一(yi)、氮的固相溶(rong)解度模型(xing)
一般而言,不銹鋼熔體在凝固過程中首先生成δ-Fe相,而氮在δ-Fe中的溶解度遠低于在液相和奧氏體相中的溶解度(如圖2-42所示,容易使鋼中的氮析出并形成氮氣孔。因此,探究影響固相中氮溶解度的因素,并建立合理的固相溶解度模型,對高氮不(bu)銹鋼(gang)的成分設計和凝固過程的控制具有重要意義。

根據(ju) Hillert和Staffansson的(de)正規溶(rong)體(ti)模(mo)型,每個狀態(相(xiang)、間(jian)隙溶(rong)液和空位(wei)等)可(ke)由相(xiang)應的(de)能量(liang)表示(shi),可(ke)使用兩(liang)個晶(jing)格,分別當作(zuo)溶(rong)質原(yuan)子(zi)(zi)和間(jian)隙溶(rong)質原(yuan)子(zi)(zi)。因為大量(liang)的(de)間(jian)隙位(wei)置不被(bei)占用,這(zhe)些空位(wei)則(ze)被(bei)視(shi)為額外的(de)元素(Va).基于此模(mo)型,可(ke)建立氮在(zai)(zai)固(gu)(gu)相(xiang)高氮不銹鋼體(ti)系(xi)中(zhong)的(de)溶(rong)解(jie)度模(mo)型,以(yi)預(yu)測氮在(zai)(zai)固(gu)(gu)相(xiang)中(zhong)的(de)平衡(heng)氮含量(liang)或飽和滲氮量(liang)并分析其(qi)影(ying)響(xiang)因素。
考(kao)慮到固態(tai)與(yu)熔體的不同,以(yi)Fe-Cr-Mn-N合金(jin)體系為例,在固態(tai)合金(jin)中各元素(su)的摩爾分(fen)數(xN、xi)可以(yi)轉化為相應的位置(zhi)分(fen)數(yN、yi):

由于固相體系中氮的溶解度與晶體結構、間隙原子晶格位置等密切相關,需要分別針對典型的γ、δ和α相區建立氮溶解度模型。
1. 氮在γ相中固相溶解度模型(xing)的建立(li)
對于(yu)Fe-Cr-Mn-N系(xi)合(he)金體(ti)系(xi),在(zai)固態奧氏(shi)體(ti)(面心立方結構)相(xiang)區,氣(qi)相(xiang)和奧氏(shi)體(ti)相(xiang)的平衡(heng)方程可表達(da)為


2. 氮在δ相和α相中固相溶解度模型的建立
對于Fe-Cr-Mn-N系(xi)合(he)金體系(xi),在鐵(tie)素(su)(su)體相(體心(xin)立方(fang)結構)中,鐵(tie)晶格中每個(ge)填入間(jian)(jian)隙位(wei)(wei)置的(de)氮(dan)(dan)原子(zi)都會阻(zu)礙(ai)該間(jian)(jian)隙位(wei)(wei)置的(de)最近鄰的(de)三個(ge)間(jian)(jian)隙位(wei)(wei)置被其他氮(dan)(dan)原子(zi)占據(ju)。因此,氣(qi)相與鐵(tie)素(su)(su)體相的(de)平衡(heng)方(fang)程可表達為下式(shi):


3. 合金中奧氏(shi)體數量和(he)液相線的確定(ding)
明確合金(jin)凝固過程的(de)相轉變(bian),是通過模型計算氮固相溶解度(du)(du)的(de)一個重(zhong)要基(ji)礎。其中,確定鋼種的(de)液相線溫(wen)度(du)(du)TL和(he)奧氏體(ti)(ti)與鐵素體(ti)(ti)的(de)數(shu)量或(huo)比例尤(you)為(wei)重(zhong)要。近年來,研究人員利(li)用熱(re)力學數(shu)據計算了(le)合金(jin)元素與相平衡的(de)關(guan)系,以鋼的(de)化學成分和(he)熱(re)處理(li)溫(wen)度(du)(du)作為(wei)計算奧氏體(ti)(ti)數(shu)量的(de)基(ji)礎,根據SGTE熱(re)力學數(shu)據庫(ku)進行計算,得(de)出奧氏體(ti)(ti)線性方程式如下(xia):
根據鋼的(de)化學成分和(he)固(gu)溶溫(wen)度,按此方(fang)程(cheng)式即可(ke)計算出在(zai)不(bu)同溫(wen)度下(xia)的(de)奧(ao)氏(shi)體(ti)數(shu)量,計算數(shu)據與實(shi)驗(yan)結果吻(wen)合得很好。吳忠忠等利(li)用奧(ao)氏(shi)體(ti)線性方(fang)程(cheng)和(he)固(gu)溶實(shi)驗(yan)研究了不(bu)同固(gu)溶溫(wen)度下(xia)各相(xiang)的(de)含(han)量,奧(ao)氏(shi)體(ti)線性方(fang)程(cheng)理論計算的(de)奧(ao)氏(shi)體(ti)數(shu)量與實(shi)驗(yan)值(zhi)吻(wen)合得很好,精(jing)確(que)度很高。
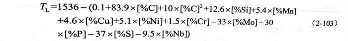
利用固相(xiang)氮溶解(jie)度(du)(du)(du)模型,可(ke)(ke)以(yi)方便地計算出Fe-Cr-Mn-N系合(he)金在各溫度(du)(du)(du)區間的(de)(de)(de)氮溶解(jie)度(du)(du)(du)曲線。通過擬合(he)前人的(de)(de)(de)研(yan)究(jiu)成(cheng)果和奧(ao)(ao)氏(shi)體(ti)(ti)線性方程,可(ke)(ke)以(yi)確定(ding)固相(xiang)中鐵(tie)(tie)(tie)素體(ti)(ti)含量(liang)(liang)為(wei)80%是(shi)鐵(tie)(tie)(tie)素體(ti)(ti)和奧(ao)(ao)氏(shi)體(ti)(ti)的(de)(de)(de)理論分界點(dian)(dian)(dian),鐵(tie)(tie)(tie)素體(ti)(ti)含量(liang)(liang)大(da)于80%為(wei)鐵(tie)(tie)(tie)素體(ti)(ti)區域(yu),該分界點(dian)(dian)(dian)即為(wei)氮溶解(jie)度(du)(du)(du)曲線上鐵(tie)(tie)(tie)素體(ti)(ti)全部轉變為(wei)奧(ao)(ao)氏(shi)體(ti)(ti)的(de)(de)(de)拐點(dian)(dian)(dian)。根據鋼種的(de)(de)(de)液(ye)(ye)相(xiang)線溫度(du)(du)(du),可(ke)(ke)以(yi)方便地確定(ding)氮溶解(jie)度(du)(du)(du)曲線上由(you)液(ye)(ye)相(xiang)轉變為(wei)鐵(tie)(tie)(tie)素體(ti)(ti)的(de)(de)(de)拐點(dian)(dian)(dian)溫度(du)(du)(du)。鋼種不同,液(ye)(ye)相(xiang)線溫度(du)(du)(du)的(de)(de)(de)表達式(shi)也不盡相(xiang)同[54].在本研(yan)究(jiu)中采(cai)用下(xia)式(shi)來計算鋼種的(de)(de)(de)液(ye)(ye)相(xiang)線溫度(du)(du)(du)TL.

4. 氮的(de)固相溶解度模型(xing)的(de)驗證
利用前人實(shi)(shi)驗(yan)數據,驗(yan)證氮(dan)(dan)(dan)的(de)(de)固相溶(rong)解度模型(xing)的(de)(de)準確(que)性。李光強等對氮(dan)(dan)(dan)在(zai)合金體系中的(de)(de)溶(rong)解度進(jin)行(xing)了實(shi)(shi)驗(yan)研(yan)究(jiu)(jiu),直接用高(gao)純氮(dan)(dan)(dan)氣在(zai)1473K、0.1MPa下高(gao)溫電阻爐內進(jin)行(xing)滲(shen)氮(dan)(dan)(dan)實(shi)(shi)驗(yan),爐管兩端封閉以形成穩定的(de)(de)氣氛(fen)。該研(yan)究(jiu)(jiu)的(de)(de)實(shi)(shi)驗(yan)鋼種成分和固相滲(shen)氮(dan)(dan)(dan)后的(de)(de)氮(dan)(dan)(dan)含量見(jian)表(biao)2-10。利用上述(shu)氮(dan)(dan)(dan)溶(rong)解度模型(xing)進(jin)行(xing)計算(suan),其(qi)理(li)論計算(suan)值(zhi)與實(shi)(shi)驗(yan)值(zhi)比較如圖2-43所示(shi),氮(dan)(dan)(dan)溶(rong)解度的(de)(de)模型(xing)計算(suan)值(zhi)與測量值(zhi)吻合良好。
Kunze等對Fe17.26Cr6.42Mn和(he)Fe20.53Cr11.63Mn合(he)金體(ti)系在不同氮氣(qi)壓(ya)力條件下,進行了低(di)溫奧(ao)氏(shi)(shi)體(ti)、高溫奧(ao)氏(shi)(shi)體(ti)和(he)δ-Fe的(de)固(gu)相滲氮(dan)實(shi)(shi)驗(yan)(yan)(yan)研(yan)究。本模型(xing)的(de)計算(suan)結果(guo)與其實(shi)(shi)驗(yan)(yan)(yan)結果(guo)的(de)對比見圖2-44和圖2-45。從(cong)圖中(zhong)可以看到,實(shi)(shi)驗(yan)(yan)(yan)值(zhi)(zhi)與模型(xing)的(de)計算(suan)值(zhi)(zhi)吻(wen)合(he)得很好,尤其在(zai)δ-Fe相吻合(he)得更好(hao)。但對于Fe17.26 Cr6.42Mn合(he)金體(ti)(ti)系在(zai)奧氏(shi)體(ti)(ti)相中的(de)實驗點偏離計算曲線(xian)較大,如圖2-44(a)所示。這可能是由于在(zai)建立模型的(de)過程中忽略(lve)了δ-Fe相和γ奧(ao)氏(shi)體兩相共存(cun)階(jie)段溶解度的(de)(de)計算(suan),導致模型的(de)(de)計算(suan)值與實驗(yan)值存(cun)在一定的(de)(de)偏(pian)差。


二、固(gu)相合金體系(xi)中氮(dan)溶解度模型(xing)的相關研究
面心立方結構(gou)鐵中(zhong)氮的(de)(de)濃(nong)度(du)可由奧氏體(ti)相(xiang)與氮氣(qi)之間的(de)(de)平衡實驗得(de)到(dao),目前多(duo)數實驗都在912~1394℃范(fan)圍內(nei),當溫(wen)度(du)更(geng)高時,固(gu)體(ti)表面的(de)(de)氣(qi)體(ti)成分(fen)具有明(ming)顯(xian)的(de)(de)不確定性(xing)。Hillert和(he)Jarl、曲英和(he)Wada-Pehlk等(deng)分(fen)別給(gei)出了鐵中(zhong)氮濃(nong)度(du)與溫(wen)度(du)和(he)氮氣(qi)壓力的(de)(de)關系式:

Tsuchiyama等將厚(hou)度(du)為0.25~3.0mm的(de)(de)Fe-Cr-Mn 系合(he)金(jin)試(shi)(shi)樣(yang)置于(yu)0.1MPa的(de)(de)氮(dan)(dan)(dan)(dan)氣氛中(zhong),在1473K溫度(du)下(xia)滲(shen)氮(dan)(dan)(dan)(dan)。滲(shen)氮(dan)(dan)(dan)(dan)60min后,厚(hou)度(du)為0.25mm的(de)(de)Fe12.5Cr 合(he)金(jin)試(shi)(shi)樣(yang)中(zhong)滲(shen)氮(dan)(dan)(dan)(dan)反應達到(dao)平衡(heng),試(shi)(shi)樣(yang)的(de)(de)平均(jun)氮(dan)(dan)(dan)(dan)含(han)量(liang)(liang)達到(dao)了0.30%,并且試(shi)(shi)樣(yang)的(de)(de)平均(jun)氮(dan)(dan)(dan)(dan)含(han)量(liang)(liang)隨(sui)著合(he)金(jin)中(zhong)鉻、錳元(yuan)素(su)含(han)量(liang)(liang)的(de)(de)增(zeng)加而逐漸增(zeng)加,對于(yu)實驗(yan)Fe24.0Cr20.5Mn合(he)金(jin),滲(shen)氮(dan)(dan)(dan)(dan)反應平衡(heng)后試(shi)(shi)樣(yang)的(de)(de)平均(jun)氮(dan)(dan)(dan)(dan)含(han)量(liang)(liang)達到(dao)1.95%.此外,對固態滲(shen)氮(dan)(dan)(dan)(dan)時鋼中(zhong)氮(dan)(dan)(dan)(dan)的(de)(de)溶解度(du)計算模型進行(xing)了簡化(hua),并通(tong)過固相滲(shen)氮(dan)(dan)(dan)(dan)實驗(yan)數(shu)據進行(xing)修正,給出了1473K、0.1MPa氮(dan)(dan)(dan)(dan)氣壓力下(xia)Fe-Cr-Mn系不銹(xiu)鋼中(zhong)氮(dan)(dan)(dan)(dan)溶解度(du)的(de)(de)近似表達式:

在(zai)前人(ren)研究的基礎上,Kunze和Rothe[50]計算和推導了(le)氮(dan)在(zai)奧氏體(ti)Fe-Cr-Mn合(he)金(jin)(jin)中的溶解度(du)(du),氮(dan)的活度(du)(du)系數YN(以摩(mo)爾分數表示)與溫度(du)(du)及(ji)氮(dan)在(zai)合(he)金(jin)(jin)中的摩(mo)爾分數xN存在(zai)如下關系:
表(biao)2-11給出了1000~1200℃范圍內(nei),N與(yu)合(he)金元素Cr、Mn的活度(du)相互(hu)作用(yong)(yong)系數(shu)和溫度(du)之間的關系。根據Wagner模型,超額吉布斯自由能可以用(yong)(yong)活度(du)相互(hu)作用(yong)(yong)系數(shu)表(biao)示為


三、固相合金(jin)體系中氮溶(rong)解度的影(ying)響因素
利用已建立的氮(dan)在固相不銹(xiu)鋼中(zhong)的溶(rong)解度模型(xing),可得出高(gao)氮(dan)不銹(xiu)鋼在凝固過程中(zhong)隨溫(wen)度變化(hua)時氮(dan)在不同相區的溶(rong)解度變化(hua)曲線(xian),以明(ming)晰(xi)氮(dan)氣分壓和鉻(ge)、錳(meng)等典型(xing)合金元素(su)對氮(dan)溶(rong)解的影(ying)響。
研究結果表明,在凝固(gu)(gu)過程(cheng)中(zhong)氮(dan)(dan)(dan)(dan)的(de)(de)溶解(jie)(jie)(jie)度(du)受相(xiang)轉變的(de)(de)影響(xiang)明顯,在相(xiang)變點處(chu)氮(dan)(dan)(dan)(dan)的(de)(de)溶解(jie)(jie)(jie)度(du)會(hui)有突變。隨(sui)著鋼(gang)液(ye)溫度(du)的(de)(de)降低,氮(dan)(dan)(dan)(dan)溶解(jie)(jie)(jie)度(du)會(hui)逐漸增加;在凝固(gu)(gu)初(chu)期,δ相(xiang)的(de)(de)產(chan)生導致氮(dan)(dan)(dan)(dan)的(de)(de)溶解(jie)(jie)(jie)度(du)急(ji)劇降低;當鋼(gang)中(zhong)開始析出γ相(xiang)時,氮(dan)(dan)(dan)(dan)的(de)(de)溶解(jie)(jie)(jie)度(du)又(you)會(hui)增大(da),并且(qie)隨(sui)著γ相(xiang)的(de)(de)增多,氮(dan)(dan)(dan)(dan)的(de)(de)溶解(jie)(jie)(jie)度(du)逐漸增大(da)。固(gu)(gu)液(ye)兩(liang)相(xiang)區氮(dan)(dan)(dan)(dan)的(de)(de)溶解(jie)(jie)(jie)度(du)最(zui)小,在析出的(de)(de)高(gao)溫鐵素體(ti)與液(ye)相(xiang)界面處(chu)最(zui)容易產(chan)生氮(dan)(dan)(dan)(dan)氣泡。在實際冶煉(lian)過程(cheng)中(zhong),8相(xiang)區的(de)(de)氮(dan)(dan)(dan)(dan)溶解(jie)(jie)(jie)度(du)決定了在凝固(gu)(gu)過程(cheng)中(zhong)是否產(chan)生氮(dan)(dan)(dan)(dan)氣孔。
1. 氮氣(qi)壓力(li)對(dui)合金體系氮溶解度的影響
我們利用建立的氮在(zai)(zai)不(bu)銹鋼熔(rong)體(ti)(ti)中及氮在(zai)(zai)γ相(xiang)(xiang)(xiang)、δ相(xiang)(xiang)(xiang)和(he)α相(xiang)(xiang)(xiang)中的溶(rong)解(jie)度模(mo)型(xing),對Fe-18Cr-18Mn合金體(ti)(ti)系在(zai)(zai)不(bu)同氮氣壓(ya)力(0.02MPa、0.1MPa和(he)0.6MPa)條件下,氮在(zai)(zai)該合金體(ti)(ti)系不(bu)同相(xiang)(xiang)(xiang)中的溶(rong)解(jie)度進(jin)(jin)行了計算,結果如圖2-46所示。隨著(zhu)體(ti)(ti)系氮氣壓(ya)力的增加(jia),δ-Fe相(xiang)(xiang)(xiang)區(qu)(qu)逐漸(jian)減小,當氮氣壓(ya)力增至0.6MPa時,8-Fe相(xiang)(xiang)(xiang)完全消失,凝固過(guo)程中氮直接由(you)液相(xiang)(xiang)(xiang)進(jin)(jin)入γ奧氏體(ti)(ti)相(xiang)(xiang)(xiang)區(qu)(qu)。提(ti)高體(ti)(ti)系氮氣壓(ya)力不(bu)僅可以(yi)提(ti)高各相(xiang)(xiang)(xiang)中氮的溶(rong)解(jie)度,還可以(yi)減小δ-Fe區(qu)(qu)域(yu),有效(xiao)地抑制凝固過(guo)程中氮的析(xi)出。目前,常見的高氮鋼制備工藝基本上(shang)都(dou)是采用增加(jia)氮氣壓(ya)力,如高壓(ya)氮氣氣氛下的感應熔(rong)煉(lian)、高壓(ya)氮氣氣氛下的電(dian)渣重熔(rong)、高壓(ya)電(dian)弧爐熔(rong)煉(lian)等。
2. 合金(jin)成分(fen)對合金(jin)體系氮溶解(jie)度(du)的影響
研究表明(ming),Cr、Mn等常(chang)用合金(jin)(jin)元(yuan)(yuan)(yuan)素均能增大氮的(de)固相(xiang)溶(rong)解(jie)度(du)。為(wei)了(le)(le)探究合金(jin)(jin)元(yuan)(yuan)(yuan)素含(han)(han)(han)量(liang)(liang)(liang)對(dui)氮固相(xiang)溶(rong)解(jie)度(du)的(de)影響(xiang)規律(lv),Tsuchiyama等基(ji)于實(shi)驗繪制了(le)(le)1473K、0.1MPa氮氣(qi)壓力下Fe-Cr和(he)Fe-Mn二元(yuan)(yuan)(yuan)合金(jin)(jin)的(de)平衡氮含(han)(han)(han)量(liang)(liang)(liang)與(yu)Cr或Mn含(han)(han)(han)量(liang)(liang)(liang)的(de)關系[圖2-47(a)].結果表明(ming),提高(gao)兩(liang)種元(yuan)(yuan)(yuan)素的(de)含(han)(han)(han)量(liang)(liang)(liang)都增加(jia)(jia)了(le)(le)氮的(de)溶(rong)解(jie)度(du),其中Cr元(yuan)(yuan)(yuan)素較(jiao)Mn元(yuan)(yuan)(yuan)素更(geng)能有效地增加(jia)(jia)鋼中氮的(de)溶(rong)解(jie)度(du)。例如,添(tian)加(jia)(jia)23%Cr可增加(jia)(jia)平衡氮含(han)(han)(han)量(liang)(liang)(liang)至(zhi)超高(gao)氮(1%N)的(de)水(shui)平,而添(tian)加(jia)(jia)25%Mn時平衡氮含(han)(han)(han)量(liang)(liang)(liang)也僅能達(da)到(dao)0.15%。圖2-47(b)所示的(de)等氮含(han)(han)(han)量(liang)(liang)(liang)圖也證(zheng)實(shi)了(le)(le)這一點,達(da)到(dao)相(xiang)同(tong)的(de)氮固相(xiang)溶(rong)解(jie)度(du)所需的(de)Cr含(han)(han)(han)量(liang)(liang)(liang)明(ming)顯低于Mn含(han)(han)(han)量(liang)(liang)(liang)。

即便如此,Mn也是(shi)高氮(dan)鋼中一種(zhong)重要的(de)(de)(de)(de)(de)合(he)金(jin)元(yuan)素(su),因此,Cr和(he)Mn同(tong)時添加(jia)對(dui)平衡氮(dan)含(han)量(liang)的(de)(de)(de)(de)(de)影響也是(shi)研究的(de)(de)(de)(de)(de)重點之一。圖2-47(a)進一步出了Fe-20Mn-Cr三元(yuan)基(ji)合(he)金(jin)中的(de)(de)(de)(de)(de)平衡氮(dan)含(han)量(liang)與(yu)Cr含(han)量(liang)的(de)(de)(de)(de)(de)關(guan)系(xi)(xi)。值得注(zhu)意的(de)(de)(de)(de)(de)是(shi),在Fe-20Mn-Cr合(he)金(jin)中實驗(yan)測(ce)量(liang)的(de)(de)(de)(de)(de)氮(dan)含(han)量(liang),遠高于Fe-20Mn與(yu)Fe-Cr系(xi)(xi)氮(dan)溶解(jie)度(du)的(de)(de)(de)(de)(de)加(jia)和(he)。這(zhe)意味著Cr和(he)Mn的(de)(de)(de)(de)(de)協同(tong)作用(yong)(yong)(yong)顯(xian)著提(ti)高了鋼中氮(dan)的(de)(de)(de)(de)(de)溶解(jie)度(du)。這(zhe)反映了Cr、Mn和(he)N這(zhe)三種(zhong)元(yuan)素(su)之間存在相(xiang)互作用(yong)(yong)(yong),具體表現為溶解(jie)度(du)表達式中Cr、Mn元(yuan)素(su)對(dui)N的(de)(de)(de)(de)(de)二階交叉活度(du)相(xiang)互作用(yong)(yong)(yong)系(xi)(xi)數較大。
除了合金(jin)元(yuan)素含量(liang)對氮(dan)溶解度高低的影響,不銹鋼中不同合金(jin)元(yuan)素對凝固過程中不同相區(qu)氮(dan)溶解度的變化也(ye)具(ju)有顯著的影響,一般可(ke)分(fen)為兩大類(lei)進行討論,即鐵素體形成(cheng)元(yuan)素(Cr、Mo和(he)Si等(deng))和(he)奧(ao)氏體形成(cheng)元(yuan)素(Ni、Mn、C和(he)N等(deng))。
在0.1MPa下幾(ji)種Fe-Cr合金中(zhong)氮溶(rong)(rong)解(jie)(jie)度(du)(du)(du)隨(sui)(sui)著(zhu)(zhu)溫(wen)度(du)(du)(du)變化(hua)的(de)(de)(de)(de)規律如(ru)圖2-42所(suo)示。存在如(ru)下特(te)點(dian):隨(sui)(sui)著(zhu)(zhu)凝(ning)固的(de)(de)(de)(de)進行,氮溶(rong)(rong)解(jie)(jie)度(du)(du)(du)在8-Fe 區(qu)(qu)域(yu)出現突降,到奧(ao)(ao)氏體(ti)(ti)區(qu)(qu)域(yu)氮含(han)量(liang)又(you)急劇(ju)增加。隨(sui)(sui)著(zhu)(zhu)合金中(zhong)Cr含(han)量(liang)的(de)(de)(de)(de)增加,氮溶(rong)(rong)解(jie)(jie)度(du)(du)(du)快速上(shang)升,但在各溫(wen)度(du)(du)(du)范(fan)圍中(zhong)的(de)(de)(de)(de)上(shang)升幅度(du)(du)(du)不同(tong),尤其在奧(ao)(ao)氏體(ti)(ti)區(qu)(qu)的(de)(de)(de)(de)升幅特(te)別大(da)。當(dang)Cr含(han)量(liang)高(gao)于8.1%時,奧(ao)(ao)氏體(ti)(ti)區(qu)(qu)的(de)(de)(de)(de)氮溶(rong)(rong)解(jie)(jie)度(du)(du)(du)已明顯(xian)大(da)于相(xiang)應液相(xiang)中(zhong)氮的(de)(de)(de)(de)溶(rong)(rong)解(jie)(jie)度(du)(du)(du)。同(tong)時,隨(sui)(sui)著(zhu)(zhu)Cr含(han)量(liang)的(de)(de)(de)(de)提高(gao),凝(ning)固過程中(zhong)8-Fe區(qu)(qu)域(yu)也(ye)逐漸增大(da)。
相(xiang)(xiang)反地,鋼中(zhong)(zhong)的(de)(de)(de)奧(ao)氏(shi)體形成(cheng)(cheng)元(yuan)素(su)(su),可(ke)(ke)使(shi)凝固(gu)(gu)過(guo)程(cheng)中(zhong)(zhong) δ-Fe 區(qu)域逐漸(jian)減小。圖2-48(a)為(wei)不同(tong)Mn含量(liang)鋼(合(he)金(jin)成(cheng)(cheng)分見表2-12)中(zhong)(zhong)氮(dan)的(de)(de)(de)溶解度(du)隨溫度(du)變化(hua)的(de)(de)(de)曲(qu)線。結果表明:隨著Mn含量(liang)的(de)(de)(de)提高,在(zai)液相(xiang)(xiang)與(yu)固(gu)(gu)相(xiang)(xiang)中(zhong)(zhong)氮(dan)的(de)(de)(de)溶解度(du)也(ye)會隨之增大;Mn是強奧(ao)氏(shi)體形成(cheng)(cheng)元(yuan)素(su)(su),隨著Mn含量(liang)的(de)(de)(de)提高,凝固(gu)(gu)過(guo)程(cheng)中(zhong)(zhong)8相(xiang)(xiang)區(qu)逐漸(jian)減小,甚(shen)至(zhi)可(ke)(ke)能消失。從(cong)圖中(zhong)(zhong)8.0%Mn鋼的(de)(de)(de)氮(dan)溶解度(du)計算結果可(ke)(ke)以看(kan)出(chu),在(zai)凝固(gu)(gu)過(guo)程(cheng)中(zhong)(zhong)未(wei)出(chu)現8相(xiang)(xiang)區(qu)。同(tong)時(shi),利用建(jian)立的(de)(de)(de)固(gu)(gu)相(xiang)(xiang)氮(dan)溶解度(du)模型對Fe-4Cr-16Mn合(he)金(jin)進行(xing)了計算,結果如(ru)圖2-48(b)所示。從(cong)圖中(zhong)(zhong)可(ke)(ke)以看(kan)出(chu),在(zai)Fe-4Cr-16Mn合(he)金(jin)體系從(cong)液相(xiang)(xiang)凝固(gu)(gu)的(de)(de)(de)過(guo)程(cheng)中(zhong)(zhong)也(ye)沒有(you)出(chu)現δ-Fe相(xiang)(xiang)區(qu),與(yu)文獻中(zhong)(zhong)報道一致。因此,適(shi)當提高合(he)金(jin)體系中(zhong)(zhong)奧(ao)氏(shi)體形成(cheng)(cheng)元(yuan)素(su)(su)的(de)(de)(de)含量(liang),有(you)助于(yu)減少氮(dan)在(zai)其凝固(gu)(gu)過(guo)程(cheng)中(zhong)(zhong)的(de)(de)(de)析(xi)出(chu)趨勢,從(cong)而(er)有(you)效(xiao)避免高氮(dan)鋼在(zai)凝固(gu)(gu)過(guo)程(cheng)中(zhong)(zhong)氮(dan)氣孔(kong)的(de)(de)(de)形成(cheng)(cheng)。



