1. ASME B31.3壁厚設計(ji)(ji)計(ji)(ji)算與對比分析


從上(shang)面的推導過程可知,對(dui)于(yu)理想的薄壁圓(yuan)筒管(guan)狀設備(bei),如果(guo)要使其強度(du)承(cheng)受給定(ding)內壓而不致破壞,所取的計算厚度(du)應(ying)與(yu)(yu)內壓和(he)管(guan)子直徑的乘積成正比(bi),與(yu)(yu)材料的許用(yong)應(ying)力成反比(bi)。經過多年發展和(he)對(dui)公(gong)式的不斷(duan)修正,形(xing)成了目(mu)前廣泛(fan)認可的ASME B31.3經典(dian)壁厚計算公(gong)式(3.3.4)或式(3.3.5)。
2. ASME B31.3管道壁厚計算方(fang)法(fa)
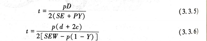
(1)管道的(de)直管部分(fen)所要(yao)求(qiu)的(de)厚(hou)度(du)應按(an)公式(3.3.4)確定:
tm=t+c (3.3.4)
考(kao)慮到鋼廠的負(fu)偏差,應選用管(guan)道最(zui)小(xiao)壁厚T≥tm
(2)直管(guan)的(de)壓(ya)力設計公式中(zhong)的(de)代號意(yi)義如下(xia):
c--機(ji)械(xie)裕量(螺紋或(huo)溝槽(cao)深度(du)(du))與腐蝕(shi)和(he)磨蝕(shi)裕量的總和(he)。對(dui)于帶螺紋的組件,應(ying)采用公稱螺紋深度(du)(du)(ASME B1.20.1的尺(chi)寸(cun)h或(huo)相當的尺(chi)寸(cun));對(dui)于沒(mei)有規定公差(cha)的機(ji)加工表(biao)面(mian)或(huo)槽(cao),應(ying)在(zai)規定的切削深度(du)(du)加上(shang)0.5mm(0.02in)的公差(cha);
d--管(guan)道內徑。對于壓力設計計算時,管(guan)道內徑應(ying)是采購技術條件下(xia)的(de)最(zui)大值;
D--管道的外徑,如(ru)標準(zhun)或技術條件表(biao)列或實測;
E--ASME B31.3表A-1A或A1-1B所列(lie)質量系數(shu);
p--設計(ji)內壓(表壓);
S--材料的許(xu)用應(ying)力,見(jian)ASME B31.3表A-1;
T--管(guan)壁(bi)厚(實測(ce)或按采(cai)購技術條件(jian)中的(de)最小壁(bi)厚);
tm--包(bao)括機加工、腐(fu)蝕和磨蝕裕(yu)量在內的所需最小厚度;
t--壓力設計(ji)厚(hou)度(du);
W--焊縫結構強(qiang)度(du)降低系數。
W 是考慮蠕變溫度下(xia)新加的一個小于或等于1的系(xi)數(shu)。實際上式(shi)(shi)(shi)(3.3.5)和式(shi)(shi)(shi)(3.3.6)最(zui)初來源于較(jiao)精確且較(jiao)復(fu)雜(za)的拉美(Lamé)公式(shi)(shi)(shi)(在(zai)1883年提(ti)出)的經驗(yan)近(jin)似式(shi)(shi)(shi)。
焊縫(feng)接頭強度(du)(du)降低(di)系(xi)數(shu)W是(shi)引起焊縫(feng)接頭失(shi)效的(de)名(ming)義(yi)應(ying)(ying)力與相(xiang)同持(chi)久時(shi)間(jian)母(mu)材失(shi)效的(de)名(ming)義(yi)應(ying)(ying)力的(de)比,在缺少(shao)更(geng)多可用(yong)數(shu)據(ju)的(de)情況下(如蠕變試(shi)驗),對于所有材料(liao),在溫度(du)(du)不大于510℃(950℉)時(shi),應(ying)(ying)取(qu)(qu)為(wei)1.0,在溫度(du)(du)815℃(1500°℉)時(shi),應(ying)(ying)取(qu)(qu)為(wei)0.5。中間(jian)溫度(du)(du)的(de)強度(du)(du)降低(di)系(xi)數(shu)應(ying)(ying)使用(yong)線性內插(cha)法取(qu)(qu)得。對于溫度(du)(du)高于815℃(1500°℉)的(de)情況,由設(she)計者負責確定強度(du)(du)降低(di)系(xi)數(shu)。
使(shi)用焊(han)(han)(han)縫(feng)接頭(tou)的(de)蠕變試(shi)驗來(lai)確定強度降低系數時,宜(yi)使(shi)用全(quan)(quan)厚(hou)度橫(heng)截面焊(han)(han)(han)縫(feng)試(shi)樣(yang)試(shi)驗,其持(chi)久時間不(bu)低于1000h。除非(fei)設計者(zhe)考(kao)慮由(you)于橫(heng)穿焊(han)(han)(han)縫(feng)應力(li)重新分配的(de)影響,應使(shi)用全(quan)(quan)厚(hou)度焊(han)(han)(han)縫(feng)試(shi)樣(yang)。
Y--當t/D/6時從ASME B31.3表(biao)查得系數,見表(biao)3.3.18。對于(yu)中間溫度,Y值可(ke)用(yong)內插法求(qiu)得。

(3)承受內壓的直管。
①. 當t<D/6時,直(zhi)管的(de)內(nei)壓設計厚度(du),應不小于(yu)式(shi)(3.3.5)或式(shi)(3.3.6)計算出(chu)的(de)厚度(du):

②. 當t≥D/6時或p/SE>0.385時,直管的內壓設計厚度要對諸(zhu)如失效機(ji)理、疲勞影(ying)響和(he)熱應力(li)等因素予(yu)以特殊考(kao)慮。
(4)承受外壓的直管。
確定(ding)承(cheng)受外壓(ya)的直管的壁厚和剛(gang)性加(jia)強要求(qiu)時,應遵(zun)照BPV規范VII卷第1冊UG-28至UG-30規定(ding)的程序,使用UG-29規定(ding)的兩剛(gang)性加(jia)強圈斷面中心線間長度作(zuo)為(wei)設計(ji)長度Lo。作(zuo)為(wei)例外的是當(dang)P.2的S值應是在設計(ji)溫(wen)度下管道材料下列數值中較小值:
①. 1.5倍ASME B31.3附錄表A-1的許用應力;
②. 0.9倍列于(yu)第(di)II卷D篇表Y-1相應材料屈服強度。
(第VII卷中(zhong)的符號D。相當于ASME B31.3中(zhong)的D)

