擠壓筒是不銹鋼管擠壓機組工模具中最大的部件,25~30MN(2500~3000t)擠壓機的擠壓筒一套筒部件的重量達到8~10噸,50MN(5000t)擠壓機擠壓筒重約15t,60MN(6000t)擠壓機的擠壓筒重為20t,80MN(8000t)擠壓機的擠壓筒重40t,而220MN(20000t)擠壓機的擠壓筒重達100t以上。
擠壓(ya)筒是用于放置已加熱到(dao)擠壓(ya)溫度的坯料的容器。擠壓(ya)時擠壓(ya)筒內壁承受著(zhu)將坯料擠壓(ya)成(cheng)制品全部變形的徑向壓(ya)力,其負荷水平(ping)可以達到(dao)1000MPa以上。
擠(ji)壓(ya)(ya)筒(tong)(tong)的(de)(de)(de)(de)工(gong)作條件(jian)是十(shi)分(fen)嚴(yan)酷的(de)(de)(de)(de)。沿被加(jia)熱(re)的(de)(de)(de)(de)擠(ji)筒(tong)(tong)內襯的(de)(de)(de)(de)長度方向(xiang)上(shang),周期性(xing)的(de)(de)(de)(de)作用有(you)強烈的(de)(de)(de)(de)、不均(jun)勻的(de)(de)(de)(de)加(jia)熱(re)和冷(leng)卻,高(gao)溫(wen)坯料與(yu)擠(ji)壓(ya)(ya)筒(tong)(tong)內襯壁之間接(jie)觸的(de)(de)(de)(de)高(gao)溫(wen)高(gao)壓(ya)(ya)摩擦力,高(gao)的(de)(de)(de)(de)徑向(xiang)壓(ya)(ya)力,隨后又(you)沖擊(ji)性(xing)的(de)(de)(de)(de)下降。同時,冷(leng)空氣或(huo)水通過擠(ji)壓(ya)(ya)筒(tong)(tong)內襯的(de)(de)(de)(de)孔腔,使(shi)其受(shou)到(dao)強烈的(de)(de)(de)(de)冷(leng)卻。在所有(you)這些工(gong)作條件(jian)下,在擠(ji)壓(ya)(ya)筒(tong)(tong)的(de)(de)(de)(de)材(cai)料中(zhong)引起熱(re)超(chao)高(gao)應(ying)力。這種情(qing)況在擠(ji)壓(ya)(ya)筒(tong)(tong)前(qian)端三分(fen)之一的(de)(de)(de)(de)內襯長度上(shang)顯得尤其嚴(yan)重(zhong)。由于高(gao)溫(wen)變形金屬的(de)(de)(de)(de)流動,在擠(ji)壓(ya)(ya)筒(tong)(tong)內襯前(qian)端的(de)(de)(de)(de)套筒(tong)(tong)壁上(shang)引起強烈的(de)(de)(de)(de)熱(re)摩擦,使(shi)其產生磨(mo)損或(huo)裂紋,導致(zhi)內襯損壞。
早期(qi)的(de)(de)(de)(de)(de)擠(ji)(ji)壓(ya)筒(tong)(tong)(tong)采(cai)用的(de)(de)(de)(de)(de)都(dou)是(shi)(shi)整體結構,現在(zai)這種結構的(de)(de)(de)(de)(de)擠(ji)(ji)壓(ya)筒(tong)(tong)(tong)甚(shen)至在(zai)小噸位的(de)(de)(de)(de)(de)擠(ji)(ji)壓(ya)機上都(dou)已被淘汰。目前,現代(dai)化的(de)(de)(de)(de)(de)大型(xing)擠(ji)(ji)壓(ya)機上所采(cai)用的(de)(de)(de)(de)(de)擠(ji)(ji)壓(ya)筒(tong)(tong)(tong)一套(tao)筒(tong)(tong)(tong)系統都(dou)是(shi)(shi)由2個、3個或更多的(de)(de)(de)(de)(de)套(tao)筒(tong)(tong)(tong)組成(cheng)的(de)(de)(de)(de)(de)多層結構擠(ji)(ji)壓(ya)筒(tong)(tong)(tong),并且在(zai)各層套(tao)筒(tong)(tong)(tong)之間(jian)都(dou)帶有一定的(de)(de)(de)(de)(de)過盈量(liang),以熱裝的(de)(de)(de)(de)(de)方式(shi)裝配而(er)成(cheng)。
采(cai)用過盈配合的多層結構擠壓(ya)(ya)(ya)筒(tong)(tong),使(shi)(shi)每(mei)層套筒(tong)(tong)的結合面上都具(ju)有一定(ding)的預(yu)應(ying)力(li)。由于有預(yu)應(ying)力(li)的存在(zai),使(shi)(shi)多層結構的擠壓(ya)(ya)(ya)筒(tong)(tong)在(zai)承受(shou)擠壓(ya)(ya)(ya)產(chan)生的熱(re)超(chao)高(gao)應(ying)力(li)作用時(shi),套筒(tong)(tong)之間的應(ying)力(li)分布趨于均(jun)勻,從而(er)使(shi)(shi)擠壓(ya)(ya)(ya)筒(tong)(tong)套筒(tong)(tong)的材料(liao)得到(dao)充分的利(li)用;并(bing)且還可以提(ti)高(gao)熱(re)擠壓(ya)(ya)(ya)時(shi)擠壓(ya)(ya)(ya)筒(tong)(tong)承受(shou)的單(dan)位壓(ya)(ya)(ya)力(li),從而(er)提(ti)高(gao)擠壓(ya)(ya)(ya)筒(tong)(tong)套筒(tong)(tong)的使(shi)(shi)用壽命。
擠(ji)壓(ya)(ya)筒(tong)(tong)內(nei)襯(chen)(chen)套(tao)的(de)(de)結(jie)構形(xing)式,包括內(nei)襯(chen)(chen)套(tao)的(de)(de)內(nei)徑和(he)形(xing)狀(zhuang),內(nei)襯(chen)(chen)套(tao)外(wai)徑與中套(tao)內(nei)徑的(de)(de)配(pei)合;除了過盈配(pei)合之外(wai),還有多種形(xing)式的(de)(de)配(pei)合,如圖7-4所(suo)示(shi)。擠(ji)壓(ya)(ya)筒(tong)(tong)內(nei)襯(chen)(chen)套(tao)經熱處理后,其硬(ying)度HRC達到(dao)40~45;在(zai)不重車的(de)(de)情況(kuang)下,使用(yong)壽命達到(dao)1500~4000次。

除此(ci)之外,擠(ji)壓筒使用時(shi),為(wei)了建(jian)立熱(re)擠(ji)壓過(guo)程本身所(suo)需的(de)熱(re)力(li)學條件,擠(ji)壓筒的(de)預(yu)熱(re)極為(wei)重要(yao)。擠(ji)壓筒的(de)預(yu)熱(re)可以(yi)提高(gao)其使用壽命。
擠壓(ya)筒(tong)(tong)預(yu)熱(re)時,為了(le)能快速地加(jia)熱(re),減小(xiao)熱(re)量損失,在(zai)外加(jia)熱(re)的同(tong)時,最好能采用(yong)特(te)殊可換式加(jia)熱(re)器來預(yu)熱(re)擠壓(ya)筒(tong)(tong)的內(nei)部,為了(le)保(bao)持壓(ya)人套(tao)筒(tong)(tong)時在(zai)套(tao)筒(tong)(tong)和擠壓(ya)筒(tong)(tong)內(nei)產生的預(yu)應力(li),內(nei)加(jia)熱(re)非常必要(yao)。若僅強烈的外加(jia)熱(re),將(jiang)使預(yu)應力(li)降低,從而,惡化擠壓(ya)筒(tong)(tong)套(tao)筒(tong)(tong)的工作能力(li)。
一般對于較大噸位的(de)臥式(shi)擠(ji)壓(ya)(ya)(ya)(ya)(ya)(ya)機(ji),擠(ji)壓(ya)(ya)(ya)(ya)(ya)(ya)筒的(de)預熱采(cai)用(yong)內(nei)置(zhi)式(shi)的(de)加(jia)熱元件進行預熱(圖7-5和圖7-6),而對于較小的(de)擠(ji)壓(ya)(ya)(ya)(ya)(ya)(ya)筒,較多(duo)的(de)是采(cai)用(yong)活動(dong)的(de)感應加(jia)熱器(qi)(也(ye)有用(yong)熱坯料)直接放入擠(ji)壓(ya)(ya)(ya)(ya)(ya)(ya)筒內(nei)腔內(nei)進行預熱。一旦擠(ji)壓(ya)(ya)(ya)(ya)(ya)(ya)開始擠(ji)壓(ya)(ya)(ya)(ya)(ya)(ya)筒內(nei)襯便處于受熱狀(zhuang)態,不需要(yao)加(jia)熱,而是需要(yao)經常進行冷卻。圖7-5所示為俄羅斯制造的(de)63MN(6300t)臥式(shi)液壓(ya)(ya)(ya)(ya)(ya)(ya)擠(ji)壓(ya)(ya)(ya)(ya)(ya)(ya)機(ji)的(de)帶(dai)預熱裝置(zhi)的(de)三層(ceng)結(jie)構(gou)擠(ji)壓(ya)(ya)(ya)(ya)(ya)(ya)筒,圖7-6所示為德(de)國制造的(de)帶(dai)擠(ji)壓(ya)(ya)(ya)(ya)(ya)(ya)筒測溫裝置(zhi)的(de)60MN(6000t)臥式(shi)液壓(ya)(ya)(ya)(ya)(ya)(ya)擠(ji)壓(ya)(ya)(ya)(ya)(ya)(ya)機(ji)三層(ceng)結(jie)構(gou)擠(ji)壓(ya)(ya)(ya)(ya)(ya)(ya)筒。

一、擠壓筒-套筒系統的(de)設計條件
擠壓筒(tong)-套筒(tong)系統的設計條件如下:
1. 擠壓時,擠壓筒中的內(nei)壓力分布是(shi)不均勻的,其影響因素很多。但設計計算時,認為(wei)內(nei)應力是(shi)均勻分布的。
2. 擠壓時,擠壓筒壁上的單位壓力的大小是很難確定的。在足夠精確的情況下,可以認為其等于(0.5~0.8)p,即作用在擠壓筒壁上的徑向壓力pi,將低于擠壓桿上所施加的壓力p。
擠壓力在金屬中的傳遞是不均勻的,其不同于壓力在液體中的傳遞,因此實際上在計算徑向壓力時,采用pi=(0.5~0.8)p,其中,金屬變形的難易系數(0.5~0.8)與變形金屬在一定壓力下的流動能力有關,即擠壓難變形材料時,該系數取小值。
3. 在設計計算(suan)擠(ji)壓簡(jian)(jian)一套簡(jian)(jian)系統部件時,首先根據經(jing)驗數據確定擠(ji)壓簡(jian)(jian)的主要尺寸、套筒的數量及其近(jin)似尺寸,然后對所選定的系統進行強度驗算(suan)。
4. 工藝條(tiao)件(jian)決定了擠(ji)壓(ya)機工作套(tao)筒(tong)所(suo)需(xu)的(de)內(nei)徑和擠(ji)壓(ya)力(li)(li)。此擠(ji)壓(ya)力(li)(li)為在工作套(tao)筒(tong)內(nei)孔(kong)截面上建立一定的(de)單位壓(ya)力(li)(li)所(suo)必需(xu)的(de)。
5. 擠壓筒外徑(jing)采用以下關系(xi)式(shi)確定:

6. 在擠壓(ya)筒(tong)(tong)(tong)-套(tao)筒(tong)(tong)(tong)系統計算(suan)時,當套(tao)筒(tong)(tong)(tong)壁(bi)厚增(zeng)加至一定范(fan)圍而對最大應力數值的影響很(hen)小時,為使(shi)套(tao)筒(tong)(tong)(tong)材料的性(xing)能(neng)得到充分利用,并使(shi)沿(yan)斷面上應力較均勻地分布,在大壓(ya)力的情況下應采用組(zu)合套(tao)筒(tong)(tong)(tong)。
7. 對于多(duo)層結構(gou)的(de)擠(ji)(ji)壓(ya)筒一套(tao)筒系統(tong),可根據(ju)其(qi)(qi)許用應力(li)(li)與(yu)壁厚系數的(de)關系圖表來選擇合(he)理結構(gou)的(de)多(duo)層擠(ji)(ji)壓(ya)筒。其(qi)(qi)保(bao)證條件是:套(tao)筒以一定的(de)公盈(ying)裝入多(duo)層擠(ji)(ji)壓(ya)筒中,提高其(qi)(qi)承(cheng)受最大壓(ya)力(li)(li)的(de)能(neng)力(li)(li),并在此壓(ya)力(li)(li)下,擠(ji)(ji)壓(ya)筒一套(tao)筒系統(tong)內的(de)應力(li)(li)不超過允許值(zhi)。
8. 擠壓(ya)(ya)筒(tong)(tong)一套筒(tong)(tong)系統(tong)的(de)(de)(de)(de)強(qiang)(qiang)度,由(you)擠壓(ya)(ya)筒(tong)(tong)材料在(zai)(zai)工作(zuo)溫度下(xia)(xia)的(de)(de)(de)(de)屈服極限(σt)和單位擠壓(ya)(ya)力所決(jue)(jue)定(ding)。在(zai)(zai)擠壓(ya)(ya)筒(tong)(tong)一套筒(tong)(tong)內(nei)表(biao)面上(shang)的(de)(de)(de)(de)最大切應(ying)(ying)(ying)力不應(ying)(ying)(ying)超過(guo)這個(ge)屈服極限。當此應(ying)(ying)(ying)力大于(yu)或(huo)等于(yu)材料熱(re)狀態下(xia)(xia)的(de)(de)(de)(de)屈服極限,則(ze)擠壓(ya)(ya)筒(tong)(tong)應(ying)(ying)(ying)做成2、3或(huo)4層。這時(shi)整(zheng)個(ge)系統(tong)的(de)(de)(de)(de)強(qiang)(qiang)度就取決(jue)(jue)于(yu)所選(xuan)用(yong)材料在(zai)(zai)熱(re)狀態下(xia)(xia)的(de)(de)(de)(de)屈服強(qiang)(qiang)度極限σt、σt'、σt”和擠壓(ya)(ya)筒(tong)(tong)各個(ge)套筒(tong)(tong)中產生的(de)(de)(de)(de)應(ying)(ying)(ying)力。實(shi)踐證明,在(zai)(zai)這種情況下(xia)(xia)套筒(tong)(tong)的(de)(de)(de)(de)內(nei)、外直徑比很重要。對所有套筒(tong)(tong)來講,應(ying)(ying)(ying)是(shi)相等的(de)(de)(de)(de),即如果d/dx=U,那么U1=U2=U3.對易擠壓(ya)(ya)的(de)(de)(de)(de)金屬用(yong)較(jiao)厚的(de)(de)(de)(de)套筒(tong)(tong),即U1>U2;而(er)對難(nan)擠壓(ya)(ya)的(de)(de)(de)(de)金屬采用(yong)較(jiao)薄的(de)(de)(de)(de)套筒(tong)(tong),即U1<U2.
在(zai)正確選擇(ze)切(qie)應力(li)時(shi),可正確選擇(ze)用(yong)以(yi)抵消主應力(li)的(de)熱(re)裝應力(li)。為了安(an)全(quan),各套簡均在(zai)一定的(de)公盈(ying)量下(xia)進行熱(re)裝,以(yi)使每個套筒的(de)負荷與材(cai)料熱(re)狀態下(xia)的(de)屈(qu)服極(ji)限(xian)有(you)同樣的(de)比例(li)。在(zai)計(ji)算時(shi),應采用(yong)低于相(xiang)應材(cai)料在(zai)熱(re)狀態下(xia)之屈(qu)服極(ji)限(xian)。
為使套筒中的應力趨于平(ping)緩,采用如(ru)下的直徑比:

9. 在強(qiang)度驗(yan)算(suan)時,因為擠(ji)壓(ya)(ya)筒(tong)部件通常是采用韌性(xing)熱(re)強(qiang)鋼(gang)制造的,因此(ci),最(zui)近(jin)似(si)的是按(an)第(di)三(san)強(qiang)度理(li)(li)論(最(zui)大切(qie)應(ying)力理(li)(li)論)和第(di)四強(qiang)度理(li)(li)論(能量理(li)(li)論)驗(yan)算(suan)。對于(yu)整(zheng)體式擠(ji)壓(ya)(ya)筒(tong),其危險點(dian)(擠(ji)壓(ya)(ya)筒(tong)內表(biao)面)上的應(ying)力不超(chao)過允用值的情(qing)況下其最(zui)大壓(ya)(ya)力,可(ke)按(an)第(di)三(san)強(qiang)度理(li)(li)論計算(suan),也可(ke)按(an)第(di)四強(qiang)度理(li)(li)論計算(suan)。
10. 多層擠(ji)壓筒的極限應力與層數無關,與整體式擠(ji)壓筒相(xiang)比,其(qi)極限應力提高2倍(bei)。
11. 擠壓筒(tong)的內部壓力(li)(li),在套筒(tong)橫截面的徑向(xiang)上產(chan)生(sheng)壓縮應力(li)(li),在切線(xian)方向(xiang)上產(chan)生(sheng)拉伸應力(li)(li)。軸(zhou)向(xiang)應力(li)(li)在所有斷面中是(shi)均勻分布的,計算時可忽略不計。
12. 擠壓(ya)(ya)筒-套筒系統(tong)的熱裝配是在(zai)一(yi)定的公盈(ying)量(liang)下(xia)裝入已(yi)加熱到350~400℃溫度的擠壓(ya)(ya)筒中。已(yi)磨損(sun)套筒的更換(huan)可(ke)以(yi)在(zai)專用的設(she)備上進行,也可(ke)采用專門裝置在(zai)擠壓(ya)(ya)機上頂出(chu)套筒。套筒頂出(chu)時,其壓(ya)(ya)力(li)不允(yun)許大(da)于3~5MPa(表壓(ya)(ya))。因為套筒頂出(chu)后,急劇的卸壓(ya)(ya)可(ke)能引起擠壓(ya)(ya)機工(gong)作故障(zhang),甚至在(zai)大(da)壓(ya)(ya)力(li)下(xia)會導致擠壓(ya)(ya)機損(sun)壞(huai)。
13. 在熱(re)裝(zhuang)時(shi),應保證套筒(tong)(tong)和擠壓筒(tong)(tong)材(cai)料不會被回火(huo)而產生塑性變形(xing),消除套筒(tong)(tong)內(nei)的(de)(de)原始受壓狀態,減(jian)小熱(re)裝(zhuang)時(shi)的(de)(de)公盈將會惡化擠壓筒(tong)(tong)殼體的(de)(de)工作,增加套筒(tong)(tong)的(de)(de)應力,從(cong)而更難選(xuan)擇套筒(tong)(tong)的(de)(de)材(cai)料。因(yin)此,過盈選(xuan)擇不當可使(shi)擠壓筒(tong)(tong)使(shi)用壽命(ming)降低。
過盈量一般為(wei)筒徑的0.1%~0.2%.60MN(6000t)擠(ji)(ji)壓機在各套筒上的公(gong)盈量均為(wei)0.2%(與(yu)德(de)國 Schloemann公(gong)司的31.5MN(3150t)擠(ji)(ji)壓機相同)。
原上海異(yi)形(xing)鋼管廠的經驗認(ren)為,過(guo)盈量為筒徑的0.15%(約為0.7~1.2mm)較為合適。
14. 在(zai)確定(ding)了多層擠壓(ya)筒由(you)套(tao)筒熱裝和(he)擠壓(ya)力所產生的(de)應力之后(hou),在(zai)選擇套(tao)筒和(he)擠壓(ya)筒的(de)材料時(shi),還要(yao)考慮附加(jia)應力的(de)存在(zai)。附加(jia)應力由(you)以下因素產生: a. 擠壓(ya)(ya)(ya)時,套筒(tong)與熱鋼(gang)坯接(jie)觸導致擠壓(ya)(ya)(ya)筒(tong)一套筒(tong)系統(tong)的溫升;b. 壓(ya)(ya)(ya)力沿擠壓(ya)(ya)(ya)筒(tong)長度上傳(chuan)遞的不均(jun)勻性;c. 金屬(shu)與套筒(tong)壁的熱摩(mo)擦(ca)。
根據(ju)以上(shang)因素對擠(ji)壓筒(tong)一套筒(tong)系統中(zhong)應力產生的(de)影響,應提(ti)出(chu)其修正值。
二、擠壓筒內襯的使用條件
擠壓(ya)筒(tong)(tong)(tong)內襯是多層擠壓(ya)筒(tong)(tong)(tong)一套筒(tong)(tong)(tong)系統中的(de)易損件,其(qi)壽(shou)命一般為1500~4000次/只。擠壓(ya)筒(tong)(tong)(tong)內襯的(de)使(shi)用條件如(ru)下:
1. 擠壓(ya)(ya)(ya)時(shi),金屬在高溫高壓(ya)(ya)(ya)下以400mm/s的(de)(de)(de)速度滑動,即使(shi)在良好的(de)(de)(de)潤滑條件下,內(nei)(nei)(nei)襯內(nei)(nei)(nei)表面在1.5mm深(shen)度的(de)(de)(de)范圍內(nei)(nei)(nei)被加熱到650~700℃的(de)(de)(de)高溫。尤其是在靠近擠壓(ya)(ya)(ya)模一端的(de)(de)(de)200~300mm的(de)(de)(de)長度上,擠壓(ya)(ya)(ya)筒(tong)內(nei)(nei)(nei)襯的(de)(de)(de)內(nei)(nei)(nei)表面遭受到最強烈的(de)(de)(de)熱摩擦,引(yin)起最嚴重的(de)(de)(de)磨損,會形成縱向劃道、內(nei)(nei)(nei)壁溝槽和表面粗糙及龜裂(lie),進(jin)而導致(zhi)內(nei)(nei)(nei)襯的(de)(de)(de)報(bao)廢。因(yin)此,一般(ban)在設(she)計多層(ceng)擠壓(ya)(ya)(ya)簡(jian)(jian)一套簡(jian)(jian)系(xi)統(tong)的(de)(de)(de)結構(gou)時(shi)。應該考(kao)慮到擠壓(ya)(ya)(ya)筒(tong)的(de)(de)(de)內(nei)(nei)(nei)襯套筒(tong)可(ke)以允許調頭使(shi)用。因(yin)為使(shi)用經驗表明,在進(jin)料端的(de)(de)(de)擠壓(ya)(ya)(ya)筒(tong)內(nei)(nei)(nei)襯的(de)(de)(de)內(nei)(nei)(nei)表面沒有發生磨損。
另外,當內(nei)(nei)襯(chen)壓入(ru)不良或者由于中套和內(nei)(nei)襯(chen)磨損,公盈消(xiao)失(shi)(shi),會形成內(nei)(nei)襯(chen)縱向(xiang)(xiang)裂(lie)紋(wen)。大部分(fen)縱向(xiang)(xiang)裂(lie)紋(wen)的(de)(de)(de)發生都在(zai)內(nei)(nei)襯(chen)壓出以(yi)后,即公盈已(yi)經消(xiao)失(shi)(shi)之時。這種情況限制(zhi)了內(nei)(nei)襯(chen)修復的(de)(de)(de)可能性。作為(wei)預(yu)防的(de)(de)(de)辦法,可以(yi)在(zai)內(nei)(nei)襯(chen)壓出以(yi)后,立即在(zai)500℃溫度下進(jin)行退(tui)火4~5h,以(yi)消(xiao)除應力。
2. 國外的(de)(de)使用經(jing)驗已經(jing)證明,采用離(li)心(xin)澆注的(de)(de)空心(xin)坯來制(zhi)造(zao)(zao)擠壓(ya)筒的(de)(de)內(nei)襯,是(shi)最合理的(de)(de)工藝(yi)。因為(wei)在其制(zhi)造(zao)(zao)過程中消(xiao)耗最少,成(cheng)本最低。
采用(yong)離心(xin)澆(jiao)注空心(xin)坯作擠壓(ya)筒(tong)內(nei)(nei)襯時,其機械加(jia)工的余量,對(dui)外徑(jing)而言約為(wei)10~15mm,對(dui)內(nei)(nei)徑(jing)而言應(ying)不少于20~25mm.內(nei)(nei)襯粗加(jia)工以后再經(jing)熱處(chu)理(淬火后高溫回火)。
專門的(de)研究確定(ding),鍛(duan)造的(de)擠壓(ya)筒內(nei)襯和離心澆注(zhu)的(de)擠壓(ya)筒內(nei)襯,其使用(yong)壽命相同。在(zai)各(ge)種工作條件下的(de)實(shi)際使用(yong),證明(ming)均(jun)可以達到1500~4000次/只的(de)使用(yong)壽命指標。
三、臥式擠(ji)壓機的擠(ji)壓筒一套筒系統的計算
80MN(8000t)擠壓機(ji)擠壓筒的結構(帶(dai)預(yu)熱器)如圖7-7所(suo)示。

計(ji)(ji)算時,按作用有(you)內外壓力的多層厚壁(bi)圓筒強度計(ji)(ji)算的方(fang)法進行。
假設(she):(1)沿擠壓筒(tong)長度上單(dan)位壓應力不(bu)變(bian),且與擠壓墊上的(de)單(dan)位壓力相等;(2)軸向壓應力不(bu)大,計算時可忽略(lve)不(bu)計;(3)所有的(de)組成套(tao)筒(tong)經受均勻的(de)熱(re)制度的(de)作用;(4)內孔在加熱(re)器(qi)的(de)作用下對(dui)套(tao)筒(tong)外內表面(mian)應力和變(bian)形無(wu)影(ying)響。
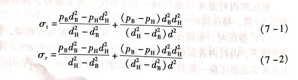
按Slame公式確定切向應力σt和徑向應力σr,而軸向力引起的應力σg不計。則:

在(zai)強(qiang)(qiang)(qiang)(qiang)度驗(yan)算時,因為擠壓筒部件(jian)通常是采用韌性(xing)熱強(qiang)(qiang)(qiang)(qiang)鋼制造,且其受(shou)力(li)(li)條件(jian)為二向(xiang)的(de)平(ping)面應(ying)力(li)(li)狀態。因此,對于整體(ti)式(shi)擠壓筒,在(zai)內表(biao)面危險點上的(de)應(ying)力(li)(li)不超過(guo)允(yun)許值的(de)情況(kuang)下,其最大壓應(ying)力(li)(li),可按(an)第三強(qiang)(qiang)(qiang)(qiang)度理論和第四強(qiang)(qiang)(qiang)(qiang)度理論來計算。
按照(zhao)第四強(qiang)度(du)理(li)論計算時的(de)等(deng)效應力為(wei):


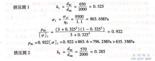
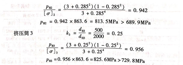
可見(jian),多(duo)層擠壓(ya)(ya)筒的內(nei)應(ying)力絕對值始終小于(yu)許(xu)用應(ying)力絕對值。且擠壓(ya)(ya)筒的裝(zhuang)配次序(圖7-7)為:裝(zhuang)好擠壓(ya)(ya)筒殼(ke)體(將(jiang)套(tao)(tao)筒2嵌入(ru)(ru)套(tao)(tao)筒1中),然后(hou),在由套(tao)(tao)筒1和2所組成的擠壓(ya)(ya)筒殼(ke)體中嵌入(ru)(ru)內(nei)套(tao)(tao)筒3。
按式(7-8)確定最大單(dan)位力,為了便于計算,列表(biao)7-2.


第3套(tao)筒(tong)(內套(tao)筒(tong))的(de)內應(ying)力,即為(wei)在對(dui)每個套(tao)筒(tong)所(suo)選擇許用(yong)應(ying)力情況(kuang)下,所(suo)求的(de)整個擠壓筒(tong)的(de)最大單位(wei)工作壓力(對(dui)應(ying)表7-2第17行)。
按(an)式(7-10)確定擠壓(ya)筒(tong)的內應力,并與列入(ru)表7-2第17行的式(7-8)確定的單位壓(ya)力相比較得:



