鋼(gang)管的壁厚計算(suan)方(fang)法(fa),在ASME B31.3、GB 50316、SH/T 3509等標(biao)準規范(fan)中均有(you)詳(xiang)細(xi)的介紹。鋼(gang)管壁厚的表示方(fang)法(fa)在不同的標(biao)準中各不相同,但主要有(you)三種。
1. 以(yi)管子(zi)表號表示公稱壁厚(hou) 此(ci)種表示方法以(yi)ASME B36.10《焊接(jie)和無縫鋼管》為代(dai)表并為其他許多標(biao)(biao)準所(suo)采用,常以(yi)“Sch”標(biao)(biao)示。
管(guan)子表號(hao)是(shi)管(guan)子設計壓力與設計溫度下材料許(xu)用(yong)應力的比值乘以1000,并經圓整后的數值。
ASME B36.10和(he)JIS標準中管(guan)子(zi)表號有:Sch10、Sch20、Sch30、Sch40、Sch60、Sch80、Sch100、Sch120、Sch140、Sch160。
ASME B36.19中不銹(xiu)鋼管管子表(biao)號有:Sch5s、Sch1Os、Sch40s、Sch80s。
中(zhong)國石化集團公司標準(zhun)SH/T 3405中(zhong),無(wu)縫鋼(gang)管(guan)(guan)采(cai)用(yong)了Sch20、Sch30、Sch40、Sch60、Sch80、Sch100、Sch120、Sch140、Sch160九(jiu)個(ge)表號(hao),不(bu)銹(xiu)鋼(gang)管(guan)(guan)采(cai)用(yong)了Sch5s、Sch10s、Sch20s、Sch40s、Sch80s五個(ge)表號(hao)。
無縫鋼管和焊接鋼管的管子表號可分別查圖4-1和圖4-2確定(ding)。


2. 以管子重量表示公稱壁(bi)厚
美國MSS和ASME也規定了(le)以管子重量表(biao)示(shi)壁厚(hou)(hou)的(de)方法,并將管子壁厚(hou)(hou)分為三種:標準重量管,以STD表(biao)示(shi);加厚(hou)(hou)管,以XS表(biao)示(shi);特厚(hou)(hou)管,以XXS表(biao)示(shi)。
對于(yu)(yu)DN≤250mm的管子,Sch40相(xiang)(xiang)當(dang)于(yu)(yu)STD;DN<200mm的管子,Sch80相(xiang)(xiang)當(dang)于(yu)(yu)XS。
3. 以鋼(gang)管壁(bi)(bi)厚(hou)值表(biao)示公稱壁(bi)(bi)厚(hou) 中(zhong)國、ISO和日本(ben)部分鋼(gang)管標(biao)準采用了壁(bi)(bi)厚(hou)值表(biao)示鋼(gang)管公稱壁(bi)(bi)厚(hou)。
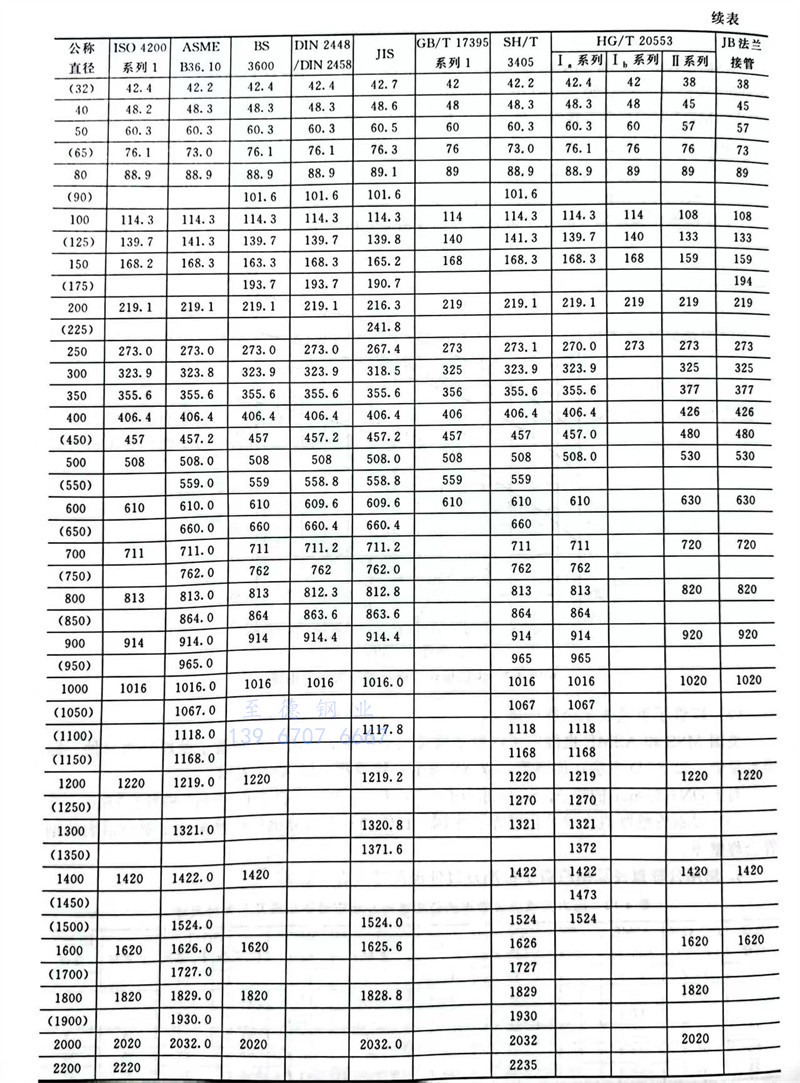
4.常用公(gong)稱直徑(jing)及相應管(guan)子標(biao)準(zhun)及其外(wai)徑(jing)尺寸(cun)(表4-12)



