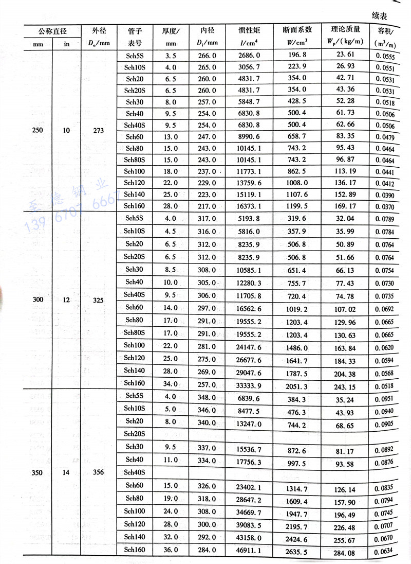
中國石化行業標準碳素鋼、低合金鋼、合金鋼、奧氏體不銹鋼無縫鋼管尺寸及特性數據見表4.1.14。
表4.1.14 中(zhong)國石(shi)化行業標準碳素鋼、低合金鋼、合金鋼、奧氏(shi)體不銹鋼無縫鋼管尺寸及特性數據








發布日期:2024-05-06 14:42:09 人氣:366
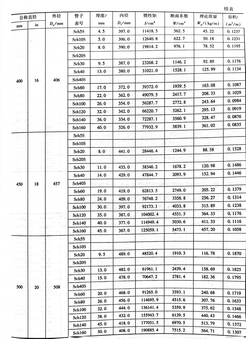
中國石化行業標準碳素鋼、低合金鋼、合金鋼、奧氏體不銹鋼無縫鋼管尺寸及特性數據見表4.1.14。
表4.1.14 中(zhong)國石(shi)化行業標準碳素鋼、低合金鋼、合金鋼、奧氏(shi)體不銹鋼無縫鋼管尺寸及特性數據







