通用管件系指量大、面廣且適用于各行各業的管件(jian)(通常有國家標準)。通用管件包括給水用灰鑄鐵管件;排水用灰鑄鐵管及管件;球墨鑄鐵管、管件和附件;可鍛鑄鐵管件;鋼制對焊無縫管件;鋼板制對焊管件;鍛鋼制承插焊管件及鍛鋼制螺紋管件等8部分內容。
給(gei)水用灰鑄鐵管件結構型式與(yu)尺寸
1. 承盤短管型(xing)式見圖 4-3 ,尺寸見表 4-4 。

2. 承插盤短管型(xing)式(shi)見(jian)圖 4-4 ,尺寸見(jian)表 4-5 。

3. 套管型(xing)式見(jian)圖 4-5 ,尺寸(cun)見(jian)表 4-6 。

4. 90°雙承彎管型(xing)式見(jian)圖 4-6 ,尺寸見(jian)表 4-7 。

5. 45°雙承彎管型式(shi)見(jian)圖(tu) 4-7 ,尺寸(cun)見(jian)表 4-8 。

6. 22.5°雙承(cheng)彎管型(xing)式見(jian)圖 4-8 ,尺寸見(jian)表 4-9 。

7. 11.25°雙(shuang)承彎管型式(shi)見圖 4-9 ,尺寸見表 4-10 。

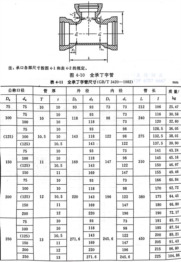
8. 全承丁(ding)字管型式見(jian)(jian)圖 4-10 ,尺(chi)寸見(jian)(jian)表 4-11 。




9. 全承(cheng)十(shi)字管型式(shi)見(jian)圖(tu) 4-11 ,尺寸見(jian)表 4-12 。


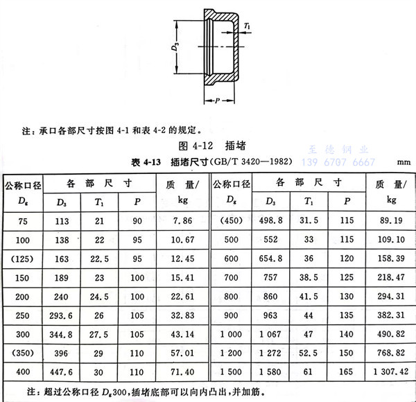
10. 插堵型式(shi)見(jian)圖 4-12 ,尺寸見(jian)表 4-13 。

11. 承堵型式見(jian)(jian)圖 4-13 ,尺寸(cun)見(jian)(jian)表 4-14 。

12. 90°雙(shuang)盤彎管型式見(jian)圖 4-14 ,尺寸見(jian)表 4-15 。


13. 45°雙盤彎(wan)管型式見圖 4-15 ,尺寸見表 4-16 。

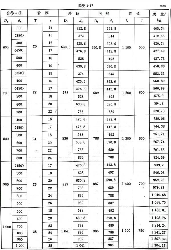
14. 三盤(pan)丁字管(guan)型式(shi)見(jian)圖 4-16 ,尺寸見(jian)表 4-17 。



15. 盲法蘭盤型式見(jian)圖 4-17 ,尺寸(cun)見(jian)表 4-18 。

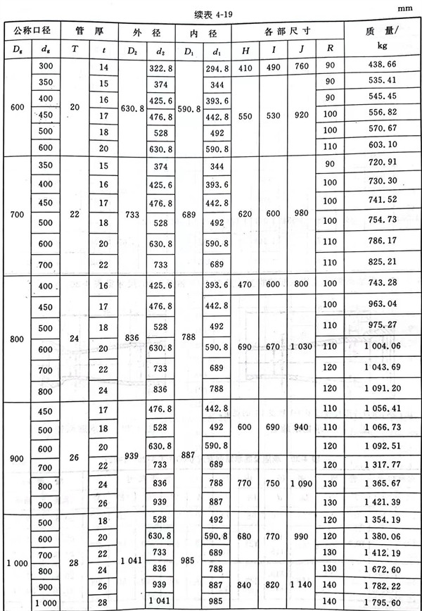
16. 雙(shuang)承丁(ding)字管型式見圖 4-18 ,尺寸(cun)見表(biao) 4-19 。




17. 承插(cha)漸縮管及(ji)插(cha)承漸縮管型式見(jian)圖(tu) 4-19和圖(tu) 4-20 ,尺(chi)寸(cun)見(jian)表(biao) 4-20 。



18. 90°承插彎管型式見圖 4-21 ,尺寸見表 4-21。
19. 45°承插彎(wan)管型(xing)式見圖 4-22 ,尺寸見表 4-22 。


20. 22.5°承插彎管(guan)型式見圖(tu) 4-23 ,尺寸見表 4-23 。

21. 11.25°承插(cha)彎管型式(shi)見(jian)(jian)圖 4-24 ,尺寸見(jian)(jian)表(biao) 4-24 。


22. 乙字管(guan)型式(shi)見(jian)圖 4-25 ,尺寸見(jian)表 4-25 。


23. 承(cheng)插單盤排氣(qi)管型式見圖 4-26 ,尺寸見表 4-26 。


24. 承插泄水管(guan)型式見圖 4-27 ,尺寸見表(biao) 4-27 。


