鋼(gang)制管法蘭(lan)參考(kao)質(zhi)量,用于供設計、制造、建(jian)設和施工(gong)等(deng)單位(wei)作工(gong)程(cheng)詢(xun)價、報價及(ji)預算(suan)等(deng)工(gong)作時(shi)參考(kao)。香蕉視頻app蘋果:法蘭的參考(kao)質量不作為檢測法蘭的技術指標準,只作為資料性(xing)的參考(kao)文(wen)件。
1. 用PN標(biao)記(ji)的法蘭(lan)
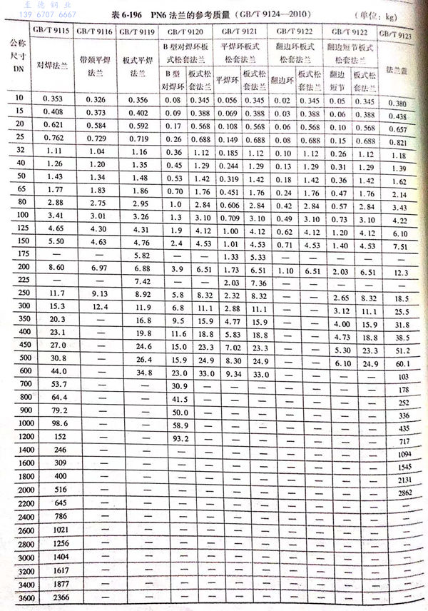
用(yong)PN標記的法(fa)蘭(包括PN2.5~PN400共12個壓力級的法(fa)蘭)的參(can)考質量(liang)見表6-195~表6-203。







2. 用 Class 標記的法(fa)蘭
用 Class 標記的法蘭(包括 Class 150 ~ Class 2500 共6個壓(ya)力級的法蘭)的參考(kao)質量(liang)見表(biao)6-204~表(biao)6-209。






