管(guan)件(jian)(jian)的型式與(yu)尺(chi)寸分為以(yi)米制單(dan)(dan)位表(biao)示(shi)的管(guan)件(jian)(jian)和以(yi)英(ying)制單(dan)(dan)位表(biao)示(shi)的管(guan)件(jian)(jian)兩個系列。
在米(mi)制(zhi)單位表(biao)示的管(guan)件尺(chi)寸中,管(guan)件端部外(wai)徑(jing)(即與管(guan)子外(wai)徑(jing)相配的坡口處外(wai)徑(jing))分為(wei)Ⅰ及(ji)Ⅱ兩(liang)個(ge)系(xi)列(lie),Ⅰ系(xi)列(lie)為(wei)國際通用系(xi)列(lie)。
由(you)于米(mi)(mi)制(zhi)單(dan)(dan)位(wei)和英制(zhi)單(dan)(dan)位(wei)的(de)(de)管件(jian)不能(neng)做到精確(que)的(de)(de)等同,因此(ci)使用者(zhe)必須(xu)分別(bie)采用兩種單(dan)(dan)位(wei)制(zhi)。對于尺寸為米(mi)(mi)制(zhi)單(dan)(dan)位(wei)的(de)(de)管件(jian),其(qi)公稱尺寸用DN表(biao)(biao)示;對于尺寸為英制(zhi)單(dan)(dan)位(wei)的(de)(de)管件(jian),其(qi)公稱尺寸用NPS表(biao)(biao)示。兩者(zhe)之間的(de)(de)關系見表(biao)(biao)8-2。

一(yi)、米制尺寸
1. 長半(ban)徑彎(wan)頭型式(shi)見圖 8-1,尺(chi)寸(cun)見表 8-3 。


2. 長半徑異徑彎頭型(xing)式見圖 8-2,尺寸見表 8-4 。


3. 長半(ban)徑180°彎頭型式見(jian)圖(tu) 8-3,尺寸見(jian)表 8-5 。

4. 短半徑(jing)彎頭型式見(jian)圖 8-4,尺(chi)寸見(jian)表(biao) 8-6 。

5. 短半(ban)徑180°彎頭型式見圖 8-5,尺寸見表 8-7 。


6. 等徑(jing)三通(tong)和四通(tong)型式見圖(tu) 8-6,尺寸見表 8-8 。


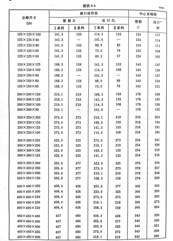
7. 異徑三通和四通型式見圖(tu) 8-7,尺(chi)寸見表 8-9 。





8. 翻(fan)邊短節型(xing)式見圖 8-8,尺寸見表(biao) 8-10 。


注:1.公(gong)差見表8-23。
2.使用(yong)條件和連接結構通常決定對短(duan)節的(de)長(chang)度(du)要求(qiu),因此,在訂(ding)貨(huo)時采購方必(bi)須(xu)規定是長(chang)型或短(duan)型短(duan)節。
a. 當(dang)短(duan)型翻邊(bian)短(duan)節(jie)用(yong)于PN50和(he)PN110的(de)較大(da)法(fa)蘭(lan)以及大(da)于等于PN150的(de)大(da)部分規(gui)格(ge)的(de)法(fa)蘭(lan)時(shi);或當(dang)長型翻邊(bian)短(duan)節(jie)用(yong)于PN260和(he)PN420的(de)較大(da)法(fa)蘭(lan)時(shi),為了避免(mian)法(fa)蘭(lan)可能影響焊(han)接,可能需要增(zeng)加接管的(de)長度。長度增(zeng)加量由制造商(shang)與(yu)采購方(fang)雙方(fang)協商(shang)。
b. 當采用榫槽面(mian)和凹凸密封面(mian)時,必(bi)須增加(jia)搭(da)接邊的厚度(du)。增加(jia)厚度(du)應附加(jia)(不包括)在基本長度(du)F上。
c. 這些尺寸(cun)應與GB/T 9118.1~9118.2或ASMEB16.5中的松套法蘭的圓角半徑相符(fu)合。
d. 該尺寸與ASME B16.5中表(biao)示的(de)標(biao)準機加(jia)工(gong)面相(xiang)符合。搭接邊的(de)背面應(ying)進行機加(jia)工(gong),使(shi)其與安裝(zhuang)表(biao)面一致。當采用(yong)環連接密封面時,使(shi)用(yong)ASMEB16.5中給(gei)出的(de)尺寸K。
9. 管帽型式見(jian)圖 8-9,尺寸見(jian)表 8-11 。

10. 異徑接(jie)頭型式(shi)見(jian)圖 8-10,尺寸見(jian)表 8-12 。



二、英制尺寸
1. 長(chang)半徑彎頭型式(shi)見圖(tu) 8-11,尺寸見表(biao) 8-13 。

2. 長半徑異徑彎頭型式見(jian)圖 8-12,尺(chi)寸見(jian)表(biao) 8-14 。


3. 長半徑180°彎(wan)頭型(xing)式見(jian)圖(tu) 8-13,尺寸見(jian)表(biao) 8-15 。


4. 短半徑彎頭型式見圖 8-14,尺(chi)寸見表 8-16 。

5. 短(duan)半徑(jing)180°彎(wan)頭型式見圖 8-15,尺寸見表 8-17 。

6. 等(deng)徑三通(tong)和(he)四(si)通(tong)型式見(jian)圖 8-16,尺寸見(jian)表(biao) 8-18 。


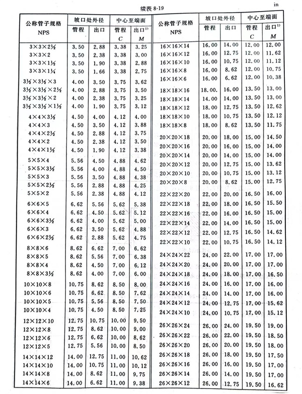
7. 異徑三通(tong)和四(si)通(tong)型式見(jian)圖 8-17,尺(chi)寸見(jian)表 8-19 。



8. 翻(fan)邊短(duan)節型式見(jian)(jian)圖(tu) 8-18,尺(chi)寸見(jian)(jian)表 8-20 。


注:1.公差見圖8-21。
2.使(shi)用條件和(he)接頭(tou)結構通(tong)常決定(ding)對短節的長度要(yao)求,因此,在采(cai)購時采(cai)購方(fang)必須規(gui)定(ding)是長型(xing)或短型(xing)短節。
1)當短型翻邊短節用于(yu)300磅級(ji)和(he)600磅級(ji)的(de)較大(da)(da)法蘭以及大(da)(da)于(yu)等(deng)于(yu)900磅級(ji)的(de)大(da)(da)部分規格的(de)法蘭時,當長(chang)(chang)型翻邊短節用于(yu)1500磅級(ji)和(he)2500磅級(ji)的(de)較大(da)(da)法蘭時,為了避免法蘭可能影響焊接,可能需要增加接管(guan)的(de)長(chang)(chang)度。長(chang)(chang)度的(de)增加量由制造廠與(yu)采購方(fang)雙方(fang)協商。
2)當(dang)采用如榫槽面,凹凸密封面時,必須增加搭接邊的厚(hou)度。增加厚(hou)度應在(zai)基(ji)本長度F之外(不包括(kuo)在(zai)基(ji)本長度內)。
3)這(zhe)些尺(chi)寸應(ying)與ASME B16.5《管(guan)法(fa)蘭和法(fa)蘭管(guan)件》中松套法(fa)蘭的圓角(jiao)半徑相符。
4)該尺寸與(yu)(yu)ASME B16.5中表(biao)示的標準機加工面一(yi)致(zhi)。搭接(jie)邊的背面應進行(xing)機加工,使與(yu)(yu)其(qi)安(an)裝(zhuang)表(biao)面一(yi)致(zhi)。當(dang)采用環連接(jie)面時使用ASMEB16.5中給出(chu)的尺寸K。
9. 管帽型式見圖 8-19,尺寸見表 8-21 。


10. 異徑接(jie)頭型式見圖(tu) 8-20,尺寸(cun)見表 8-22 。



