1. 用(yong)PN標記的整體鋼制香蕉視頻app蘋果:管法蘭的香蕉視頻app蘋果:密封面型式(shi)及適用的公稱壓力和(he)公稱尺寸范圍(wei)見表 6-1。

2. 用PN標記的整體鋼制管法(fa)蘭的結構型式包括平面型、突面型、凹凸面型、榫槽面型、O形圈面型及環連接面型等6種,如圖6-1~圖6-6所示。


3. 用PN標記的整體鋼制管法蘭密封尺寸見(jian)圖(tu)6-2~圖(tu)6-5及表6-2。用PN標記的法蘭環連(lian)接面(mian)尺寸見(jian)圖(tu)6-6及表6-3.


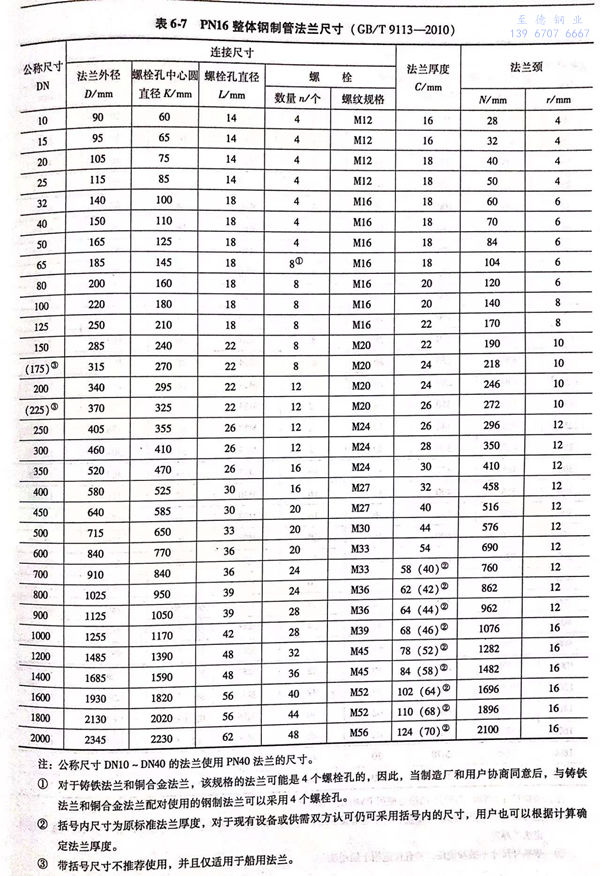
4. 用PN 標記的(de)整體鋼制管法(fa)蘭的(de)結構尺(chi)寸見圖 6-1 ~ 圖 6-6 及表 6-4 ~表 6-15。




注:公稱尺(chi)寸(cun)DN10~DN40的(de)(de)法(fa)蘭(lan)(lan)使用PN40法(fa)蘭(lan)(lan)的(de)(de)尺(chi)寸(cun);公稱尺(chi)寸(cun)DN50~DN150的(de)(de)法(fa)蘭(lan)(lan)使用PN16法(fa)蘭(lan)(lan)的(de)(de)尺(chi)寸(cun)。
①. 對于鑄鐵(tie)法蘭(lan)和(he)銅(tong)合(he)金法蘭(lan),該規格的(de)法蘭(lan)可(ke)能是4個(ge)螺栓孔的(de),因此(ci),當(dang)制(zhi)造(zao)廠和(he)用戶協商同意后,與(yu)鑄鐵(tie)法蘭(lan)和(he)銅(tong)合(he)金法蘭(lan)配對使用的(de)鋼制(zhi)法蘭(lan)可(ke)以采用4個(ge)螺栓孔。
②. 括號內(nei)尺寸(cun)為原標準法(fa)(fa)蘭厚度,對于現有(you)設備或供需雙方認可仍可采用(yong)括號內(nei)的尺寸(cun),用(yong)戶也可以根(gen)據計算確定(ding)法(fa)(fa)蘭厚度。
③. 帶括號尺寸(cun)不推薦使用(yong),并且僅適用(yong)于船用(yong)法蘭。

注:公(gong)稱尺寸(cun)DN10~DN40的法蘭(lan)使用PN40法蘭(lan)的尺寸(cun)。
①. 對于鑄(zhu)鐵法(fa)(fa)蘭和銅合金法(fa)(fa)蘭,該規(gui)格的(de)法(fa)(fa)蘭可(ke)(ke)能是4個(ge)螺栓孔的(de),因(yin)此(ci),當制造廠和用(yong)戶協商(shang)同意后(hou),與(yu)鑄(zhu)鐵法(fa)(fa)蘭和銅合金法(fa)(fa)蘭配對使(shi)用(yong)的(de)鋼制法(fa)(fa)蘭可(ke)(ke)以采用(yong)4個(ge)螺栓孔。
②. 括號(hao)內尺寸為原標(biao)準法蘭(lan)厚度(du),對于現有設備(bei)或供需雙方認可仍可采用括號(hao)內的尺寸,用戶也可以根據計算確定法蘭(lan)厚度(du)。
③. 帶括號尺寸不推(tui)薦使用(yong)(yong)(yong),并且僅適用(yong)(yong)(yong)于(yu)船用(yong)(yong)(yong)法蘭。

注:公稱尺寸DN10~DN150的法(fa)蘭(lan)使用(yong)PN40法(fa)蘭(lan)的尺寸。
①. 括(kuo)號內尺寸為(wei)原標準法蘭厚(hou)度,對于現有設備或供需雙(shuang)方認可(ke)(ke)仍可(ke)(ke)采(cai)用括(kuo)號內的(de)尺寸,用戶也可(ke)(ke)以根據計算確定法蘭厚(hou)度。
②. 帶括號尺寸不推薦使(shi)用(yong),并(bing)且(qie)僅適用(yong)于船用(yong)法(fa)蘭(lan)。





