片(pian)材料牌號和墊片(pian)標(biao)(biao)準(zhun)號組成。
2. 標記示例
號為(wei)20, 材(cai)料為(wei)0Cr19Ni9 的八角形金(jin)屬環(huan)墊片,其標記為(wei):八角墊 R.20-0Cr19Ni9 GB/T 9128

