高(gao)合金(jin)鋼、鎳基耐熱合金(jin)、鑄(zhu)態(tai)鉬合金(jin)、燒結鉬鋯合金(jin)和難熔金(jin)屬(shu)(shu)等都(dou)屬(shu)(shu)于低(di)塑性(xing)難變(bian)形材(cai)料(liao)(liao),在(zai)大多數情況下,甚至在(zai)采用擠(ji)(ji)壓(ya)工(gong)藝加(jia)工(gong)時(shi),也顯得(de)可塑性(xing)不足(zu)。在(zai)擠(ji)(ji)壓(ya)這類材(cai)料(liao)(liao)時(shi),金(jin)屬(shu)(shu)的(de)連續(xu)性(xing)容易遭到破壞。由于引起金(jin)屬(shu)(shu)層(ceng)不均勻(yun)的(de)流(liu)動而產生的(de)拉伸應力,同時(shi)金(jin)屬(shu)(shu)與(yu)模(mo)具接(jie)觸層(ceng)的(de)溫度(du)比較(jiao)低(di),擠(ji)(ji)壓(ya)模(mo)與(yu)擠(ji)(ji)壓(ya)芯棒的(de)間隙(xi)分布(bu)相對于空心坯壁厚的(de)不對稱,導致金(jin)屬(shu)(shu)流(liu)動不對稱。金(jin)屬(shu)(shu)流(liu)動最(zui)不均勻(yun)的(de)位置(zhi)是擠(ji)(ji)壓(ya)管的(de)內(nei)外表面,因此,在(zai)擠(ji)(ji)壓(ya)管內(nei)表面產生缺陷的(de)可能性(xing)最(zui)大,而外表面則有材(cai)料(liao)(liao)連續(xu)性(xing)被破壞的(de)危(wei)險。
一、提(ti)高材(cai)料(liao)可塑性
材料(liao)的可塑(su)性(xing)(xing)降低(di),導(dao)致擠(ji)壓鋼管表面產生缺陷的可能(neng)性(xing)(xing)增(zeng)加。坯料(liao)表面的接觸摩擦不(bu)均(jun)勻,引起鋼管圓周金屬流動的不(bu)均(jun)勻。為(wei)了防止擠(ji)壓制品產生缺陷,均(jun)勻地涂敷玻璃潤(run)滑劑顯得(de)十分(fen)重要。除(chu)此(ci)之外,對于低(di)塑(su)性(xing)(xing)難變形材料(liao)的擠(ji)壓,還可以采取以下工藝措施來(lai)提高材料(liao)的可塑(su)性(xing)(xing),防止擠(ji)壓材料(liao)連續(xu)性(xing)(xing)的破壞:
1. 包(bao)塑性包(bao)套
在(zai)坯料的(de)(de)(de)內(nei)(nei)表面(mian)上包(bao)(bao)(bao)一(yi)(yi)層塑(su)性金屬(shu),從而在(zai)擠壓變形時,在(zai)塑(su)性包(bao)(bao)(bao)套(tao)內(nei)(nei)承(cheng)受著最(zui)(zui)大的(de)(de)(de)拉(la)應力。當被(bei)擠壓金屬(shu)的(de)(de)(de)可塑(su)性比較低時,塑(su)性包(bao)(bao)(bao)套(tao)包(bao)(bao)(bao)在(zai)外表面(mian)。包(bao)(bao)(bao)塑(su)性包(bao)(bao)(bao)套(tao)有幾種(zhong)方法(fa)(fa):a. 套(tao)管(guan)與坯料用簡單的(de)(de)(de)機械(xie)結合(he),這種(zhong)方法(fa)(fa)最(zui)(zui)簡單;b. 電解涂層;c. 離(li)心鑄造等。在(zai)擠壓鎳合(he)金管(guan)(如Ni36GrTiAIMo合(he)金管(guan))時,采(cai)用第一(yi)(yi)種(zhong)方法(fa)(fa)包(bao)(bao)(bao)塑(su)性包(bao)(bao)(bao)套(tao),擠壓出的(de)(de)(de)鎳合(he)金管(guan)的(de)(de)(de)內(nei)(nei)表面(mian)質量如圖5-4所示。

在擠壓鎳合金時,用321不銹(xiu)鋼制作坯料內表面的塑性保護套。保護套的厚度與延伸系數有關,擠壓后塑性層壁厚為0.8~1.0mm.在擠壓Ni38CrTiAlMo5 合金管時,采用3.5mm的碳鋼內套,用電焊將碳鋼管焊接在坯料上。
2. 采用帶錐度的擠壓(ya)芯棒
在(zai)擠(ji)壓高強度(du)(du)合(he)金時,由于(yu)高強度(du)(du)合(he)金的(de)最大變(bian)形(xing)力很大,為了減(jian)小變(bian)形(xing)力,采用端部帶(dai)錐(zhui)度(du)(du)的(de)擠(ji)壓芯棒。
3. 坯料前端焊接碳鋼墊片
擠(ji)壓(ya)高強度鎳合金(jin)管(guan)時(shi),將碳鋼(gang)制成50mm厚的墊片(pian),并將其焊接在(zai)坯料前(qian)端(duan)。這樣可以降(jiang)低(di)開(kai)始(shi)擠(ji)壓(ya)時(shi)最大(da)壓(ya)力的峰值,擠(ji)壓(ya)完成后(hou)碳鋼(gang)墊片(pian)會形成擠(ji)壓(ya)管(guan)的前(qian)端(duan)。
4. 坯(pi)料后端焊接塑性(xing)墊片
為(wei)了(le)充分利用(yong)貴金屬,并(bing)使(shi)擠(ji)壓后擠(ji)壓管與壓余容易分離,在個(ge)別(bie)情況下可將(jiang)塑性墊(dian)片焊(han)接在坯(pi)料的后端,墊(dian)片的厚度應(ying)該是使(shi)其(qi)完(wan)全成為(wei)壓余的厚度。
5. 用反擠壓法(fa)提高材(cai)料的塑性
在變形(xing)條件下(xia),當變形(xing)區內建立起推力時(shi),工作液體(ti)的(de)靜壓力可以增高(gao)到金屬材料屈服極限的(de)5~6倍(bei),因而(er)甚至可成功擠壓易碎的(de)材料,如粉末(mo)冶金的(de)坯(pi)料、灰口鐵等。
6. 建立“反(fan)壓力”
在實際工業生產中,用低塑性合金擠壓管子時,采用將擠壓模的圓柱帶從10mm增加到15~25mm或者以小角度代替圓錐部分,即采用模子的人口角為5°~15°,使其建立“反壓力”,可成功地用鎳合金坯料擠壓出鎳管而沒有破壞。此時,工作液體的靜壓力僅提高到(1.5~1.8)σb。
7. 降低(di)坯料加(jia)熱溫度
當擠壓管(guan)有一層(ceng)易碎(sui)材料的雙金屬管(guan)或雙層(ceng)管(guan)時(shi),為了提高(gao)變(bian)形區內工作液體的靜(jing)壓力,可采(cai)用降低坯料加熱(re)溫度的方法。在這種(zhong)情況下,易碎(sui)層(ceng)的可塑性(xing)顯著提高(gao),防止了裂紋(wen)的產生(sheng)。
8. 采用帶圓錐孔型的模具
俄(e)羅(luo)斯巴爾(er)金(jin)中央黑色冶金(jin)科(ke)學研究院(yuan)在(zai)拼壓不銹鋼、鎳(nie)基高溫合金(jin)和難(nan)熔(rong)金(jin)屬時,采(cai)用帶圓錐孔型的模(mo)子進行試(shi)驗,其最小的擠(ji)(ji)(ji)壓力是(shi)發生在(zai)采(cai)用的擠(ji)(ji)(ji)壓模(mo)喇(la)叭口(kou)入口(kou)角度2am=90°~120°的情(qing)況下,擠(ji)(ji)(ji)壓模(mo)的進口(kou)喇(la)叭口(kou)入口(kou)角在(zai)90°~120°間上(shang)下波動,都會使擠(ji)(ji)(ji)壓力平均增加10%~15%。
9. 采用(yong)鉬合(he)金(jin)“可拆換環”的組合(he)結構擠(ji)壓(ya)模(mo)
組合模(mo)由(you)模(mo)盒(he)、模(mo)環、彈(dan)簧(huang)組成(cheng),為了提高擠壓(ya)(ya)過(guo)程的(de)(de)穩定性,模(mo)環可采(cai)用鉬(mu)合金(MTZ)制作。擠壓(ya)(ya)操作時(shi),可由(you)10~16個鉬(mu)合金環組成(cheng)的(de)(de)擠壓(ya)(ya)模(mo)輪流作業,由(you)于(yu)模(mo)盒(he)與(yu)模(mo)環借助(zhu)于(yu)彈(dan)簧(huang)固定,可以方便地裝卸(xie)。
二、特殊結構(gou)組(zu)合(he)擠壓模的使用
為了確保玻璃潤滑劑的連續供給,保護擠壓模工作部分免受過熱和磨損,俄羅斯巴爾金中央黑色冶金科學研究院專門針對鎳基高溫合金(jin)和難熔金屬的擠壓設計了具有特殊結構的組合擠壓模,其結構如圖5-5所示。

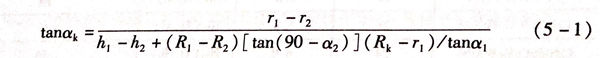
該擠壓模由金屬模套1、特殊材料擠壓模2和特殊形狀潤滑墊3組成。潤滑墊3既是模子組成形狀的一部分,也可作為變形金屬的潤滑源。收縮錐的AB外環高度為h1,角度為α1,定徑孔直徑為2r1;內環高度為h2,錐角為α2,定徑孔直徑2r2<2r1.在該模子中,變形區的側面形狀的長度包括AB和BC兩部分,形成帶有由玻璃潤滑材料構成的入口錐的雙錐形孔型。模子平面BCDEF 被玻璃潤滑劑填滿,玻璃潤滑劑形成了第二個壓縮錐BC,其角度為αk為:

式(5-1)包含了設計擠壓模孔型(xing)時的全部要素(su)尺寸。
改變第一和第二個圓錐之間的延伸系數的比值、角度α1和α2以及內部嵌入物的輪廓尺寸,可以得到不同定徑帶的配合,且同時并不超過模子的基本尺寸(高度h1).在r1=Rk時,可得到由母線AC和角度αoδ所成的圓錐模子定徑帶;在r1=r2時,在模子中產生凸緣長度為BC的圓錐或平面(α1=90°)定徑帶。因此,模子潤滑錐的角度a,可以在αoδ~0°范圍變化。
將粉末狀(zhuang)玻璃潤滑劑,附加黏結(jie)劑(水玻璃、紙漿廢(fei)液等)的混合物裝入組(zu)合模干燥(zao)后使用。
擠壓前,在擠壓模上部的圓錐上放置玻璃潤滑墊。擠壓過程中玻璃的剩余物充滿空間3。在擠壓負荷的作用下,玻(bo)璃潤(run)滑劑(ji)被擠壓成模子不可分離的部分。模子中位于直接鄰近定徑區的玻璃潤滑劑可形成連續的玻璃膜,保證金屬在流體動摩擦條件下完成變形。而玻璃潤滑劑的隔熱性能可降低模子凸緣部分金屬的受熱程度,從而提高擠壓模的使用壽命。新型結構組合模的應用實踐表明,單從模子的使用壽命來考慮,新型結構組合模的使用壽命是圓錐模的數倍。
擠壓含硼的不(bu)銹(xiu)鋼產品時發現,產品縱向和橫向上的力學性能存在較大的各向異性,這是由于附加相的縱向變形顯著或不溶性非金屬化合物在縱向呈條狀所致。
為(wei)了(le)避免擠(ji)壓(ya)產(chan)(chan)品(pin)(pin)(pin)出(chu)現性(xing)能的(de)(de)各向(xiang)異性(xing),擠(ji)壓(ya)時(shi)強迫產(chan)(chan)品(pin)(pin)(pin)在(zai)成形(xing)過程中進行(xing)旋(xuan)轉,造成擠(ji)壓(ya)產(chan)(chan)品(pin)(pin)(pin)性(xing)能各向(xiang)異性(xing)的(de)(de)相(xiang)組(zu)織條紋(wen)線呈螺(luo)旋(xuan)形(xing)布置(zhi)。在(zai)模子(zi)錐形(xing)部(bu)分(fen)刻(ke)成螺(luo)旋(xuan)形(xing)的(de)(de)凹線,而(er)在(zai)模子(zi)的(de)(de)圓柱帶無這種凹槽。擠(ji)壓(ya)時(shi),產(chan)(chan)品(pin)(pin)(pin)依靠這種專門的(de)(de)模子(zi)旋(xuan)轉,完成附加(jia)相(xiang)的(de)(de)螺(luo)旋(xuan)形(xing)分(fen)布,擠(ji)壓(ya)出(chu)的(de)(de)鋼(gang)管仍具有光滑外表面。在(zai)采用帶凹線入口錐形(xing)模擠(ji)壓(ya),含硼產(chan)(chan)品(pin)(pin)(pin)力學性(xing)能的(de)(de)各向(xiang)異性(xing)明顯下降。

