在(zai)鑄錠(ding)凝固過程中(zhong),增加(jia)壓(ya)力能(neng)夠改(gai)善鑄型(xing)和(he)(he)鑄錠(ding)的(de)(de)接觸環境,為了深入研究壓(ya)力強化(hua)鑄錠(ding)和(he)(he)鑄型(xing)間換(huan)熱(re)(re)的(de)(de)效(xiao)果(guo),在(zai)能(neng)量(liang)守恒的(de)(de)基(ji)礎(chu)上,運(yun)用導(dao)熱(re)(re)微(wei)分方程,建立換(huan)熱(re)(re)系數(shu)的(de)(de)反算模型(xing),量(liang)化(hua)壓(ya)力對換(huan)熱(re)(re)系數(shu)的(de)(de)影響規(gui)律。該模型(xing)包含傳熱(re)(re)正問題模型(xing)和(he)(he)傳熱(re)(re)反問題模型(xing)。
1.傳(chuan)熱正問題模型
凝固(gu)(gu)(gu)過程(cheng)中的(de)熱量傳輸是凝固(gu)(gu)(gu)進行的(de)驅動力,直接關系(xi)著金(jin)屬(shu)液相(xiang)(xiang)凝固(gu)(gu)(gu)的(de)整個進程(cheng)。凝固(gu)(gu)(gu)過程(cheng)中,熱量通過金(jin)屬(shu)液相(xiang)(xiang)、已凝固(gu)(gu)(gu)的(de)金(jin)屬(shu)固(gu)(gu)(gu)相(xiang)(xiang)、鑄(zhu)錠-鑄(zhu)型界(jie)面(氣隙(xi)等)和鑄(zhu)型的(de)熱阻向(xiang)環境傳輸。因存在(zai)凝固(gu)(gu)(gu)潛熱的(de)釋放,凝固(gu)(gu)(gu)是一(yi)個有(you)熱源(yuan)的(de)非穩態傳熱過程(cheng),基于(yu)凝固(gu)(gu)(gu)過程(cheng)熱傳導(dao)的(de)能量守恒原理,柱坐標下鑄(zhu)錠和鑄(zhu)型的(de)導(dao)熱分方程(cheng)可表(biao)示為:


鋼液釋放凝固潛(qian)熱(re)(re)(re)(re),進而在體(ti)積單(dan)元內產生內熱(re)(re)(re)(re)源(yuan)q;在運用數(shu)值離散的(de)方(fang)法(fa)求解導熱(re)(re)(re)(re)微分方(fang)程時,凝固潛(qian)熱(re)(re)(re)(re)的(de)處(chu)理(li)方(fang)法(fa)通常有四(si)種(zhong),分別為(wei)(wei)等效(xiao)比熱(re)(re)(re)(re)法(fa)、熱(re)(re)(re)(re)焓法(fa)、溫(wen)度回升法(fa)以及(ji)源(yuan)項處(chu)理(li)法(fa)。孫天亮對四(si)種(zhong)凝固潛(qian)熱(re)(re)(re)(re)的(de)處(chu)理(li)法(fa)進行(xing)比較發(fa)現,源(yuan)項處(chu)理(li)法(fa)最為(wei)(wei)精(jing)確,其次(ci)是(shi)等效(xiao)比熱(re)(re)(re)(re)法(fa),誤差(cha)較大的(de)是(shi)溫(wen)度回升法(fa)和熱(re)(re)(re)(re)焓法(fa);在一般情況下,為(wei)(wei)了(le)簡化計算和降低編(bian)程難度,可(ke)采用等效(xiao)比熱(re)(re)(re)(re)法(fa)處(chu)理(li)凝固潛(qian)熱(re)(re)(re)(re)。因此,在非(fei)穩態條(tiao)件下,內熱(re)(re)(re)(re)源(yuan)與凝固潛(qian)熱(re)(re)(re)(re)的(de)關系可(ke)表(biao)示(shi)為(wei)(wei):
此外,由于(yu)鑄(zhu)(zhu)(zhu)(zhu)錠的(de)(de)(de)凝固收(shou)縮和鑄(zhu)(zhu)(zhu)(zhu)型的(de)(de)(de)受熱(re)膨脹,鑄(zhu)(zhu)(zhu)(zhu)錠和鑄(zhu)(zhu)(zhu)(zhu)型接觸隨之發(fa)生變化,當鑄(zhu)(zhu)(zhu)(zhu)錠和鑄(zhu)(zhu)(zhu)(zhu)型間(jian)氣隙形(xing)成以后(hou),鑄(zhu)(zhu)(zhu)(zhu)錠向鑄(zhu)(zhu)(zhu)(zhu)型的(de)(de)(de)傳(chuan)熱(re)方式不(bu)只是簡單的(de)(de)(de)傳(chuan)導傳(chuan)熱(re),同時存(cun)在小(xiao)區域的(de)(de)(de)對流(liu)和輻射傳(chuan)熱(re),進而(er)加大了計(ji)算的(de)(de)(de)復(fu)雜性(xing),為了降低計(ji)算的(de)(de)(de)復(fu)雜性(xing)和難度,采用等效界(jie)面換熱(re)系數hi來替代氣隙形(xing)成后(hou)鑄(zhu)(zhu)(zhu)(zhu)錠和鑄(zhu)(zhu)(zhu)(zhu)型間(jian)復(fu)雜的(de)(de)(de)傳(chuan)導、對流(liu)和輻射傳(chuan)熱(re)過程,在不(bu)考慮間(jian)隙比熱(re)容的(de)(de)(de)情況下,等效界(jie)面換熱(re)系數h;計(ji)算方法如下:
2. 傳熱反問題模型
與正問(wen)(wen)(wen)題相對應的反問(wen)(wen)(wen)題,即(ji)在求解傳熱問(wen)(wen)(wen)題時,以(yi)(yi)溫度場為已知(zhi)(zhi)量(liang),對邊(bian)(bian)(bian)界(jie)條(tiao)件或初(chu)始條(tiao)件進(jin)行計算(suan)的過(guo)(guo)程。傳熱反問(wen)(wen)(wen)題的研究從20世紀(ji)60年代以(yi)(yi)來得到了空前的進(jin)步與應用。在鑄(zhu)(zhu)(zhu)造過(guo)(guo)程中(zhong),鑄(zhu)(zhu)(zhu)錠(ding)和(he)鑄(zhu)(zhu)(zhu)型間邊(bian)(bian)(bian)界(jie)條(tiao)件的反問(wen)(wen)(wen)題也一直備受關注。通傳熱正問(wen)(wen)(wen)題模(mo)型可知(zhi)(zhi),在鑄(zhu)(zhu)(zhu)錠(ding)和(he)鑄(zhu)(zhu)(zhu)型物性參(can)數(shu)、初(chu)始條(tiao)件以(yi)(yi)及除(chu)鑄(zhu)(zhu)(zhu)錠(ding)和(he)鑄(zhu)(zhu)(zhu)型間邊(bian)(bian)(bian)界(jie)條(tiao)件以(yi)(yi)外(wai),其他邊(bian)(bian)(bian)界(jie)條(tiao)件可知(zhi)(zhi)的情況(kuang)下。溫度場可表示成(cheng)隨鑄(zhu)(zhu)(zhu)錠(ding)和(he)鑄(zhu)(zhu)(zhu)型間界(jie)面換熱系數(shu)變化的函數(shu),即(ji)

利用(yong)(yong)傳(chuan)熱反問(wen)題模型,運用(yong)(yong)數(shu)值離散的(de)(de)方法(fa)求(qiu)解界面(mian)換熱系(xi)(xi)(xi)數(shu)的(de)(de)過程(cheng),相當于依照一(yi)定的(de)(de)方法(fa)或者規(gui)律選定界面(mian)換熱系(xi)(xi)(xi)數(shu),并以此作為(wei)(wei)已知邊(bian)界條(tiao)件,利用(yong)(yong)傳(chuan)熱正問(wen)題計算(suan)出相應的(de)(de)溫(wen)度(du)(du)(du)場(chang),如果溫(wen)度(du)(du)(du)場(chang)的(de)(de)計算(suan)值與測(ce)量值之間(jian)的(de)(de)偏(pian)差最小(xiao),那(nei)么選定的(de)(de)界面(mian)換熱系(xi)(xi)(xi)數(shu)最接(jie)近真實值。為(wei)(wei)了度(du)(du)(du)量溫(wen)度(du)(du)(du)場(chang)計算(suan)值與測(ce)量值之間(jian)的(de)(de)偏(pian)差,利用(yong)(yong)最小(xiao)二乘法(fa)構建以下函(han)數(shu)關系(xi)(xi)(xi)
因(yin)此,在給(gei)定(ding)界面換熱系(xi)(xi)數初始值的情況下,利用式(2-151)可(ke)對界面換熱系(xi)(xi)數h進(jin)(jin)行(xing)迭(die)代(dai)求(qiu)解,每次迭(die)代(dai)均利用傳熱正問(wen)題模(mo)型(xing)對熱電偶測量點的溫度T(h)進(jin)(jin)行(xing)計算(suan);當迭(die)代(dai)結(jie)果滿足精度要求(qiu)時,即可(ke)獲得接近界面換熱系(xi)(xi)數真實值的h.對于一維(wei)導熱過(guo)程,界面換熱系(xi)(xi)數反算(suan)模(mo)型(xing)求(qiu)解過(guo)程中(zhong)可(ke)用如圖2-77所示的幾何模(mo)型(xing),除(chu)了鑄錠和鑄型(xing)間邊界條件以外(wai)(wai),模(mo)型(xing)中(zhong)還包含(han)兩個邊界條件,分別為(wei)鑄錠心部邊界條件(B1)和外(wai)(wai)表(biao)面邊界條件(B2).

3. 正/反傳熱(re)問題的(de)數值求解(jie)方法(fa)

數(shu)值(zhi)離(li)散(san)(san)方(fang)法(fa)(fa)(fa)(fa)主(zhu)要(yao)包含有(you)限(xian)(xian)(xian)元(yuan)、有(you)限(xian)(xian)(xian)體積(ji)(ji)及有(you)限(xian)(xian)(xian)差(cha)(cha)(cha)(cha)分(fen)(fen)(fen)法(fa)(fa)(fa)(fa)。有(you)限(xian)(xian)(xian)元(yuan)法(fa)(fa)(fa)(fa)的(de)(de)(de)基(ji)礎(chu)是(shi)(shi)變(bian)(bian)分(fen)(fen)(fen)原理和加權余(yu)量法(fa)(fa)(fa)(fa),其基(ji)本(ben)求(qiu)解(jie)(jie)(jie)思(si)想是(shi)(shi)把計算域(yu)劃(hua)(hua)分(fen)(fen)(fen)為(wei)(wei)有(you)限(xian)(xian)(xian)個(ge)互不重疊的(de)(de)(de)單元(yuan),在每(mei)個(ge)單元(yuan)內,選擇一(yi)(yi)些(xie)合適的(de)(de)(de)節點(dian)作為(wei)(wei)求(qiu)解(jie)(jie)(jie)函(han)(han)數(shu)的(de)(de)(de)插(cha)值(zhi)點(dian),將(jiang)微分(fen)(fen)(fen)方(fang)程(cheng)中(zhong)的(de)(de)(de)變(bian)(bian)量改寫成由各變(bian)(bian)量或(huo)其導數(shu)的(de)(de)(de)節點(dian)值(zhi)與(yu)所選用(yong)的(de)(de)(de)插(cha)值(zhi)函(han)(han)數(shu)組(zu)(zu)成的(de)(de)(de)線性(xing)表達式(shi)(shi)(shi)(shi),借助變(bian)(bian)分(fen)(fen)(fen)原理或(huo)加權余(yu)量法(fa)(fa)(fa)(fa),將(jiang)微分(fen)(fen)(fen)方(fang)程(cheng)離(li)散(san)(san)求(qiu)解(jie)(jie)(jie)。有(you)限(xian)(xian)(xian)體積(ji)(ji)法(fa)(fa)(fa)(fa)的(de)(de)(de)基(ji)本(ben)思(si)路(lu)是(shi)(shi)將(jiang)計算區(qu)域(yu)劃(hua)(hua)分(fen)(fen)(fen)為(wei)(wei)一(yi)(yi)系列(lie)不重復(fu)的(de)(de)(de)控制(zhi)體積(ji)(ji),并使每(mei)個(ge)網(wang)(wang)格(ge)(ge)(ge)點(dian)周圍有(you)一(yi)(yi)個(ge)控制(zhi)體積(ji)(ji);將(jiang)待解(jie)(jie)(jie)的(de)(de)(de)微分(fen)(fen)(fen)方(fang)程(cheng)對每(mei)一(yi)(yi)個(ge)控制(zhi)體積(ji)(ji)積(ji)(ji)分(fen)(fen)(fen),便得(de)出一(yi)(yi)組(zu)(zu)離(li)散(san)(san)方(fang)程(cheng)。其中(zhong)的(de)(de)(de)未知數(shu)是(shi)(shi)網(wang)(wang)格(ge)(ge)(ge)點(dian)上因變(bian)(bian)量的(de)(de)(de)數(shu)值(zhi)。有(you)限(xian)(xian)(xian)差(cha)(cha)(cha)(cha)分(fen)(fen)(fen)法(fa)(fa)(fa)(fa)是(shi)(shi)將(jiang)求(qiu)解(jie)(jie)(jie)域(yu)劃(hua)(hua)分(fen)(fen)(fen)為(wei)(wei)差(cha)(cha)(cha)(cha)分(fen)(fen)(fen)網(wang)(wang)格(ge)(ge)(ge),用(yong)有(you)限(xian)(xian)(xian)個(ge)網(wang)(wang)格(ge)(ge)(ge)節點(dian)代替連(lian)續的(de)(de)(de)求(qiu)解(jie)(jie)(jie)域(yu),以泰(tai)勒級數(shu)展開(kai)等方(fang)法(fa)(fa)(fa)(fa),把控制(zhi)方(fang)程(cheng)中(zhong)的(de)(de)(de)導數(shu)用(yong)網(wang)(wang)格(ge)(ge)(ge)節點(dian)上函(han)(han)數(shu)值(zhi)的(de)(de)(de)差(cha)(cha)(cha)(cha)商代替進行離(li)散(san)(san),從而建立(li)以網(wang)(wang)格(ge)(ge)(ge)節點(dian)上的(de)(de)(de)值(zhi)為(wei)(wei)未知數(shu)的(de)(de)(de)代數(shu)方(fang)程(cheng)組(zu)(zu)。對于有(you)限(xian)(xian)(xian)差(cha)(cha)(cha)(cha)分(fen)(fen)(fen)格(ge)(ge)(ge)式(shi)(shi)(shi)(shi),從格(ge)(ge)(ge)式(shi)(shi)(shi)(shi)的(de)(de)(de)精(jing)度來劃(hua)(hua)分(fen)(fen)(fen),有(you)一(yi)(yi)階格(ge)(ge)(ge)式(shi)(shi)(shi)(shi)、二(er)階格(ge)(ge)(ge)式(shi)(shi)(shi)(shi)和高階格(ge)(ge)(ge)式(shi)(shi)(shi)(shi)。從差(cha)(cha)(cha)(cha)分(fen)(fen)(fen)的(de)(de)(de)空間形式(shi)(shi)(shi)(shi)來考(kao)慮,可分(fen)(fen)(fen)為(wei)(wei)中(zhong)心格(ge)(ge)(ge)式(shi)(shi)(shi)(shi)和逆(ni)風格(ge)(ge)(ge)式(shi)(shi)(shi)(shi)。考(kao)慮時間因子的(de)(de)(de)影響,差(cha)(cha)(cha)(cha)分(fen)(fen)(fen)格(ge)(ge)(ge)式(shi)(shi)(shi)(shi)還可以分(fen)(fen)(fen)為(wei)(wei)顯格(ge)(ge)(ge)式(shi)(shi)(shi)(shi)、隱格(ge)(ge)(ge)式(shi)(shi)(shi)(shi)、顯隱交替格(ge)(ge)(ge)式(shi)(shi)(shi)(shi)等。
以隱式有(you)限差(cha)分為例(li),對通(tong)式(2-152)進行數值離散,二階導數采用二階中心差(cha)商(shang)形式,經整理得:


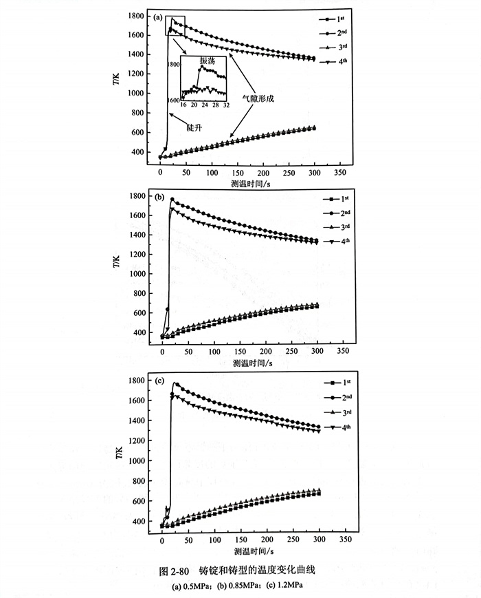
為了更好地說明壓力對界面(mian)換熱(re)系數的影響,以高(gao)氮鋼P2000加壓凝(ning)(ning)固(gu)(gu)過(guo)程的傳熱(re)現象為例(li),采用4根雙鉑銠(B型)熱(re)電偶,通過(guo)埋設(she)熱(re)電偶測(ce)(ce)溫實(shi)驗測(ce)(ce)量(liang)(liang)凝(ning)(ning)固(gu)(gu)過(guo)程鑄(zhu)錠(ding)和鑄(zhu)型溫度變(bian)化(hua)曲線,采用兩個位(wei)移(yi)傳感(gan)器測(ce)(ce)量(liang)(liang)凝(ning)(ning)固(gu)(gu)過(guo)程中鑄(zhu)型和鑄(zhu)錠(ding)的位(wei)移(yi)變(bian)化(hua)情況(kuang),獲得凝(ning)(ning)固(gu)(gu)過(guo)程中鑄(zhu)錠(ding)和鑄(zhu)型界面(mian)氣隙演(yan)變(bian)規律,測(ce)(ce)量(liang)(liang)裝置示意(yi)圖(tu)和實(shi)物圖(tu)如圖(tu)2-79所示。

澆注結(jie)束后(hou)(hou),在(zai)0.5MPa、0.85MPa和(he)1.2MPa下(xia)(xia)的(de)鋼(gang)液(ye)凝(ning)固(gu)過程中,鑄(zhu)(zhu)(zhu)錠(ding)和(he)鑄(zhu)(zhu)(zhu)型(xing)溫(wen)(wen)度(du)(du)變(bian)化(hua)曲線的(de)測量(liang)結(jie)果如圖2-80所示,溫(wen)(wen)度(du)(du)變(bian)化(hua)曲線測量(liang)的(de)時(shi)間(jian)(jian)區間(jian)(jian)為(wei)澆注結(jie)束后(hou)(hou)的(de)300s以(yi)內,且鑄(zhu)(zhu)(zhu)錠(ding)和(he)鑄(zhu)(zhu)(zhu)型(xing)在(zai)不(bu)同壓力下(xia)(xia)的(de)溫(wen)(wen)度(du)(du)變(bian)化(hua)趨勢(shi)基本一致(zhi)。以(yi)0.5MPa下(xia)(xia)的(de)溫(wen)(wen)度(du)(du)變(bian)化(hua)曲線為(wei)例(li),如圖2-80(a)所示,在(zai)初始階段,2nd和(he)4h曲線上溫(wen)(wen)度(du)(du)均存(cun)在(zai)陡升(sheng)和(he)振蕩階段,這主要是在(zai)測溫(wen)(wen)初期,熱(re)(re)電(dian)偶與鋼(gang)液(ye)接觸后(hou)(hou)的(de)自(zi)身預(yu)熱(re)(re),以(yi)及澆注引起鋼(gang)液(ye)的(de)湍流所致(zhi)[104];隨著鋼(gang)液(ye)凝(ning)固(gu)的(de)進行,由于鑄(zhu)(zhu)(zhu)錠(ding)不(bu)斷向鑄(zhu)(zhu)(zhu)型(xing)傳熱(re)(re),致(zhi)使(shi)鑄(zhu)(zhu)(zhu)錠(ding)的(de)溫(wen)(wen)度(du)(du)(2nd和(he)4h)逐(zhu)漸(jian)減小,而鑄(zhu)(zhu)(zhu)型(xing)的(de)溫(wen)(wen)度(du)(du)(1st和(he)3rd)隨之增加。此外,測溫(wen)(wen)位置相近的(de)3rd和(he)4th曲線之間(jian)(jian)存(cun)在(zai)較(jiao)大的(de)溫(wen)(wen)差,這主要是由于鑄(zhu)(zhu)(zhu)錠(ding)和(he)鑄(zhu)(zhu)(zhu)型(xing)間(jian)(jian)氣隙形成后(hou)(hou)產生的(de)巨大熱(re)(re)阻Rair-cap(=1/hi),其中h為(wei)鑄(zhu)(zhu)(zhu)錠(ding)和(he)鑄(zhu)(zhu)(zhu)型(xing)間(jian)(jian)的(de)換熱(re)(re)系數。

不同壓力下鑄(zhu)型溫度(du)的(de)增(zeng)長速(su)率(lv)(15t和(he)(he)3rd)和(he)(he)鑄(zhu)錠(ding)(ding)的(de)冷卻(que)(que)速(su)率(lv)(2d和(he)(he)4h)如圖2-81所示,當壓力從0.5MPa增(zeng)加(jia)(jia)(jia)至1.2MPa時,鑄(zhu)錠(ding)(ding)內(nei)(nei)2md和(he)(he)4h熱電偶(ou)測溫點冷卻(que)(que)速(su)率(lv)的(de)增(zeng)量(liang)(liang)分別為0.335K/s和(he)(he)0.605K/s.與此同時,在澆注結束后300s時,鑄(zhu)錠(ding)(ding)內(nei)(nei)2d和(he)(he)4h測溫位置之間(jian)的(de)平(ping)均溫度(du)梯度(du)從4.0K/mm增(zeng)加(jia)(jia)(jia)到了(le)8.6K/mm.由導熱的(de)傅里葉定律(Qingor=αGr,α為19Cr14Mn0.9N鑄(zhu)錠(ding)(ding)的(de)導熱系數,Qingot為熱通量(liang)(liang))可知,隨著壓力的(de)增(zeng)加(jia)(jia)(jia),鑄(zhu)錠(ding)(ding)內(nei)(nei)沿度(du)梯度(du)方(fang)向上(shang)的(de)熱通量(liang)(liang)增(zeng)大。此外,根據能量(liang)(liang)守(shou)恒定律(即Q=Qingot,Q為鑄(zhu)錠(ding)(ding)和(he)(he)鑄(zhu)型間(jian)的(de)熱通量(liang)(liang)),鑄(zhu)錠(ding)(ding)和(he)(he)鑄(zhu)型間(jian)的(de)熱通量(liang)(liang)也隨之增(zeng)加(jia)(jia)(jia)。因此,增(zeng)加(jia)(jia)(jia)壓力能夠顯著加(jia)(jia)(jia)快鑄(zhu)錠(ding)(ding)的(de)冷卻(que)(que)以及強化鑄(zhu)錠(ding)(ding)和(he)(he)鑄(zhu)型間(jian)的(de)換熱。

在0.5MPa、0.85MPa和(he)(he)1.2MPa壓(ya)力下的(de)(de)鋼(gang)液(ye)凝(ning)固過程(cheng)中(zhong)(zhong),鑄(zhu)錠和(he)(he)鑄(zhu)型的(de)(de)溫度(du)測量值(zhi)作為(wei)(wei)輸(shu)入值(zhi)(圖2-80),運用驗證后的(de)(de)反(fan)(fan)(fan)算(suan)(suan)(suan)模型,對(dui)鑄(zhu)錠和(he)(he)鑄(zhu)型間(jian)界面換熱(re)(re)(re)系數(shu)隨(sui)時間(jian)的(de)(de)變化規(gui)律進行反(fan)(fan)(fan)算(suan)(suan)(suan),反(fan)(fan)(fan)算(suan)(suan)(suan)過程(cheng)中(zhong)(zhong)時間(jian)步長(chang)Δt取(qu)值(zhi)為(wei)(wei)0.75s,空間(jian)步長(chang)Δr取(qu)值(zhi)為(wei)(wei)1mm,常數(shu)β和(he)(he)8分(fen)(fen)別(bie)為(wei)(wei)10-10和(he)(he)200.換熱(re)(re)(re)系數(shu)的(de)(de)反(fan)(fan)(fan)算(suan)(suan)(suan)結果分(fen)(fen)別(bie)為(wei)(wei)hos、ho85和(he)(he)h2,隨(sui)時間(jian)的(de)(de)變化規(gui)律如圖2-82所(suo)示,由于Δt和(he)(he)8乘積為(wei)(wei)150s,結合Beck非線性估(gu)算(suan)(suan)(suan)法(fa)本身的(de)(de)特點(dian),只(zhi)能反(fan)(fan)(fan)算(suan)(suan)(suan)出(chu)凝(ning)固前期(qi)150s內(nei)hos、ho.85和(he)(he)h2隨(sui)時間(jian)的(de)(de)變化規(gui)律。此(ci)外,因(yin)熱(re)(re)(re)電(dian)偶本身的(de)(de)預熱(re)(re)(re)以及(ji)澆(jiao)注引(yin)起鋼(gang)液(ye)的(de)(de)湍流,導(dao)致(zhi)2nd和(he)(he)4th熱(re)(re)(re)電(dian)偶的(de)(de)在前30s內(nei)存(cun)在較大的(de)(de)波動,因(yin)此(ci)反(fan)(fan)(fan)算(suan)(suan)(suan)出(chu)的(de)(de)界面換熱(re)(re)(re)系數(shu)在前期(qi)存(cun)在一(yi)定的(de)(de)波動,其(qi)中(zhong)(zhong)h2最大,其(qi)次是ho.85,ho5最小。


擬(ni)合(he)后的(de)(de)參數(shu)Adj.R-Square分(fen)別為0.9558、0.9716和0.9692,說明(ming)擬(ni)合(he)度高,反算(suan)結果和經(jing)驗公式相(xiang)符。通過(guo)對比(bi)不同(tong)壓(ya)力下(xia)反算(suan)出的(de)(de)界面(mian)換(huan)熱系數(shu)可知,隨著(zhu)壓(ya)力的(de)(de)增加,界面(mian)換(huan)熱系數(shu)增大,鑄錠和鑄型間界面(mian)換(huan)熱條件得(de)到(dao)明(ming)顯(xian)改善,充分(fen)說明(ming)壓(ya)力在19Cr14Mn0.9N含氮鋼的(de)(de)凝(ning)固(gu)過(guo)程(cheng)中,起到(dao)了(le)十分(fen)顯(xian)著(zhu)的(de)(de)強(qiang)化冷卻(que)作用。
眾所周知,在某一時刻下,界(jie)面換熱系(xi)數與壓力呈現多項式(shi)關(guan)(guan)系(xi)。為了獲得(de)19Cr14Mn0.9N 含氮(dan)鋼界(jie)面換熱系(xi)數與壓力之間的關(guan)(guan)系(xi),可采用多項式(shi)擬合(he)(he)的方式(shi)對界(jie)面換熱系(xi)數與壓力關(guan)(guan)系(xi)進行擬合(he)(he),擬合(he)(he)關(guan)(guan)系(xi)式(shi)為

