1911年,德國科學家Van Karman首先用最小應變能方法研究了香蕉視頻app蘋果:不銹鋼管彎管加工后的應力應變特性,之后的一些學者都以此方法為基礎,僅在級數的取舍等方面作了改進。Clark則認為彎管段為封閉環殼的一部分,通過薄殼方程并以兩個變量來表達這些方程,其解與已有解非常接近,且數學處理十分成功,但上述都僅限于彎曲半徑較大的情形。Pardue和Vigness,還有 Turner、Ford都研究了彎曲半徑較小的情形,給出了整個彎管截面的應力曲線。直到1956年,Kafla和Dunn注意到內壓對柔度系數的影響,指出了內壓可使彎管的柔度系數降低,剛度增大。Rodabaugh 和 George 利用能量方法研究了內壓的影響,給出了影響計算的理論公式。Clark等的計算公式和Rodabaugh等的內壓影響修正公式現在被各國規范所廣泛使用。
我(wo)國在(zai)“八五”“九五”科技(ji)攻關期間,已基(ji)本解(jie)決(jue)了(le)(le)(le)壓(ya)(ya)(ya)(ya)(ya)力(li)容器、壓(ya)(ya)(ya)(ya)(ya)力(li)管(guan)(guan)(guan)(guan)(guan)道(dao)(dao)直管(guan)(guan)(guan)(guan)(guan)段的(de)(de)(de)(de)塑(su)性(xing)(xing)(xing)極(ji)(ji)(ji)限(xian)載(zai)(zai)荷(he)計(ji)算(suan)(suan)(suan)及(ji)工程(cheng)評估(gu)問題,但未涉及(ji)彎(wan)(wan)(wan)(wan)管(guan)(guan)(guan)(guan)(guan)等復(fu)雜(za)結(jie)構。鑒于其對(dui)管(guan)(guan)(guan)(guan)(guan)道(dao)(dao)系統承載(zai)(zai)能(neng)力(li)的(de)(de)(de)(de)重要影響(xiang),國家科技(ji)部(bu)將壓(ya)(ya)(ya)(ya)(ya)力(li)管(guan)(guan)(guan)(guan)(guan)道(dao)(dao)元件的(de)(de)(de)(de)安(an)全(quan)評估(gu)技(ji)術列入“十五”國家重大科技(ji)攻關的(de)(de)(de)(de)相(xiang)關項目中。文(wen)獻(xian)(xian)給出(chu)了(le)(le)(le)薄(bo)(bo)壁彎(wan)(wan)(wan)(wan)管(guan)(guan)(guan)(guan)(guan)的(de)(de)(de)(de)理論(lun)(lun)解(jie),文(wen)獻(xian)(xian)采(cai)用數值分(fen)(fen)(fen)析的(de)(de)(de)(de)方(fang)法(fa)(fa),對(dui)不(bu)銹鋼彎(wan)(wan)(wan)(wan)管(guan)(guan)(guan)(guan)(guan)結(jie)構在(zai)復(fu)雜(za)載(zai)(zai)荷(he)作(zuo)(zuo)(zuo)用下(xia)(xia)的(de)(de)(de)(de)極(ji)(ji)(ji)限(xian)與(yu)安(an)定分(fen)(fen)(fen)析進行了(le)(le)(le)深入、系統的(de)(de)(de)(de)研(yan)究(jiu),發展了(le)(le)(le)多(duo)組載(zai)(zai)荷(he)作(zuo)(zuo)(zuo)用下(xia)(xia)不(bu)銹鋼管(guan)(guan)(guan)(guan)(guan)彎(wan)(wan)(wan)(wan)管(guan)(guan)(guan)(guan)(guan)結(jie)構塑(su)性(xing)(xing)(xing)極(ji)(ji)(ji)限(xian)上限(xian)分(fen)(fen)(fen)析的(de)(de)(de)(de)有(you)限(xian)元數學規劃方(fang)法(fa)(fa),得出(chu)了(le)(le)(le)相(xiang)應的(de)(de)(de)(de)無搜索優化迭代求解(jie)算(suan)(suan)(suan)法(fa)(fa),給出(chu)了(le)(le)(le)可較好地解(jie)決(jue)復(fu)雜(za)載(zai)(zai)荷(he)作(zuo)(zuo)(zuo)用下(xia)(xia)彎(wan)(wan)(wan)(wan)管(guan)(guan)(guan)(guan)(guan)結(jie)構與(yu)安(an)定分(fen)(fen)(fen)析的(de)(de)(de)(de)數值算(suan)(suan)(suan)法(fa)(fa)。文(wen)獻(xian)(xian)就含局部(bu)減(jian)薄(bo)(bo)彎(wan)(wan)(wan)(wan)管(guan)(guan)(guan)(guan)(guan)的(de)(de)(de)(de)極(ji)(ji)(ji)限(xian)載(zai)(zai)荷(he)作(zuo)(zuo)(zuo)了(le)(le)(le)研(yan)究(jiu),得出(chu)了(le)(le)(le)含局部(bu)減(jian)薄(bo)(bo)彎(wan)(wan)(wan)(wan)管(guan)(guan)(guan)(guan)(guan)的(de)(de)(de)(de)極(ji)(ji)(ji)限(xian)載(zai)(zai)荷(he)的(de)(de)(de)(de)工程(cheng)計(ji)算(suan)(suan)(suan)方(fang)法(fa)(fa);文(wen)獻(xian)(xian)對(dui)在(zai)拉、壓(ya)(ya)(ya)(ya)(ya)、彎(wan)(wan)(wan)(wan)、扭(niu)和(he)(he)內(nei)(nei)壓(ya)(ya)(ya)(ya)(ya)作(zuo)(zuo)(zuo)用下(xia)(xia)含缺陷(xian)彎(wan)(wan)(wan)(wan)管(guan)(guan)(guan)(guan)(guan)的(de)(de)(de)(de)極(ji)(ji)(ji)限(xian)載(zai)(zai)荷(he)作(zuo)(zuo)(zuo)了(le)(le)(le)研(yan)究(jiu),得出(chu)了(le)(le)(le)彎(wan)(wan)(wan)(wan)管(guan)(guan)(guan)(guan)(guan)在(zai)組合載(zai)(zai)荷(he)作(zuo)(zuo)(zuo)用下(xia)(xia)的(de)(de)(de)(de)極(ji)(ji)(ji)限(xian)載(zai)(zai)荷(he)的(de)(de)(de)(de)計(ji)算(suan)(suan)(suan)公式,能(neng)滿(man)足一(yi)般工程(cheng)的(de)(de)(de)(de)計(ji)算(suan)(suan)(suan)。文(wen)獻(xian)(xian)對(dui)環(huan)向(xiang)穿(chuan)透(tou)裂(lie)(lie)紋(wen)的(de)(de)(de)(de)斜(xie)接(jie)彎(wan)(wan)(wan)(wan)管(guan)(guan)(guan)(guan)(guan)進行了(le)(le)(le)有(you)限(xian)元分(fen)(fen)(fen)析,計(ji)算(suan)(suan)(suan)給出(chu)了(le)(le)(le)線彈(dan)性(xing)(xing)(xing)條件下(xia)(xia),焊制斜(xie)接(jie)彎(wan)(wan)(wan)(wan)管(guan)(guan)(guan)(guan)(guan)環(huan)向(xiang)穿(chuan)透(tou)裂(lie)(lie)紋(wen)分(fen)(fen)(fen)別在(zai)內(nei)(nei)壓(ya)(ya)(ya)(ya)(ya)、彎(wan)(wan)(wan)(wan)矩(ju)載(zai)(zai)荷(he)作(zuo)(zuo)(zuo)用下(xia)(xia)斷裂(lie)(lie)參(can)量K1的(de)(de)(de)(de)工程(cheng)應用解(jie);同(tong)(tong)時(shi)以(yi)內(nei)(nei)壓(ya)(ya)(ya)(ya)(ya)、彎(wan)(wan)(wan)(wan)矩(ju)不(bu)同(tong)(tong)比例的(de)(de)(de)(de)載(zai)(zai)荷(he)比作(zuo)(zuo)(zuo)用下(xia)(xia)求解(jie)出(chu)全(quan)塑(su)性(xing)(xing)(xing)J積(ji)分(fen)(fen)(fen)值。文(wen)獻(xian)(xian)對(dui)沿管(guan)(guan)(guan)(guan)(guan)向(xiang)穿(chuan)透(tou)裂(lie)(lie)紋(wen)的(de)(de)(de)(de)斜(xie)接(jie)彎(wan)(wan)(wan)(wan)管(guan)(guan)(guan)(guan)(guan)在(zai)內(nei)(nei)壓(ya)(ya)(ya)(ya)(ya)、彎(wan)(wan)(wan)(wan)矩(ju)聯合作(zuo)(zuo)(zuo)用下(xia)(xia)的(de)(de)(de)(de)整體應力(li)進行了(le)(le)(le)分(fen)(fen)(fen)析,并利用斷裂(lie)(lie)力(li)學的(de)(de)(de)(de)理論(lun)(lun)和(he)(he)有(you)限(xian)元方(fang)法(fa)(fa)計(ji)算(suan)(suan)(suan)了(le)(le)(le)內(nei)(nei)壓(ya)(ya)(ya)(ya)(ya)、內(nei)(nei)壓(ya)(ya)(ya)(ya)(ya)與(yu)彎(wan)(wan)(wan)(wan)矩(ju)組合載(zai)(zai)荷(he)作(zuo)(zuo)(zuo)用下(xia)(xia)焊制斜(xie)接(jie)彎(wan)(wan)(wan)(wan)管(guan)(guan)(guan)(guan)(guan)沿管(guan)(guan)(guan)(guan)(guan)向(xiang)穿(chuan)透(tou)裂(lie)(lie)紋(wen)的(de)(de)(de)(de)線彈(dan)性(xing)(xing)(xing)斷裂(lie)(lie)參(can)量 K1和(he)(he)全(quan)塑(su)性(xing)(xing)(xing)J積(ji)分(fen)(fen)(fen)。
從(cong)國內(nei)外的(de)(de)(de)研究現狀來(lai)看(kan),目(mu)前對(dui)(dui)不銹(xiu)鋼管(guan)(guan)(guan)(guan)(guan)(guan)道(dao)(dao)的(de)(de)(de)研究多集(ji)中(zhong)在(zai)直(zhi)管(guan)(guan)(guan)(guan)(guan)(guan)段,圍繞管(guan)(guan)(guan)(guan)(guan)(guan)道(dao)(dao)中(zhong)重要而(er)薄弱的(de)(de)(de)環節(jie)-彎(wan)(wan)(wan)(wan)管(guan)(guan)(guan)(guan)(guan)(guan)的(de)(de)(de)研究相(xiang)(xiang)對(dui)(dui)較少。由于彎(wan)(wan)(wan)(wan)管(guan)(guan)(guan)(guan)(guan)(guan)幾(ji)何中(zhong)心(xin)線(xian)(xian)是曲線(xian)(xian),加(jia)之(zhi)受制造工(gong)藝(yi)(yi)的(de)(de)(de)影響(xiang),管(guan)(guan)(guan)(guan)(guan)(guan)壁(bi)往往不等厚(hou),存在(zai)截面橢圓化,外拱壁(bi)厚(hou)局部變(bian)(bian)薄,內(nei)拱壁(bi)厚(hou)局部變(bian)(bian)厚(hou)甚至出(chu)(chu)現皺褶(zhe)等缺(que)陷,當(dang)受到內(nei)壓(ya)和彎(wan)(wan)(wan)(wan)矩的(de)(de)(de)聯合作用時,幾(ji)何和材料的(de)(de)(de)非線(xian)(xian)性相(xiang)(xiang)互作用,使得(de)彎(wan)(wan)(wan)(wan)管(guan)(guan)(guan)(guan)(guan)(guan)的(de)(de)(de)應(ying)力(li)狀態比直(zhi)管(guan)(guan)(guan)(guan)(guan)(guan)復雜,因而(er)研究起來(lai)也相(xiang)(xiang)對(dui)(dui)復雜。而(er)對(dui)(dui)超高壓(ya)彎(wan)(wan)(wan)(wan)管(guan)(guan)(guan)(guan)(guan)(guan)還要涉及(ji)彎(wan)(wan)(wan)(wan)管(guan)(guan)(guan)(guan)(guan)(guan)的(de)(de)(de)應(ying)力(li)沿壁(bi)厚(hou)分布不均勻和應(ying)力(li)集(ji)中(zhong)的(de)(de)(de)現象(xiang),因而(er)對(dui)(dui)超高壓(ya)彎(wan)(wan)(wan)(wan)管(guan)(guan)(guan)(guan)(guan)(guan)的(de)(de)(de)研究就(jiu)更加(jia)復雜,目(mu)前對(dui)(dui)超高壓(ya)彎(wan)(wan)(wan)(wan)管(guan)(guan)(guan)(guan)(guan)(guan)的(de)(de)(de)研究文(wen)獻(xian)(xian)資料報(bao)(bao)道(dao)(dao)得(de)很少,而(er)現有的(de)(de)(de)文(wen)獻(xian)(xian)資料報(bao)(bao)道(dao)(dao)得(de)最多的(de)(de)(de)是超高壓(ya)彎(wan)(wan)(wan)(wan)管(guan)(guan)(guan)(guan)(guan)(guan)的(de)(de)(de)加(jia)工(gong)與制造工(gong)藝(yi)(yi),對(dui)(dui)超高壓(ya)彎(wan)(wan)(wan)(wan)管(guan)(guan)(guan)(guan)(guan)(guan)的(de)(de)(de)受力(li)分析及(ji)工(gong)程(cheng)中(zhong)的(de)(de)(de)應(ying)用的(de)(de)(de)研究報(bao)(bao)道(dao)(dao)只有楊家瑞在(zai)文(wen)獻(xian)(xian)中(zhong)提到了(le)超高壓(ya)彎(wan)(wan)(wan)(wan)管(guan)(guan)(guan)(guan)(guan)(guan)的(de)(de)(de)極(ji)限載(zai)荷的(de)(de)(de)計算(suan)方(fang)法(fa)。2010年(nian),毛苗等人(ren)對(dui)(dui)受內(nei)壓(ya)作用下的(de)(de)(de)90度大型厚(hou)壁(bi)彎(wan)(wan)(wan)(wan)管(guan)(guan)(guan)(guan)(guan)(guan)進行了(le)應(ying)力(li)計算(suan)分析及(ji)試驗研究,得(de)到了(le)彎(wan)(wan)(wan)(wan)管(guan)(guan)(guan)(guan)(guan)(guan)的(de)(de)(de)應(ying)力(li)分布規律。2011年(nian),樂增等人(ren)應(ying)用雙剪強度理(li)論(lun)推導(dao)出(chu)(chu)求解不銹(xiu)鋼管(guan)(guan)(guan)(guan)(guan)(guan)彎(wan)(wan)(wan)(wan)管(guan)(guan)(guan)(guan)(guan)(guan)的(de)(de)(de)極(ji)限載(zai)荷一般(ban)公式,如式(1-1)所示。

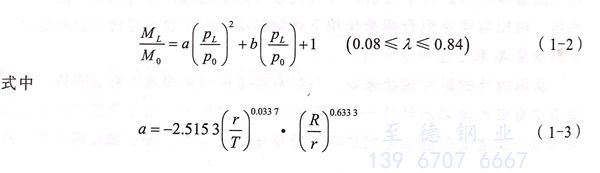
2014年,朱倩(qian)等人基于統(tong)(tong)(tong)一(yi)(yi)強(qiang)(qiang)度(du)(du)理(li)論(lun),考慮(lv)中間(jian)主應(ying)力效(xiao)應(ying)及(ji)拉壓(ya)(ya)不(bu)等特性(xing),建立了(le)等壁(bi)厚(hou)、變壁(bi)厚(hou)及(ji)局(ju)部減薄壓(ya)(ya)力彎(wan)管(guan)的(de)(de)(de)(de)極(ji)限內壓(ya)(ya)統(tong)(tong)(tong)一(yi)(yi)解(jie),研(yan)究(jiu)(jiu)了(le)統(tong)(tong)(tong)一(yi)(yi)強(qiang)(qiang)度(du)(du)理(li)論(lun)參數、拉壓(ya)(ya)比、彎(wan)曲系數和不(bu)銹鋼管(guan)彎(wan)管(guan)壁(bi)厚(hou)對統(tong)(tong)(tong)一(yi)(yi)解(jie)的(de)(de)(de)(de)影響特性(xing),結果表(biao)明:彎(wan)曲系數、強(qiang)(qiang)度(du)(du)理(li)論(lun)參數等因素對極(ji)限內壓(ya)(ya)曲線的(de)(de)(de)(de)影響顯(xian)著,考慮(lv)中間(jian)主應(ying)力效(xiao)應(ying)能(neng)充分發(fa)揮(hui)材料(liao)的(de)(de)(de)(de)強(qiang)(qiang)度(du)(du)潛能(neng)。李建等人考慮(lv)幾何(he)和材料(liao)的(de)(de)(de)(de)非線性(xing)相互作用,采用有限元(yuan)方法研(yan)究(jiu)(jiu)了(le)復雜載荷下不(bu)銹鋼彎(wan)管(guan)的(de)(de)(de)(de)極(ji)限載荷,提出了(le)彎(wan)矩(ju)以及(ji)內壓(ya)(ya)、彎(wan)矩(ju)聯合作用下的(de)(de)(de)(de)極(ji)限壓(ya)(ya)力、極(ji)限彎(wan)矩(ju)與彎(wan)管(guan)幾何(he)尺寸(cun)的(de)(de)(de)(de)定量關系如式(shi)(1-2)。


