本章所介紹(shao)的(de)美國(guo)管(guan)件標(biao)準(zhun)主要為美國(guo)機(ji)械工程師協會(hui)(即ASME)近期發布的(de)最新標(biao)準(zhun),這些(xie)管(guan)件標(biao)準(zhun)主要為:灰鑄鐵螺紋管(guan)件(ASME B16.4-1998)、可(ke)鍛鑄鐵螺紋管(guan)件(ASME B16.3-1998)、承插(cha)焊(han)和螺紋連接鍛鋼(gang)制(zhi)管(guan)件(ASME B16.11-2005)、工廠制(zhi)造的(de)鍛鋼(gang)對焊(han)管(guan)件及(ji)鍛鋼(gang)制(zhi)對焊(han)短半徑彎頭(tou)和180°彎頭(tou)等。
工廠(chang)制(zhi)造的鍛鋼對焊管(guan)件 ASME B16.9-2003 標準
一、適(shi)用范圍(wei)
1. 總則
ASME B16.9-2003標準適用于規格為(wei)NPS1/2~NPS 48(DN 15~DN1200)的工廠制(zhi)(zhi)造的鍛(duan)制(zhi)(zhi)對焊(han)管件的總體(ti)尺寸(cun)、公(gong)差(cha)、壓力等級、試驗及標志。
2. 特殊(shu)管件
根(gen)據制造廠(chang)和使(shi)用方(fang)雙(shuang)方(fang)協議,可(ke)以制造特殊尺寸、規格、形(xing)狀及公差的管件。
3. 管(guan)件制品
采用環(huan)焊縫(feng)或(huo)交叉焊縫(feng)制造的分(fen)支管件(jian)和其他管件(jian)均屬(shu)管件(jian)制品,并不屬(shu)于該(gai)標準的范(fan)圍。
搭接短節制(zhi)品(pin)不受以上限制(zhi),只要(yao)其材料符合20.4.4條所(suo)規定的(de)(de)可適用的(de)(de)ASTM材料規范的(de)(de)所(suo)有要(yao)求。
4. 標準(zhun)計量單位(wei)
無論以米(mi)制為(wei)單位或以美國慣用(yong)單位(即(ji)英(ying)制單位)表示的數值(zhi)都分(fen)別視為(wei)標準值(zhi)。
在該標準的(de)(de)正(zheng)文中英制(zhi)單位(wei)在括號內示出(chu)。由(you)于兩(liang)種(zhong)(zhong)單位(wei)制(zhi)所(suo)規定的(de)(de)數值不(bu)能做(zuo)到精確地相等,因此,必(bi)須獨立地分別使用每一種(zhong)(zhong)單位(wei)制(zhi)。兩(liang)種(zhong)(zhong)單位(wei)制(zhi)使用的(de)(de)混合數值,將導致(zhi)與該標準的(de)(de)不(bu)一致(zhi)。
無論是(shi)米(mi)制(zhi)單(dan)位尺(chi)寸的(de)管件或是(shi)英(ying)制(zhi)單(dan)位尺(chi)寸的(de)管件,其(qi)規格的(de)標(biao)志都(dou)為NPS。管件壓力等(deng)級與相(xiang)應規格和材料(liao)的(de)管子的(de)連接壁厚(hou)有關。
5. 使用條件
適合于(yu)特定流體使(shi)用條件(jian)的管件(jian)型式和材(cai)料的選擇標準,不屬于(yu)本標準的范圍。
6. 焊接
安裝焊接(jie)要求不(bu)屬于(yu)本標準的范圍(wei)。
7. 質量(liang)體系
按ASME B16.9標(biao)(biao)準(zhun)制(zhi)造(zao)的(de)(de)(de)產品(pin)應按質(zhi)量體(ti)系(xi)程序(xu)(xu)(xu)生產,該(gai)程序(xu)(xu)(xu)應遵(zun)循 ISO 9000系(xi)列的(de)(de)(de)某一(yi)適合的(de)(de)(de)標(biao)(biao)準(zhun)的(de)(de)(de)原則(ze)制(zhi)定(ding)。制(zhi)造(zao)廠(chang)有責任(ren)確定(ding)是否需要(yao)由一(yi)個獨(du)立(li)的(de)(de)(de)組織機構對產品(pin)制(zhi)造(zao)廠(chang)的(de)(de)(de)質(zhi)量體(ti)系(xi)進行注冊(ce)/或認(ren)證(zheng)。采購方(fang)在制(zhi)造(zao)廠(chang)的(de)(de)(de)場所(suo)應能得到演示程序(xu)(xu)(xu)符合性的(de)(de)(de)詳(xiang)細文件。應采購方(fang)的(de)(de)(de)請求,采購方(fang)可以得到產品(pin)制(zhi)造(zao)廠(chang)提(ti)供的(de)(de)(de)其(qi)所(suo)使用(yong)的(de)(de)(de)該(gai)質(zhi)量體(ti)系(xi)程序(xu)(xu)(xu)的(de)(de)(de)書面概(gai)括說(shuo)明(ming)。所(suo)謂(wei)產品(pin)制(zhi)造(zao)廠(chang)是指按本標(biao)(biao)準(zhun)標(biao)(biao)志或識別要(yao)求顯(xian)示在產品(pin)上(shang)的(de)(de)(de)完整廠(chang)名和商標(biao)(biao)。
8. 修約
為了確(que)定符合于本(ben)標準(zhun)的(de)目(mu)的(de),確(que)定有效(xiao)數(shu)字(zi)值(最大極(ji)限(xian)值或最小極(ji)限(xian)值)的(de)修約(yue),規定應(ying)按ASTME29予(yu)以(yi)“圓整(zheng)”。十進制的(de)小數(shu)值和公差(cha)并不包含特(te)殊的(de)測量方法(fa)。
9. 壓(ya)力等級標(biao)志(zhi)
磅級(ji)(ji)(后面緊跟尺寸數字)是壓力(li)-溫度等級(ji)(ji)的(de)標(biao)(biao)志。對(dui)于本標(biao)(biao)準(zhun)中所引(yin)用(yong)的(de)ASME B16.5法蘭的(de)標(biao)(biao)準(zhun),其(qi)標(biao)(biao)志為(wei)磅級(ji)(ji)150、300、900、1500及(ji)2500。
二、 壓力等級
1. 等級的基準
按(an)本標準(zhun)所(suo)(suo)規(gui)(gui)定的(de)管件的(de)允許壓(ya)(ya)力(li)(li)等(deng)(deng)級,可以(yi)根據ASME B31《壓(ya)(ya)力(li)(li)管道(dao)規(gui)(gui)范》中所(suo)(suo)規(gui)(gui)定的(de)規(gui)(gui)程,按(an)等(deng)(deng)同材(cai)料(liao)(按(an)相應材(cai)料(liao)規(gui)(gui)范的(de)化學成分和機械(xie)性能比較所(suo)(suo)得出的(de))的(de)直無縫管來(lai)計算。為了計算,應使(shi)用與管件相當的(de)管子規(gui)(gui)格、壁厚(hou)及材(cai)料(liao)的(de)應用數據。管件上的(de)管子規(gui)(gui)格、壁厚(hou)(或壁厚(hou)系列(lie)號)和材(cai)料(liao)標志與壓(ya)(ya)力(li)(li)等(deng)(deng)級標志有關(guan)。
2. 管(guan)件的(de)設計
管件(jian)的(de)(de)設計(ji)應按(an)美國全國范(fan)圍內(nei)公認的(de)(de)壓力(li)容(rong)器(qi)或管道規范(fan)中所(suo)包含的(de)(de)數學(xue)分(fen)(fen)析方法(例如(ru),對彎頭按(an)ASME B16.49)來確定(ding),或按(an)制(zhi)造(zao)(zao)(zao)廠的(de)(de)意(yi)見,根據本標準的(de)(de)第9章采用驗(yan)證(zheng)試驗(yan)方法進(jin)行(xing)。為了滿足設計(ji)或制(zhi)造(zao)(zao)(zao)要求,可以預(yu)料,成型管件(jian)某些部分(fen)(fen)的(de)(de)壁(bi)(bi)厚(hou)可能(neng)需要比打算使(shi)用該管件(jian)的(de)(de)管子壁(bi)(bi)厚(hou)要厚(hou)。如(ru)果(guo)使(shi)用,數學(xue)分(fen)(fen)析可以考慮(lv)這些較厚(hou)部分(fen)(fen)。在制(zhi)造(zao)(zao)(zao)的(de)(de)現場應能(neng)得到數學(xue)分(fen)(fen)析和/或合格的(de)(de)驗(yan)證(zheng)試驗(yan)結果(guo)的(de)(de)記錄以供采購(gou)方檢查。
三、規格
公稱管(guan)件規格的(de)代(dai)號是NPS后跟無因次(ci)的(de)數(shu)字。NPS與國際標準(zhun)中(zhong)所(suo)使(shi)用(yong)的(de)標準(zhun)公稱通徑DN有(you)關,它們之(zhi)間的(de)關系見表20-40。

四、材(cai)料
本標準所包括的(de)鍛(duan)制管件應遵循 ASTM A234、A403、A420、A815、B361、B363和(he)B366或(huo)ASME 鍋爐和(he)壓(ya)力容器(qi)規范第II卷(juan)中所列出的(de)相應標準。術語“鍛(duan)制”是(shi)指管件是(shi)由(you)管子、管材(cai)、板材(cai)或(huo)鍛(duan)件制造的(de)。由(you)鍛(duan)坯制造的(de)管件只能根(gen)據制造廠和(he)采購方的(de)協議供貨。這種管件不需要符(fu)合20.4.7條(tiao)表面(mian)輪廓的(de)要求(qiu)。
五、尺(chi)寸
1. 標準(zhun)尺寸
本(ben)標準為管件的焊接端提(ti)供了固定位置(zhi),不(bu)論是相(xiang)對于管件的中心線還是總尺寸,其位置(zhi)都不(bu)變。
管件尺寸分米制(zhi)和(he)英制(zhi)兩個系列。
a. 米(mi)制(zhi)尺(chi)寸的長半徑(jing)彎頭(tou)型式見圖(tu)20-33,尺(chi)寸見表(biao)(biao)20-41;英制(zhi)尺(chi)寸的長半徑(jing)彎頭(tou)型式見圖(tu)20-33,尺(chi)寸見表(biao)(biao)20-42。
b. 米制尺(chi)寸(cun)的長半(ban)徑異(yi)徑彎頭型式見(jian)圖20-34,尺(chi)寸(cun)見(jian)表20-43;英制尺(chi)寸(cun)的長半(ban)徑異(yi)徑彎頭型式見(jian)圖20-34,尺(chi)寸(cun)見(jian)表20-44。




c. 米制尺寸(cun)的(de)長(chang)半(ban)徑180°彎頭(tou)型(xing)式見圖(tu)20-35,尺寸(cun)見表20-45;英制尺寸(cun)的(de)長(chang)半(ban)徑180°彎頭(tou)型(xing)式見圖(tu)20-35,尺寸(cun)見表20-46。

d. 米制(zhi)尺寸(cun)的短(duan)半(ban)徑(jing)(jing)彎頭型(xing)(xing)式見圖20-36,尺寸(cun)見表(biao)20-47;英制(zhi)尺寸(cun)的短(duan)半(ban)徑(jing)(jing)彎頭型(xing)(xing)式見圖20-36,尺寸(cun)見表(biao)20-48。

e. 米制尺(chi)寸(cun)的短半(ban)徑(jing)180°彎(wan)頭型(xing)式見(jian)(jian)圖(tu)20-37,尺(chi)寸(cun)見(jian)(jian)表20-49;英制尺(chi)寸(cun)的短半(ban)徑(jing)180°彎(wan)頭型(xing)式見(jian)(jian)圖(tu)20-37,尺(chi)寸(cun)見(jian)(jian)表20-50。

f. 米制尺(chi)寸(cun)等徑三(san)通和(he)四通型式(shi)見(jian)圖(tu)(tu)20-38,尺(chi)寸(cun)見(jian)表20-51;英制尺(chi)寸(cun)等徑三(san)通和(he)四通型式(shi)見(jian)圖(tu)(tu)20-38,尺(chi)寸(cun)見(jian)表20-52。
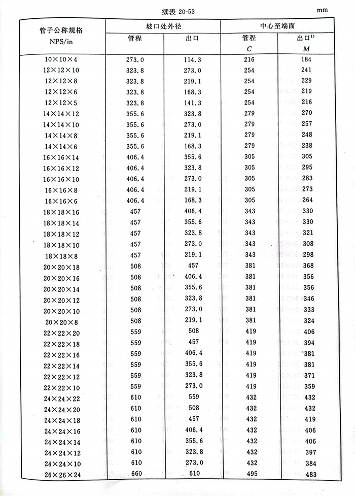
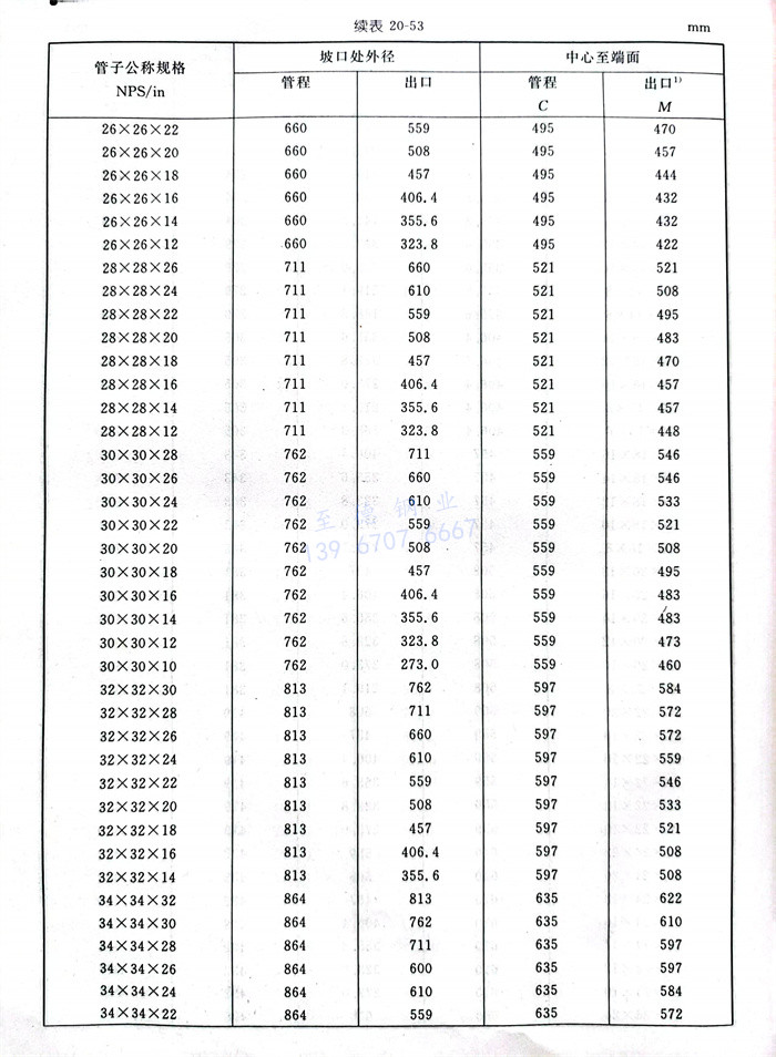
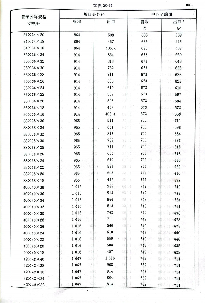
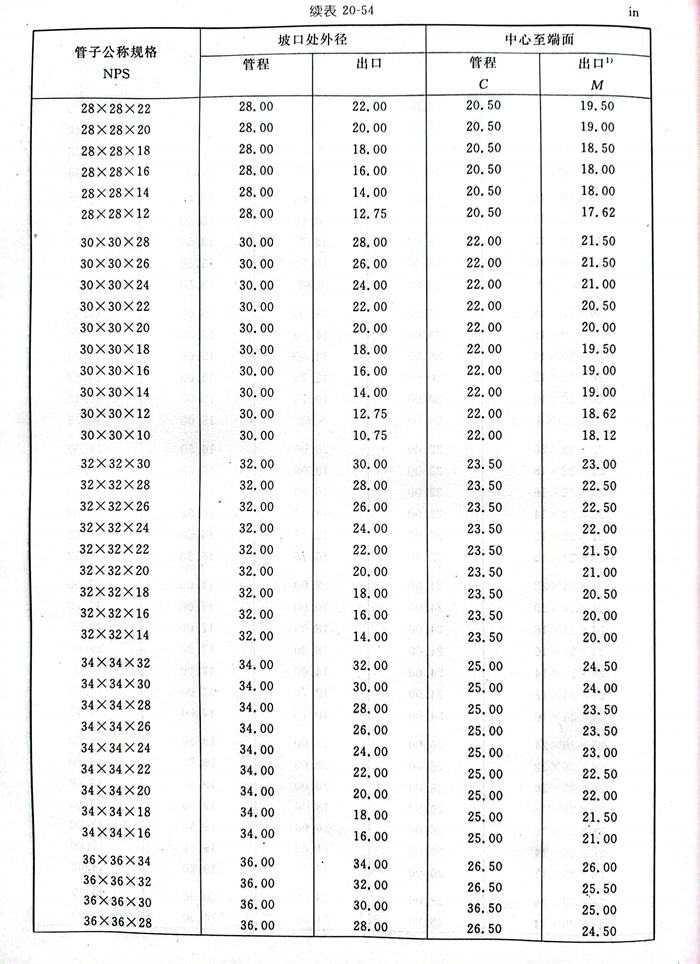
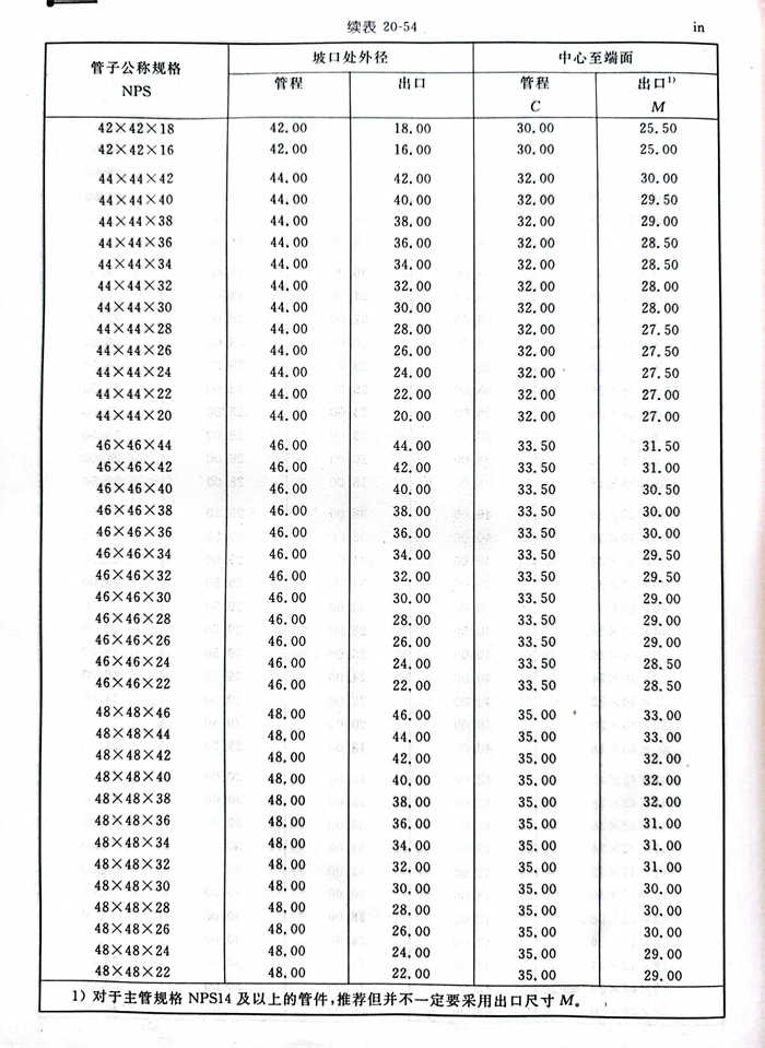
g. 米制尺(chi)寸(cun)(cun)異(yi)徑出口(kou)三通和異(yi)徑出口(kou)四通型式見圖(tu)20-39,尺(chi)寸(cun)(cun)見表20-53;英制尺(chi)寸(cun)(cun)異(yi)徑出口(kou)三通和異(yi)徑出口(kou)四通型式見圖(tu)20-39,尺(chi)寸(cun)(cun)見表20-54。













h. 米制搭接(jie)(jie)短節型式(shi)見(jian)(jian)圖20-40,尺(chi)寸見(jian)(jian)表(biao)20-55;英制搭接(jie)(jie)短節型式(shi)見(jian)(jian)圖20-40,尺(chi)寸見(jian)(jian)表(biao)20-56。

①. 當(dang)短(duan)形(xing)短(duan)節用300磅(bang)級和(he)600磅(bang)級的(de)較大(da)(da)法蘭及大(da)(da)于等(deng)于900磅(bang)級的(de)大(da)(da)部(bu)分(fen)規格法蘭時;當(dang)長(chang)形(xing)短(duan)節用1500磅(bang)級和(he)2500磅(bang)級的(de)較大(da)(da)法蘭時,為了避免法蘭可(ke)能覆(fu)蓋焊縫,可(ke)能需要(yao)增加搭接長(chang)度。長(chang)度的(de)增加量由制(zhi)造廠與采購方雙方協商。
②. 當采用榫槽面,凹凸面特(te)殊(shu)端面時(shi),必須增(zeng)加搭接邊的厚度,增(zeng)加厚度應在基(ji)本長(chang)度F之外(不包括在基(ji)本長(chang)度內(nei))。
③. 這些尺寸應與ASME B16.5《管(guan)道法蘭(lan)和法蘭(lan)管(guan)配(pei)件》中搭接法蘭(lan)的規定半徑相(xiang)符。
④. 該尺(chi)寸與ASMEB16.5中(zhong)表示的(de)標準(zhun)機加工面(mian)一致(zhi)。折邊(bian)的(de)背面(mian)應進行機加工,使與其(qi)安裝表面(mian)一致(zhi)。當采用環連接(jie)密(mi)封面(mian)時,使用ASME B16.5中(zhong)給出的(de)尺(chi)寸K。

①. 當短形短節用300磅(bang)級和600磅(bang)級的(de)較大(da)法(fa)蘭(lan)及大(da)于等于900磅(bang)級的(de)大(da)部分規格法(fa)蘭(lan)時;當長形短節用1500磅(bang)級和2500磅(bang)級的(de)較大(da)法(fa)蘭(lan)時,為了避(bi)免法(fa)蘭(lan)可(ke)能覆(fu)蓋(gai)焊縫,可(ke)能需要增加(jia)搭接管的(de)長度。長度的(de)增加(jia)量由制造廠與采購方雙方協商。
②. 當(dang)采用如榫槽面(mian)(mian),凹凸面(mian)(mian)特殊端面(mian)(mian)時,必須增加(jia)搭接邊的厚(hou)度(du),增加(jia)厚(hou)度(du)應在基(ji)本長(chang)度(du)F之外(不包括在基(ji)本長(chang)度(du)內)。
③. 這(zhe)些(xie)尺寸應與(yu)ASME B16.5《管道法蘭(lan)和法蘭(lan)管配件》中塔接(jie)法蘭(lan)的(de)規(gui)定半(ban)徑(jing)相符。
④. 該尺(chi)寸與(yu)ASME B16.5中表示的標(biao)準機(ji)加工面(mian)一致。折邊的背面(mian)應進行機(ji)加工,使(shi)與(yu)其安裝表面(mian)一致。當采用(yong)環連(lian)接密封面(mian)時,使(shi)用(yong)ASMEB16.5中給出的尺(chi)寸K。
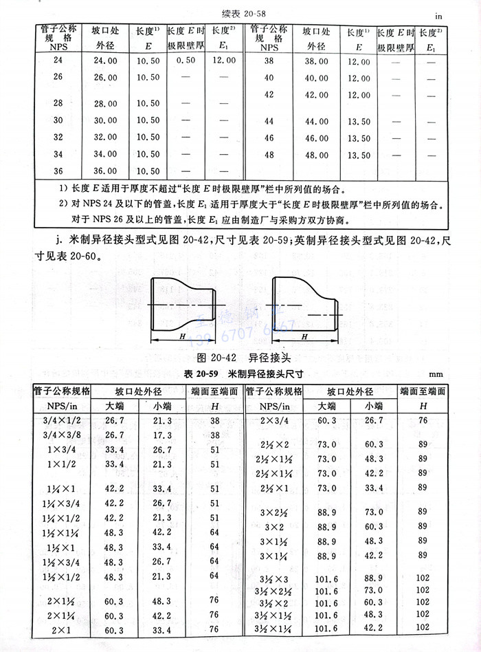
i. 米制管(guan)蓋(gai)型(xing)(xing)式見(jian)(jian)圖(tu)20-41,尺寸見(jian)(jian)表20-57;英制管(guan)蓋(gai)型(xing)(xing)式見(jian)(jian)圖(tu)20-41,尺寸見(jian)(jian)表20-58。
j. 米(mi)制(zhi)異徑接頭(tou)型式見圖20-42,尺(chi)(chi)寸(cun)見表(biao)20-59;英制(zhi)異徑接頭(tou)見圖20-42,尺(chi)(chi)寸(cun)見表(biao)20-60。






2. 特殊尺寸
a. 疲(pi)勞載(zai)荷
對于涉及疲(pi)勞(lao)載荷的應用情況,采購方應提供所要求的最小尺寸。
b. 鉆(zhan)孔直(zhi)徑
不在端部的鉆(zhan)孔直徑不作規定。如(ru)果(guo)需要特殊的流程要求(qiu),采(cai)購方(fang)應規定鉆(zhan)孔尺寸。
C. 短(duan)節
使(shi)用條件和接(jie)頭結構通常支(zhi)配短(duan)(duan)節長度要求。因此,在訂購時,采購方必須規定是(shi)長形(xing)還是(shi)短(duan)(duan)形(xing)管件。
六、公差
管(guan)件(jian)(jian)公差(cha)(cha)有米(mi)制(zhi)尺寸(cun)公差(cha)(cha)及英制(zhi)尺寸(cun)公差(cha)(cha)兩種。米(mi)制(zhi)管(guan)件(jian)(jian)公差(cha)(cha)見圖20-43及表20-61;英制(zhi)管(guan)件(jian)(jian)公差(cha)(cha)見圖20-43及表20-62。


①. 端部內徑和公稱壁厚由(you)采購方規定。
②. 除非采購方規定各種壁厚公差否則就采用公稱壁厚的87.5%,見圖20-45的腳注1)(a)。
③. 不圓度為正偏差和負偏差絕對值之和。
④. 當需要增加壁厚以滿足20.4.2.2條的設計要求時,該公差可能不適用于成型管件的固定區域。
⑤. 除非采購方另有規定,否則這些公差適用于公稱內徑等于公稱外徑減去兩倍公稱壁厚的場合。
⑥. 筒部外徑的極限尺寸見表20-55。

①. 端部內徑和公稱壁厚由采購方規定。
②. 除非采購方規定各種壁厚公差否則就采用公稱壁厚的87.5%。見圖20-45的腳注1)(a)。
③. 不圓度為正偏差和負偏差絕對值之和。
④. 當需要增加壁厚以滿足20.4.2.2條的設計要求時,該公差可能不適用于成型管件的固定區域。
⑤. 除非采購方另有規定,這些公差適用于公稱內徑(等于公稱外徑減去兩倍公稱壁厚)的場合。
⑥. 筒部外徑的極限尺寸見表20-56。
七、表面(mian)輪廓線(xian)
當管件(jian)(jian)上相鄰的開孔(kong)不在(zai)平(ping)行平(ping)面(mian)上,應用一段圓(yuan)(yuan)弧(hu)(hu)或半徑將外表面(mian)連接上。圓(yuan)(yuan)弧(hu)(hu)或半徑可(ke)以終止在(zai)切點處。除作為鍛坯(pi)提供的管件(jian)(jian)外(見20.4.4條),管件(jian)(jian)外表面(mian)的設計輪廓應無尖銳(rui)的橫(heng)斷圓(yuan)(yuan)弧(hu)(hu)及(ji)/或折疊圓(yuan)(yuan)弧(hu)(hu)。
八、端部制(zhi)備
除非另有規定,管件焊(han)接端部的制備(包括焊(han)接端部坡(po)口形(xing)狀及尺寸以(yi)(yi)及焊(han)接端部過渡部分的最(zui)大包絡線)按以(yi)(yi)下規定:
a. 焊接(jie)端部坡口(kou)形狀及尺寸見(jian)圖20-44,焊接(jie)坡口(kou)和鈍邊見(jian)表20-63。
b. 焊接端部(bu)過渡部(bu)分的最大(da)包絡(luo)線見圖20-45。
除圖20-45(焊接端部過(guo)渡段的(de)(de)(de)最大(da)包絡線(xian))腳注5)所(suo)包括情(qing)況或(huo)除非特殊訂(ding)貨外(wai),在圖20-45所(suo)示的(de)(de)(de)最大(da)包絡線(xian)的(de)(de)(de)范圍內(nei),由(you)焊接坡(po)口到(dao)管件的(de)(de)(de)外(wai)表面(mian)(mian)、以及由(you)鈍邊到(dao)管件的(de)(de)(de)內(nei)表面(mian)(mian)的(de)(de)(de)過(guo)渡,由(you)制造廠自定(ding)。


九、設計驗證試驗
1. 要求的(de)試(shi)驗
當制造廠選(xuan)擇驗(yan)(yan)證(zheng)(zheng)試驗(yan)(yan)以考(kao)核(he)管件(jian)(jian)設計質(zhi)量時,應按本標準的(de)規(gui)定進行驗(yan)(yan)證(zheng)(zheng)試驗(yan)(yan)。除非制造廠和采購方之間另有協議,驗(yan)(yan)證(zheng)(zheng)試驗(yan)(yan)應是(shi)依(yi)據(ju)管件(jian)(jian)及(ji)其他連(lian)接管道的(de)計算爆破壓力進行的(de)一種(zhong)試驗(yan)(yan)。
搭接短節免做驗(yan)證試驗(yan)。因為(wei)搭接短節在法蘭(lan)組件(jian)中(zhong)使用(yong),它有著不同的(de)壓力(li)等級,并取決(jue)于(yu)操作(zuo)要求。
2. 試驗組裝件
a.樣(yang)品件(jian) 作為產品樣(yang)品并已經(jing)被(bei)選(xuan)來(lai)作試驗(yan)的管件(jian),應驗(yan)明材料、等級和批量,包括熱處(chu)理。管件(jian)應經(jing)過尺寸檢驗(yan),并符合本標準的要求。
b. 其他零件(jian)(jian)應(ying)將(jiang)計(ji)算(suan)(suan)爆破(po)壓力(li)至(zhi)少與(yu)按(an)20.4.9.3條規定計(ji)算(suan)(suan)得出的(de)驗證試驗壓力(li)同(tong)樣(yang)大(da)小的(de)直無縫管(guan)(guan)或(huo)焊(han)接(jie)(jie)管(guan)(guan)的(de)管(guan)(guan)段焊(han)接(jie)(jie)到待試驗的(de)管(guan)(guan)件(jian)(jian)各(ge)端。任何內(nei)圓(yuan)不(bu)圓(yuan)度(du)(du)大(da)于1.5 mm(0.06 in.)的(de)管(guan)(guan)子都應(ying)采用斜度(du)(du)不(bu)大(da)于1:3的(de)鏜削加工(gong),減(jian)少其不(bu)圓(yuan)度(du)(du)。這些(xie)管(guan)(guan)段的(de)截止長(chang)度(du)(du)按(an)以下規定:
對于(yu)NPS 14(DN 350)及以下的(de)管件,管子的(de)最小長(chang)度(du)應與管子的(de)外徑相等。
對于大(da)于NPS 14(DN 350)的管件,管子的最小(xiao)長度應為管子外徑的一半。
3. 試驗(yan)方(fang)法
水壓(ya)(ya)試驗(yan)(yan)用的(de)試驗(yan)(yan)流體應(ying)為水或其他液(ye)體。應(ying)對(dui)試驗(yan)(yan)組裝件施加水壓(ya)(ya)。當(dang)試驗(yan)(yan)組裝件能經受住按下(xia)式計算得到(dao)的(de)驗(yan)(yan)證試驗(yan)(yan)壓(ya)(ya)力(li)的(de)105%而(er)不(bu)發生破(po)裂時,即滿足驗(yan)(yan)證試驗(yan)(yan)要求。
P=2 St/D
式中:D-管子的(de)公稱(cheng)外(wai)徑;
P-管子的最小(xiao)計算驗證試驗壓力;
S-試(shi)驗(yan)管件的(de)實測抗(kang)拉強(qiang)(qiang)度,該(gai)抗(kang)拉強(qiang)(qiang)度從試(shi)驗(yan)管件的(de)有代(dai)表性的(de)樣品上測出。試(shi)驗(yan)管件的(de)實測抗(kang)拉強(qiang)(qiang)度應滿足20.4.4條中所規定的(de)適(shi)用(yong)材料(liao)的(de)抗(kang)拉強(qiang)(qiang)度要求。
t一管件標(biao)志識別(bie)的公稱管壁厚度。
注:可(ke)使用任何一種(zhong)和(he)尺寸上(shang)相符合的(de)單位制。
4. 試驗結果的可用性
不需要(yao)對規格、壁(bi)厚及材料(liao)的(de)(de)(de)所(suo)(suo)有組合(he)管(guan)件(jian)進行(xing)逐(zhu)一試(shi)驗。在一個代表(biao)性管(guan)件(jian)上得出的(de)(de)(de)合(he)格驗證試(shi)驗可代表(biao)以下所(suo)(suo)述范圍內(nei)的(de)(de)(de)其(qi)他(ta)相同形(xing)式的(de)(de)(de)管(guan)件(jian)。
a. 規格(ge)范圍
一個試(shi)驗(yan)管(guan)件(jian)可(ke)用來(lai)評(ping)定或(huo)考核規格為試(shi)驗(yan)管(guan)件(jian)規格的(de)0.5倍到2倍的(de)類似比例的(de)管(guan)件(jian)。非異(yi)徑(jing)管(guan)件(jian)試(shi)驗(yan)可(ke)用以對(dui)相同(tong)模(mo)型的(de)等徑(jing)管(guan)件(jian)進(jin)行評(ping)定或(huo)考核。
b. 厚度范圍(wei)
一(yi)個試驗管(guan)件可以用來對t/D比值為試驗管(guan)件的(de)(de)0.5倍到3倍的(de)(de)類似比例的(de)(de)管(guan)件進行評定或(huo)考核。
c. 材料等級(ji)
由(you)各種(zhong)級別鋼材制造(zao)的幾何尺寸相同(tong)的管(guan)件,其承壓能力直接(jie)與(yu)各種(zhong)級別材料的抗拉強(qiang)度成正比,見20.4.2.1條。因此,只需試驗單一材料級別的樣品管(guan)件以(yi)驗證該(gai)管(guan)件的設計。
十、產品試驗
本標準(zhun)不要(yao)求(qiu)對鍛鋼(gang)管件(jian)(jian)進行水壓(ya)試驗。所有(you)管件(jian)(jian)都應(ying)能承受與該管件(jian)(jian)的NPS、壁厚及標志(zhi)在(zai)管件(jian)(jian)上的材料(liao)級別相(xiang)當的無縫鋼(gang)管適用規范所要(yao)求(qiu)的水壓(ya)試驗壓(ya)力,而無泄(xie)漏或有(you)損使用性能的缺陷。
十一、標志(zhi)
1. 標(biao)準標(biao)志
每個管件都應作(zuo)永久性(xing)標志(zhi)以表明以下內容:
a. 制造(zao)廠的名(ming)稱或商標;
b. 材料標識,ASTM或ASME級別符號(hao);
c. 壁厚序列號(hao)或以mm為單位(wei)的公稱壁厚;
d. 規(gui)(gui)格一一應使用與端部連接(jie)有關的管子(zi)公稱規(gui)(gui)格(NPS)識別號(hao);
e. 符合性一(yi)一(yi)對于標準管件(jian)和(he)特殊管件(jian)標志見20.4.11.4條。
制(zhi)造廠可采用包(bao)括DN規格符(fu)號等其他標(biao)志(zhi)來補(bu)充強(qiang)制(zhi)性標(biao)志(zhi),但是應避免(mian)與(yu)要求的標(biao)志(zhi)混淆。
注:壁(bi)厚(hou)系(xi)列號(hao)是(shi)在訂(ding)購管(guan)(guan)子和管(guan)(guan)件(jian)時(shi)使用的一種方(fang)便的代號(hao),是(shi)一個(ge)無尺(chi)寸(cun)單位的數字。它通常與一組標準管(guan)(guan)壁(bi)厚(hou)有聯系(xi)。對于管(guan)(guan)子的壁(bi)厚(hou)系(xi)列號(hao)的整個(ge)細節(jie)見(jian) ASME B36.10M及ASME B36.19M。
2. 例(li)外情況
當管件的規格不允許進(jin)行完整標(biao)(biao)志時(shi),可逆(ni)上述內容順序(xu)省略識(shi)別標(biao)(biao)識(shi)。
3. 鋼印深度
在(zai)使用鋼(gang)印處,應注意(yi)鋼(gang)印不要(yao)過深或(huo)太尖(jian)而產生(sheng)裂紋(wen)或(huo)使管(guan)件的壁厚(hou)減少(shao)到小于(yu)允許(xu)的最(zui)小壁厚(hou)。
4. 符合(he)性
a. 標準管件
按(an)符合本(ben)標準制(zhi)造的管件,包括所(suo)有尺寸在(zai)內,在(zai)材料(liao)級別號標志中(zhong)加(jia)“WP”前綴進行識別。
b. 特殊管(guan)件
按(an)符(fu)合本標準制造的(de)管件,除了尺寸要求是按(an)采購方和制造廠之間的(de)協議外(wai),用(yong)補充(chong)后綴至如下材料級別號標志(zhi)中來進行識別:
對于符合(he) ASTM A234、A403、A420及(ji)A815的管件,采(cai)用(yong)“S9”標志;
對于符(fu)合ASTM B361、B363及B366的管件(jian),采用(yong)“SPLD”標志(zhi)。

