總體來講,不銹鋼無(wu)縫鋼管超聲波(bo)探(tan)傷(shang)技術較為成熟,常見的探(tan)傷(shang)方法主要(yao)包括接(jie)觸式(shi)探(tan)傷(shang)、水(shui)浸(jin)式(shi)探(tan)傷(shang)。其中水(shui)浸(jin)式(shi)探(tan)傷(shang)容易實現自動(dong)化(hua),檢測靈敏度及探(tan)傷(shang)效率均較高,因此,本(ben)書(shu)重點討(tao)論水(shui)浸(jin)式(shi)超聲探(tan)傷(shang)。
不銹鋼無縫鋼管水浸式探傷過程中,常見的檢測方法為垂直探傷法和斜角探傷法,其中垂直探傷法主要應用于大口徑厚壁不銹鋼管的無損檢測,當餓管壁厚達到直徑的20%以上時,采用垂直法較為合適。對于汽車發動機中采用的小直徑薄壁不銹鋼管,斜角法顯然更為適用。
斜角法振(zhen)傷(shang)(shang)主要采(cai)用(yong)橫波探(tan)傷(shang)(shang)和(he)表面(mian)(mian)波探(tan)傷(shang)(shang),其中橫波探(tan)傷(shang)(shang)可以檢測鋼管(guan)(guan)內外缺陷(xian),而表面(mian)(mian)波探(tan)傷(shang)(shang)主要用(yong)來(lai)檢測鋼管(guan)(guan)表面(mian)(mian)的缺陷(xian)。圖4.1為小直徑(jing)薄(bo)壁不銹鋼無(wu)縫鋼管(guan)(guan)超(chao)聲探(tan)傷(shang)(shang)的基本形式。

圖(tu)4.1中所給(gei)出的(de)基(ji)本形(xing)式為(wei)(wei)斜角法探傷,所檢(jian)測(ce)(ce)的(de)鋼(gang)(gang)管缺(que)陷通(tong)常(chang)以軸(zhou)向傷為(wei)(wei)主,以該方法為(wei)(wei)基(ji)礎,為(wei)(wei)提高檢(jian)測(ce)(ce)的(de)準確(que)性,可(ke)(ke)采用多個探頭同時檢(jian)測(ce)(ce)。為(wei)(wei)實現(xian)鋼(gang)(gang)管內外(wai)壁的(de)軸(zhou)向缺(que)陷檢(jian)測(ce)(ce),通(tong)常(chang)需(xu)要如圖(tu)4.2所示的(de)檢(jian)測(ce)(ce)方式,為(wei)(wei)實現(xian)檢(jian)測(ce)(ce)速度與(yu)檢(jian)測(ce)(ce)準確(que)性的(de)提升,同樣可(ke)(ke)采用多個探頭同時檢(jian)測(ce)(ce)。

鑒(jian)于汽(qi)車發動機(ji)用不(bu)銹鋼(gang)無縫管(guan)的高要求(qiu)(qiu),其選用的小口徑(jing)薄(bo)壁不(bu)鋼(gang)無縫鋼(gang)管(guan)的題聲(sheng)(sheng)(sheng)探傷宜采(cai)用聚(ju)然方(fang)(fang)式檢(jian)測(ce),超聲(sheng)(sheng)(sheng)傳(chuan)播過程(cheng)中(zhong),在聚(ju)焦狀(zhuang)烈下(xia)可(ke)以盡可(ke)能實現檢(jian)測(ce)聲(sheng)(sheng)(sheng)能的集(ji)中(zhong),提高檢(jian)測(ce)靈敏(min)度。一般情況(kuang)下(xia),為保證檢(jian)測(ce)速度,采(cai)用線聚(ju)焦檢(jian)測(ce)即(ji)可(ke)滿足要求(qiu)(qiu),當鋼(gang)管(guan)的檢(jian)測(ce)精度提出(chu)特別要求(qiu)(qiu)時,可(ke)采(cai)用點聚(ju)焦方(fang)(fang)式,此(ci)時檢(jian)測(ce)速度會有所降低(di)。
小口(kou)徑薄壁不銹鋼管探傷過程中,無論軸向缺陷或者周(zhou)向缺陷的(de)(de)檢測(ce),在探傷儀器性能穩定(ding)的(de)(de)前提下,影響探傷靈(ling)敏度的(de)(de)因素主要(yao)包括四(si)個方面:①. 超(chao)聲(sheng)探頭設計與加工(gong);②. 超(chao)聲(sheng)探頭偏心距選(xuan)擇;③. 超(chao)聲(sheng)聚(ju)焦聲(sheng)透鏡(jing)設計;④. 檢測(ce)設備的(de)(de)穩定(ding)性。
上述(shu)影響因(yin)素中(zhong),超(chao)聲(sheng)探(tan)頭(tou)的設計與加工是一(yi)項專業(ye)性(xing)、技術性(xing)較強的工作,涉及(ji)很多專業(ye)知識(shi),本書中(zhong)不做詳細討論(lun),僅從滿足探(tan)傷工藝要(yao)求的角度對超(chao)聲(sheng)探(tan)頭(tou)的偏心距(ju)選擇及(ji)超(chao)聲(sheng)聚焦聲(sheng)透鏡設計加以分析(xi)。
一(yi)、軸向(xiang)缺(que)陷檢(jian)測的超聲(sheng)探頭偏(pian)心距選(xuan)擇
所(suo)謂超聲探頭偏(pian)心(xin)距是指采用折(zhe)射橫波探傷時,探頭聲束中心(xin)線與鋼管輸心(xin)線的平行距離,用工加以表示(shi)。確(que)定偏(pian)心(xin)距應滿足以下兩個條件(如圖4.3所(suo)示(shi))。
1. 鋼(gang)管橫(heng)波探傷條件


當超聲入射角滿足第一臨界角,即鋼中縱波折射角為90°時,所得到的入射角即為純橫波探傷條件下的最小入射角,用 αLmin 加以表示,探傷時選擇的入射角應滿足α≥αLmin,此時折射進鋼管內的超聲波變為橫波,折射角用βs加以表示。
2. 管內壁(bi)缺陷檢測條(tiao)件


二、軸(zhou)向缺陷探傷超聲聚焦聲透鏡設(she)計(ji)
超(chao)聲(sheng)(sheng)(sheng)(sheng)探傷(shang)中所應用(yong)的聲(sheng)(sheng)(sheng)(sheng)透(tou)(tou)(tou)鏡(jing)材料通(tong)常為(wei)環氧(yang)樹脂膠(jiao)固化后形(xing)成,其聲(sheng)(sheng)(sheng)(sheng)速(su)約為(wei)2.65mm/μs.超(chao)聲(sheng)(sheng)(sheng)(sheng)探頭聲(sheng)(sheng)(sheng)(sheng)透(tou)(tou)(tou)鏡(jing)設計過(guo)程中,需要綜合考慮檢(jian)測時的水層距(ju)離以及(ji)聚焦聲(sheng)(sheng)(sheng)(sheng)透(tou)(tou)(tou)鏡(jing)的焦距(ju)大小,水層距(ju)離要求如圖4.4所示。

為避免缺陷反射波受二次表面反射波的干擾,必須滿足T水≥2T鋼,即水中的超聲傳播時間不小于鋼中的傳播時間的2倍,由該條件,可得探傷時探頭距離鋼管表面的距離條件為:

為兼顧鋼管(guan)(guan)內外壁缺(que)陷(xian),不(bu)銹鋼無(wu)縫鋼管(guan)(guan)斜(xie)角(jiao)法超(chao)聲探傷時,聚焦聲透鏡的焦點通常在鋼管(guan)(guan)水(shui)平(ping)軸(zhou)(zhou)(zhou)面(mian)上較(jiao)為合適,接下來分析焦點位于鋼管(guan)(guan)水(shui)平(ping)軸(zhou)(zhou)(zhou)面(mian)上方、水(shui)平(ping)軸(zhou)(zhou)(zhou)面(mian)上、水(shui)平(ping)軸(zhou)(zhou)(zhou)面(mian)下方的具(ju)體區(qu)別,如圖4.5所示。

1. 焦點(dian)位于鋼管水(shui)平軸面
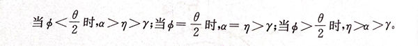
由式(4.7)可以(yi)推出(chu),當焦(jiao)點恰好位于鋼管水平軸面上時(shi),φ=0,此時(shi)γ=η<a,表示左右(you)兩(liang)側聲束(shu)人(ren)射角(jiao)相等且小(xiao)于中(zhong)間聲束(shu)入射角(jiao),γ、n均與探(tan)(tan)頭半聚焦(jiao)角(jiao)0的(de)大小(xiao)有關。在(zai)該條(tiao)件(jian)下,左右(you)兩(liang)側聲束(shu)人(ren)射角(jiao)對稱分布,可兼顧鋼管內、外壁的(de)缺陷檢測(ce),是探(tan)(tan)傷的(de)理(li)想(xiang)狀(zhuang)態。
2. 焦點位于鋼管水平軸面(mian)以上

這三種(zhong)情況(kuang)都出(chu)現(xian)折(zhe)(zhe)射(she)橫波快速向(xiang)中心集中的(de)現(xian)象(xiang),反射(she)到外(wai)壁的(de)檢測橫波面積較大,導(dao)致對鋼管(guan)外(wai)壁缺(que)(que)陷(xian)的(de)檢測靈敏(min)(min)度(du)降低,通過適當(dang)調整探(tan)頭,可(ke)實現(xian)折(zhe)(zhe)射(she)橫波聚焦到鋼管(guan)內(nei)壁,由此提高內(nei)壁缺(que)(que)陷(xian)的(de)檢測靈敏(min)(min)度(du)。
3. 焦點位于(yu)鋼管水(shui)平軸面以下

這三(san)種(zhong)情況都出現(xian)(xian)左側折射橫(heng)(heng)(heng)波折射角大,右側折射橫(heng)(heng)(heng)波折射角小,引起橫(heng)(heng)(heng)波在鋼(gang)管(guan)(guan)內焦(jiao)距增加的現(xian)(xian)象,可以(yi)將管(guan)(guan)內折射橫(heng)(heng)(heng)波聚(ju)焦(jiao)到鋼(gang)管(guan)(guan)外(wai)壁(bi)。因此,在該條件下,通(tong)過適調整探頭(tou)可提高鋼(gang)管(guan)(guan)外(wai)壁(bi)缺陷的檢測(ce)靈敏度(du)。
確定檢測(ce)時的(de)水(shui)層距離及(ji)焦距后,還必須分析(xi)超聲縱波在水(shui)中(zhong)傳播時的(de)近場長度,超聲波無法在近場以外(wai)聚焦。
以(yi)圓形晶片為例,近場長度(du)的計算公式(shi)為:

當所需的探頭透鏡焦距超出一定頻率(lv)下(xia)的超聲近(jin)場長度時,可(ke)通過改變探頭晶片的大小(xiao)或者改變探頭頻率(lv)滿(man)足聚焦要求。
需要注意的是(shi),探頭焦距與透鏡晶片的曲(qu)率半(ban)徑(jing)并不是(shi)一回事(shi),兩(liang)者之(zhi)間的關系如圖4.6所示(shi),探頭焦距與透鏡曲(qu)率半(ban)徑(jing)之(zhi)間的關系可用(yong)下式(shi)表(biao)示(shi):


以超聲(sheng)傳播介質(zhi)是(shi)水、透(tou)鏡(jing)材料是(shi)環(huan)氧(yang)樹脂為例,聲(sheng)透(tou)鏡(jing)曲率半徑與探頭焦距(ju)之間的關系(xi)為r≈0.45F。
以(yi) Φ 30×2mm不銹鋼無縫(feng)鋼管為(wei)例,具體(ti)分析如何確(que)定探頭焦距(ju)、聲(sheng)透鏡曲(qu)率半徑、檢測偏心(xin)(xin)距(ju),如圖4.7所示。其中偏心(xin)(xin)距(ju)χ為(wei)


如果超聲探頭晶(jing)片(pian)為圓盤狀,檢測頻率為5MHz,有效檢測直徑(jing)為Φ8mm,則(ze)水中縱波近場(chang)長度約為42.5mm,可(ke)以實現聚(ju)焦。
三、周(zhou)向缺險探傷超聲聚焦聲透鏡設計
小(xiao)口徑薄壁(bi)不銹鋼無縫鋼管周向缺陷探(tan)傷時,為增加有效檢測的聲(sheng)能,可同(tong)樣(yang)采用斜角(jiao)法聚焦方(fang)式檢測。
隨著現代工業生(sheng)產的(de)發(fa)(fa)展(zhan),產品(pin)競爭日(ri)益激烈(lie),幾乎所有的(de)汽(qi)車發(fa)(fa)動機生(sheng)產廠家都(dou)對(dui)發(fa)(fa)動機內應用的(de)小(xiao)(xiao)口徑薄壁不銹鋼管提出嚴(yan)苛的(de)質(zhi)量要(yao)求(qiu),不光對(dui)鋼管的(de)軸向(xiang)最(zui)小(xiao)(xiao)檢出缺陷提出明確要(yao)求(qiu),對(dui)周向(xiang)最(zui)小(xiao)(xiao)檢出缺陷也(ye)提
出了(le)嚴苛的要求,很大程度上(shang)遠超目前(qian)的國家標準甚至軍隊(dui)標準。譬如德(de)國博(bo)世公司對小口徑薄(bo)壁不銹鋼無縫鋼管(guan)的軸向、周(zhou)向最小檢出缺陷都要求達(da)到人工缺陷2mm×0.15mm×0.15mm(長×寬(kuan)×深),如圖4.8所示。

小口徑薄壁不(bu)銹鋼(gang)無(wu)縫鋼(gang)管周(zhou)向缺(que)陷(xian)檢(jian)測時所碰到的(de)技術工(gong)藝問題(ti)與(yu)軸向缺(que)陷(xian)檢(jian)測基(ji)本相同(tong),但因(yin)鋼(gang)管中折射橫(heng)波的(de)傳播途徑不(bu)同(tong),探(tan)頭聲(sheng)透鏡的(de)設計方法也就(jiu)不(bu)一樣,以(yi)下具體分析。
聚焦(jiao)探頭焦(jiao)點或(huo)焦(jiao)線位于鋼(gang)(gang)管(guan)垂直軸面上,如圖4.2所(suo)示。采(cai)用斜(xie)角法(fa)檢(jian)測時,為獲(huo)得折射橫波,根據式(4.1),必須滿足第一(yi)臨界角條(tiao)件,受不銹鋼(gang)(gang)無縫鋼(gang)(gang)管(guan)壁厚的(de)(de)影響(xiang),在(zai)管(guan)壁較薄的(de)(de)情況(kuang)下,應適當增(zeng)加聲(sheng)束(shu)的(de)(de)入(ru)射角,避免(mian)探傷盲(mang)區的(de)(de)影響(xiang),此外(wai)還可以(yi)通過提(ti)高檢(jian)測頻率,優化探頭設計等(deng)手段減(jian)小檢(jian)測盲(mang)區。
探頭焦(jiao)距(ju)(ju)的(de)(de)選(xuan)定,應(ying)以焦(jiao)點落(luo)在(zai)被檢鋼管(guan)內壁為佳。計算焦(jiao)距(ju)(ju)時,除考(kao)慮(lv)水層厚度對探傷信號(hao)的(de)(de)影響外,還應(ying)考(kao)慮(lv)折(zhe)射橫波(bo)在(zai)鋼管(guan)內傳(chuan)播的(de)(de)等效水距(ju)(ju)離(li)。如(ru)圖(tu)4.9所示,聲束在(zai)水中傳(chuan)播距(ju)(ju)離(li)為L*,折(zhe)射橫波(bo)在(zai)鋼管(guan)中的(de)(de)傳(chuan)播距(ju)(ju)離(li)為L常(chang),則等效水距(ju)(ju)離(li)為


探頭(tou)聲透鏡的曲率半徑(jing)設計按照式8 即(ji)可。

