漏磁場有兩種(zhong)拾取(qu)方法,既可以(yi)測(ce)(ce)量漏磁感應強(qiang)(qiang)度的(de)絕對值(zhi),也可以(yi)測(ce)(ce)量漏磁感應強(qiang)(qiang)度的(de)梯度值(zhi)。
磁場(chang)傳感(gan)(gan)(gan)器(qi)的作用是將(jiang)磁場(chang)轉(zhuan)換為電信號(hao)。按(an)原理可分(fen)為體(ti)(ti)效(xiao)應元件(jian)(jian)、面效(xiao)應元件(jian)(jian)、P-N節注入和(he)(he)表(biao)面復合(he)效(xiao)應元件(jian)(jian)、量子效(xiao)應元件(jian)(jian)、磁致伸縮效(xiao)應元件(jian)(jian)和(he)(he)光纖磁傳感(gan)(gan)(gan)器(qi)等。磁場(chang)傳感(gan)(gan)(gan)器(qi)都是建立在(zai)各種效(xiao)應和(he)(he)物理現象的基礎(chu)之上的,表(biao)3-1給出了(le)不同種類磁場(chang)傳感(gan)(gan)(gan)器(qi)的測(ce)量范圍,它們的敏(min)感(gan)(gan)(gan)范圍差異較大。在(zai)具(ju)體(ti)(ti)應用過程中,需要根據測(ce)量對(dui)象的特點(dian)來(lai)選擇適合(he)的傳感(gan)(gan)(gan)器(qi)。
在不銹鋼管漏磁檢測中,常使用的有下列幾種磁敏傳感器。

1. 各向(xiang)異性磁阻傳感器
各向(xiang)(xiang)異性(xing)磁(ci)(ci)(ci)阻傳感器 AMR(Anisotropic Magneto-Resistive sensors)由沉(chen)積在硅片上的(de)(de)(de)坡莫合金(Ni80Fe20)薄膜形成(cheng)(cheng)電(dian)(dian)阻,沉(chen)積時外(wai)加磁(ci)(ci)(ci)場,形成(cheng)(cheng)易(yi)(yi)磁(ci)(ci)(ci)化(hua)軸方(fang)向(xiang)(xiang)。易(yi)(yi)磁(ci)(ci)(ci)化(hua)軸方(fang)向(xiang)(xiang)是指各向(xiang)(xiang)異性(xing)的(de)(de)(de)磁(ci)(ci)(ci)體能(neng)獲(huo)得最佳磁(ci)(ci)(ci)性(xing)能(neng)的(de)(de)(de)方(fang)向(xiang)(xiang),也就是無外(wai)界磁(ci)(ci)(ci)干擾時磁(ci)(ci)(ci)疇整齊排列的(de)(de)(de)方(fang)向(xiang)(xiang)。鐵磁(ci)(ci)(ci)材料的(de)(de)(de)電(dian)(dian)阻與電(dian)(dian)流(liu)(liu)和磁(ci)(ci)(ci)化(hua)方(fang)向(xiang)(xiang)的(de)(de)(de)夾角有關,電(dian)(dian)流(liu)(liu)與磁(ci)(ci)(ci)化(hua)方(fang)向(xiang)(xiang)平行時電(dian)(dian)阻R最大,電(dian)(dian)流(liu)(liu)與磁(ci)(ci)(ci)化(hua)方(fang)向(xiang)(xiang)垂直(zhi)時電(dian)(dian)阻Rmin最小,電(dian)(dian)流(liu)(liu)與磁(ci)(ci)(ci)化(hua)方(fang)向(xiang)(xiang)成(cheng)(cheng)0角時,電(dian)(dian)阻可表示為
R=Rmin+(Rmax-Rmin)cos2θ (3-2)
在磁阻傳感器中,為了消除溫度(du)等外(wai)(wai)(wai)界因素對輸(shu)出的影(ying)響,一般由4個(ge)相同的磁阻元件構成惠斯通(tong)電橋。理論分(fen)析與(yu)實(shi)踐表明,采用45°偏置磁場(chang),當沿與(yu)易(yi)磁化軸垂(chui)直的方向(xiang)施加(jia)(jia)外(wai)(wai)(wai)磁場(chang),且外(wai)(wai)(wai)磁場(chang)強(qiang)度(du)不太(tai)大時,電橋輸(shu)出與(yu)外(wai)(wai)(wai)加(jia)(jia)磁場(chang)強(qiang)度(du)呈線性關系。
2. 磁(ci)通門(men)
磁通門傳感(gan)(gan)器(qi)又稱為磁飽和(he)式磁敏傳感(gan)(gan)器(qi),它是(shi)利用某些高(gao)磁導(dao)率的軟磁性(xing)材(cai)料(liao)(如坡莫合金)做磁心(xin),以其在交直(zhi)流磁場(chang)作用下的磁飽和(he)特性(xing)以及法(fa)拉第(di)電磁感(gan)(gan)應原理研制的磁場(chang)測量裝置(zhi)。
這種(zhong)磁(ci)(ci)敏傳感(gan)器(qi)的(de)最大特點是適合(he)(he)測(ce)量(liang)零磁(ci)(ci)場附近的(de)弱磁(ci)(ci)場。傳感(gan)器(qi)體(ti)積(ji)小,重量(liang)輕,功耗低,不(bu)受磁(ci)(ci)場梯度(du)影響(xiang),測(ce)量(liang)的(de)靈敏度(du)可(ke)達0.01nT,并(bing)且可(ke)以和(he)磁(ci)(ci)秤混(hun)合(he)(he)使用(yong)(yong)。該裝置已(yi)普遍應用(yong)(yong)于(yu)航空、地(di)(di)面、測(ce)井等方面的(de)磁(ci)(ci)法(fa)勘(kan)探工作中。在軍事上,也(ye)可(ke)用(yong)(yong)于(yu)尋(xun)找地(di)(di)下武器(qi)(炮彈、地(di)(di)雷等)和(he)反潛。還可(ke)用(yong)(yong)于(yu)預報(bao)天然(ran)地(di)(di)震及空間磁(ci)(ci)測(ce)等。
3. 巨磁阻元(yuan)件
物質在(zai)一(yi)(yi)定磁(ci)(ci)(ci)場(chang)(chang)作用下電(dian)阻發生改變(bian)的(de)(de)(de)(de)現(xian)象(xiang)(xiang),稱為磁(ci)(ci)(ci)阻效(xiao)(xiao)應(ying)。磁(ci)(ci)(ci)性金屬和合(he)金材料一(yi)(yi)般(ban)都有(you)這(zhe)種(zhong)現(xian)象(xiang)(xiang)。一(yi)(yi)般(ban)情(qing)況下,物質的(de)(de)(de)(de)電(dian)阻率在(zai)磁(ci)(ci)(ci)場(chang)(chang)中僅發生微(wei)小的(de)(de)(de)(de)變(bian)化(hua)(hua),但(dan)在(zai)某種(zhong)條件下,電(dian)阻變(bian)化(hua)(hua)的(de)(de)(de)(de)幅(fu)度相(xiang)當大(da),比(bi)通常(chang)情(qing)況下高十余倍,稱為巨磁(ci)(ci)(ci)阻效(xiao)(xiao)應(ying)(GMR)。這(zhe)種(zhong)效(xiao)(xiao)應(ying)來自于(yu)載流(liu)電(dian)子(zi)的(de)(de)(de)(de)不同自旋(xuan)狀態與磁(ci)(ci)(ci)場(chang)(chang)的(de)(de)(de)(de)作用不同,因而(er)導致電(dian)阻值的(de)(de)(de)(de)變(bian)化(hua)(hua)。GMR是一(yi)(yi)個(ge)量(liang)子(zi)力學效(xiao)(xiao)應(ying),它是在(zai)層狀的(de)(de)(de)(de)磁(ci)(ci)(ci)性薄膜結構(gou)中觀察到的(de)(de)(de)(de),這(zhe)種(zhong)結構(gou)由鐵(tie)磁(ci)(ci)(ci)材料和非磁(ci)(ci)(ci)材料薄層交(jiao)替疊合(he)而(er)成(cheng)。當鐵(tie)磁(ci)(ci)(ci)層的(de)(de)(de)(de)磁(ci)(ci)(ci)矩(ju)(ju)相(xiang)互平行時,載流(liu)子(zi)與自旋(xuan)有(you)關的(de)(de)(de)(de)散(san)射最小,材料有(you)最小的(de)(de)(de)(de)電(dian)阻。當鐵(tie)磁(ci)(ci)(ci)層的(de)(de)(de)(de)磁(ci)(ci)(ci)矩(ju)(ju)為反(fan)向(xiang)平行時,與自旋(xuan)有(you)關的(de)(de)(de)(de)散(san)射最強,材料的(de)(de)(de)(de)電(dian)阻最大(da)。
構成(cheng)(cheng)GMR磁頭和傳感(gan)器(qi)的核(he)心元(yuan)(yuan)件(jian)是(shi)自(zi)旋閥(fa)(spin valve)元(yuan)(yuan)件(jian)。它的基本結構是(shi)由(you)釘扎(zha)磁性層(ceng)(如(ru)Co)、Cu間(jian)隔(ge)層(ceng)和自(zi)由(you)磁性層(ceng)(如(ru)NiFe等(deng)易磁化層(ceng))組成(cheng)(cheng)的多層(ceng)膜(mo)。由(you)于釘扎(zha)磁性層(ceng)的磁矩與自(zi)由(you)磁性層(ceng)的磁矩之間(jian)的夾角發生變(bian)(bian)化會導致(zhi)SV-GMR元(yuan)(yuan)件(jian)的電(dian)阻值(zhi)改變(bian)(bian),進(jin)而使輸出(chu)電(dian)流(liu)發生變(bian)(bian)化。運用SV-GMR元(yuan)(yuan)件(jian)的磁傳感(gan)器(qi),其檢測靈敏度(du)比使用MR元(yuan)(yuan)件(jian)的高(gao)幾個數量級,更容(rong)易集成(cheng)(cheng)化,封裝(zhuang)尺(chi)寸更小,可靠性更高(gao)。它不僅(jin)可以取代以前(qian)的MR傳感(gan)器(qi),還可以制成(cheng)(cheng)傳感(gan)器(qi)陣列,實現(xian)智(zhi)能化,用來表述(shu)通行車輛、飛機機翼、建筑(zhu)防護裝(zhuang)置或管道系統中隱蔽缺陷的特(te)征(zheng),跟蹤地(di)磁場的異常現(xian)象等(deng)。當(dang)前(qian),GMR傳感(gan)器(qi)已在液壓(ya)氣缸位置傳感(gan)、真假紙(zhi)幣(bi)識(shi)別、軸承編碼、電(dian)流(liu)檢測與控制、旋轉位置檢測、車輛通行情況檢測等(deng)領域得到應用。
4. 霍爾元件(jian)
霍爾元(yuan)件在漏(lou)磁(ci)檢測(ce)中(zhong)應用(yong)較為廣泛。霍爾元(yuan)件是(shi)由半導體(ti)材料(liao)制(zhi)成的(de)一種(zhong)晶體(ti)。當給晶體(ti)材料(liao)通(tong)以電(dian)(dian)流并(bing)置于磁(ci)場之(zhi)中(zhong)時,在晶體(ti)的(de)兩面(mian)就會(hui)產生電(dian)(dian)壓,電(dian)(dian)壓的(de)大(da)小與磁(ci)場強度成正比關系。
固(gu)體(ti)導電(dian)材料幾(ji)乎可以使電(dian)子暢通無阻(zu)地流過,就像傳(chuan)統的(de)臺(tai)球(qiu)模型演示的(de)那樣,晶體(ti)點陣(zhen)上的(de)離(li)子不會使傳(chuan)導電(dian)子發(fa)生折(zhe)射(she)(she)。當電(dian)流由(you)晶體(ti)的(de)一端輸入時(shi),電(dian)子或者相(xiang)互之(zhi)間發(fa)生折(zhe)射(she)(she),或者向著晶體(ti)的(de)另一端折(zhe)射(she)(she)。
根據固(gu)體物理理論可(ke)知(zhi),晶體上(shang)的電(dian)壓(ya)Vh為: Vh=RhIBz/b (3-3)
式中(zhong),1為(wei)所使用的電流;Bz為(wei)磁場強(qiang)度(du)在垂直于電流方(fang)向上(shang)的分量;b為(wei)晶體在磁場方(fang)向上(shang)的厚度(du);Rh為(wei)霍爾系(xi)數。
一般情況(kuang)下,如(ru)果晶體(ti)與磁場B之(zhi)間成一定夾(jia)角,則 B2=Beosθ。
由金屬(shu)制(zhi)成(cheng)的(de)霍爾元(yuan)(yuan)(yuan)件(jian)并不(bu)(bu)是最好(hao)的(de),因為金屬(shu)的(de)霍爾系數都很(hen)低。根據霍爾元(yuan)(yuan)(yuan)件(jian)工作原(yuan)理,霍爾系數越大,霍爾電壓也就(jiu)越高。因此,在制(zhi)作霍爾元(yuan)(yuan)(yuan)件(jian)時,一般選用元(yuan)(yuan)(yuan)素(su)周期表中第II和第IV族元(yuan)(yuan)(yuan)素(su)混合制(zhi)作,而且其對溫度的(de)變化(hua)也最不(bu)(bu)敏(min)感。此區(qu)域的(de)元(yuan)(yuan)(yuan)素(su),載流(liu)子一般為空位而不(bu)(bu)是電子。
5. 感應線圈(quan)
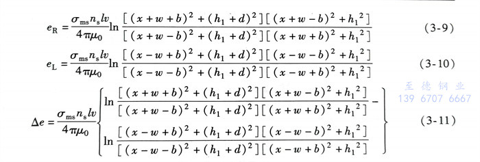
感應(ying)線圈是鋼管漏磁(ci)(ci)檢測中(zhong)應(ying)用最為廣泛的(de)磁(ci)(ci)敏(min)傳感器,主要有水平和垂直線圈兩種布置(zhi)方(fang)式,如圖3-2所示。根(gen)據提(ti)離效應(ying)和法拉第電磁(ci)(ci)感應(ying)定律,為了(le)使檢測信(xin)號與(yu)缺陷特征之間具有良(liang)好的(de)對應(ying)關(guan)系(xi),感應(ying)線圈提(ti)離距離以及(ji)掃查速度(du)應(ying)盡量(liang)保持恒(heng)定。


水平(ping)線(xian)(xian)圈(quan)(quan)(quan)以速度v穿越缺(que)陷上部漏磁(ci)場時所產生的感(gan)應(ying)電(dian)(dian)(dian)動勢應(ying)為(wei)(wei)線(xian)(xian)圈(quan)(quan)(quan)前沿和尾部感(gan)應(ying)電(dian)(dian)(dian)動勢之(zhi)差(cha)。設線(xian)(xian)圈(quan)(quan)(quan)長度為(wei)(wei)l、寬度為(wei)(wei)2w、提離值為(wei)(wei)h1、匝(za)數為(wei)(wei),線(xian)(xian)圈(quan)(quan)(quan)前沿產生電(dian)(dian)(dian)動勢為(wei)(wei)SueR,線(xian)(xian)圈(quan)(quan)(quan)尾部產生電(dian)(dian)(dian)動勢為(wei)(wei)eL,線(xian)(xian)圈(quan)(quan)(quan)產生感(gan)應(ying)電(dian)(dian)(dian)動勢為(wei)(wei)Δe,根據法拉第電(dian)(dian)(dian)磁(ci)感(gan)應(ying)定(ding)律可得
此(ci)外,從圖3-3中可以看出,水平線圈(quan)輸出感(gan)應(ying)(ying)(ying)電(dian)動(dong)(dong)(dong)(dong)勢本(ben)質為處于(yu)同一提離高度(du)(du)的前后導線在(zai)同一時刻的電(dian)動(dong)(dong)(dong)(dong)勢差動(dong)(dong)(dong)(dong)輸出。因(yin)此(ci),感(gan)應(ying)(ying)(ying)線圈(quan)電(dian)動(dong)(dong)(dong)(dong)勢輸出與線圈(quan)寬度(du)(du)有關,并(bing)存在(zai)最佳寬度(du)(du)使得(de)線圈(quan)輸出最大感(gan)應(ying)(ying)(ying)電(dian)動(dong)(dong)(dong)(dong)勢。此(ci)時,線圈(quan)運動(dong)(dong)(dong)(dong)至缺陷中間位(wei)置(zhi),并(bing)且前沿產(chan)生正(zheng)向極(ji)值(zhi)電(dian)動(dong)(dong)(dong)(dong)勢而尾部產(chan)生反向極(ji)值(zhi)電(dian)動(dong)(dong)(dong)(dong)勢,經過(guo)差動(dong)(dong)(dong)(dong)后可獲取最高感(gan)應(ying)(ying)(ying)電(dian)動(dong)(dong)(dong)(dong)勢輸出。根據式(3-11),當(dang)x=0時,可獲得(de)感(gan)應(ying)(ying)(ying)線圈(quan)位(wei)于(yu)缺陷中間位(wei)置(zhi)時電(dian)動(dong)(dong)(dong)(dong)勢Δeo與線圈(quan)寬度(du)(du)參數w的關系(xi)式Δeo(w),即


同樣,設(she)置缺(que)陷(xian)(xian)寬(kuan)(kuan)度2b為0.5mm,深度d為0.75mm以及感(gan)(gan)應線(xian)(xian)圈(quan)(quan)(quan)提離高度h1為0.25mm,根(gen)據式(shi)(3-13)可獲得最佳(jia)線(xian)(xian)圈(quan)(quan)(quan)寬(kuan)(kuan)度參(can)數wo為0.3253mm。根(gen)據線(xian)(xian)圈(quan)(quan)(quan)最佳(jia)寬(kuan)(kuan)度參(can)數重新計算感(gan)(gan)應線(xian)(xian)圈(quan)(quan)(quan)前沿(yan)、尾部以及整體輸(shu)出(chu)(chu)(chu)(chu)(chu)感(gan)(gan)應電動勢曲(qu)線(xian)(xian),如圖3-4所示(shi)。從圖中(zhong)可以看出(chu)(chu)(chu)(chu)(chu),當(dang)線(xian)(xian)圈(quan)(quan)(quan)移動到缺(que)陷(xian)(xian)正上方(fang)時,線(xian)(xian)圈(quan)(quan)(quan)前沿(yan)感(gan)(gan)應電動勢輸(shu)出(chu)(chu)(chu)(chu)(chu)極小值(zhi)(zhi)而(er)尾部輸(shu)出(chu)(chu)(chu)(chu)(chu)極大(da)值(zhi)(zhi),經差動后水平(ping)線(xian)(xian)圈(quan)(quan)(quan)輸(shu)出(chu)(chu)(chu)(chu)(chu)電動勢達到最大(da)值(zhi)(zhi)。檢測線(xian)(xian)圈(quan)(quan)(quan)的(de)最優寬(kuan)(kuan)度參(can)數與缺(que)陷(xian)(xian)尺寸和(he)傳(chuan)感(gan)(gan)器提離值(zhi)(zhi)有(you)關。在實(shi)際生產過(guo)程(cheng)中(zhong),可根(gen)據鋼管軋制過(guo)程(cheng)中(zhong)產生的(de)自然(ran)缺(que)陷(xian)(xian)特征對檢測線(xian)(xian)圈(quan)(quan)(quan)寬(kuan)(kuan)度進(jin)行優化設(she)計,以達到最佳(jia)的(de)檢測效果。

下面(mian)進一步討(tao)論(lun)垂(chui)直線圈漏磁信(xin)號輸出特性。
如(ru)圖3-5所(suo)示,垂直(zhi)線(xian)圈以速度,穿(chuan)越缺陷上部(bu)漏(lou)磁場時(shi)所(suo)產(chan)生的電(dian)動勢(shi)輸(shu)出應(ying)(ying)為(wei)(wei)線(xian)圈頂部(bu)和底部(bu)感應(ying)(ying)電(dian)動勢(shi)之(zhi)差。設(she)線(xian)圈長度為(wei)(wei)l、匝數為(wei)(wei)、寬度為(wei)(wei)2w、中(zhong)心提離(li)值為(wei)(wei),線(xian)圈頂部(bu)產(chan)生電(dian)動勢(shi)為(wei)(wei)er,線(xian)圈底部(bu)產(chan)生電(dian)動勢(shi)為(wei)(wei)eB,線(xian)圈產(chan)生整體感應(ying)(ying)電(dian)動勢(shi)為(wei)(wei)Δe,根據(ju)法拉第電(dian)磁感應(ying)(ying)定律(lv)可得(de)

從圖3-5中可(ke)以看出(chu)(chu)(chu),eт、eB和e三者波形相似,垂直(zhi)(zhi)線(xian)(xian)(xian)圈輸出(chu)(chu)(chu)感應(ying)(ying)(ying)電動(dong)勢(shi)(shi)本質(zhi)為上下(xia)兩根導(dao)線(xian)(xian)(xian)在(zai)同一時(shi)刻(ke)的電動(dong)勢(shi)(shi)差動(dong)輸出(chu)(chu)(chu)。在(zai)缺(que)陷中心位置,垂直(zhi)(zhi)線(xian)(xian)(xian)圈感應(ying)(ying)(ying)電動(dong)勢(shi)(shi)輸出(chu)(chu)(chu)為零,而在(zai)缺(que)陷兩端附近感應(ying)(ying)(ying)電動(dong)勢(shi)(shi)具有最大(da)輸出(chu)(chu)(chu)值。垂直(zhi)(zhi)線(xian)(xian)(xian)圈頂部(bu)和底部(bu)距(ju)離越(yue)(yue)大(da),整(zheng)體感應(ying)(ying)(ying)電動(dong)勢(shi)(shi)輸出(chu)(chu)(chu)越(yue)(yue)大(da)。因此,在(zai)條(tiao)件允許(xu)的情況下(xia),垂直(zhi)(zhi)線(xian)(xian)(xian)圈應(ying)(ying)(ying)盡量(liang)貼近鋼(gang)管表面并可(ke)通過(guo)增大(da)線(xian)(xian)(xian)圈的寬(kuan)度來(lai)提高電動(dong)勢(shi)(shi)輸出(chu)(chu)(chu)。但在(zai)設(she)計線(xian)(xian)(xian)圈寬(kuan)度時(shi)必須考慮背(bei)景噪(zao)聲的影響(xiang),垂直(zhi)(zhi)線(xian)(xian)(xian)圈寬(kuan)度越(yue)(yue)大(da),線(xian)(xian)(xian)圈包含的背(bei)景噪(zao)聲越(yue)(yue)多,從而會降低缺(que)陷漏磁信號的信噪(zao)比。

