我國國家標準《不銹鋼藥芯焊絲》GB/T 17853-1999,與美國AWS上技術內容等效。適用于不銹(xiu)鋼藥(yao)芯焊(han)絲電弧焊(FCAW)和作為不銹(xiu)鋼鎢極惰性氣體保護焊的藥芯填充焊絲(GTAW)。藥芯焊絲型號是根據熔敷金屬化學成分、焊接位置、保護氣體及焊接電流類型來分的。
藥芯焊(han)(han)絲(si)(si)型號(hao)表(biao)(biao)(biao)示(shi)方法:“E”表(biao)(biao)(biao)示(shi)焊(han)(han)絲(si)(si),“R”表(biao)(biao)(biao)示(shi)填充焊(han)(han)絲(si)(si);后(hou)面(mian)用(yong)三位(wei)或四位(wei)數(shu)字(zi)表(biao)(biao)(biao)示(shi)焊(han)(han)絲(si)(si)熔敷金屬化學成分分類代(dai)號(hao);若有(you)特殊(shu)要求的化學成分,將其(qi)元素符號(hao)附加在數(shu)字(zi)后(hou)面(mian),或者用(yong)“L”表(biao)(biao)(biao)示(shi)含碳(tan)量較低,“H”表(biao)(biao)(biao)示(shi)含碳(tan)量較高,“K”表(biao)(biao)(biao)示(shi)焊(han)(han)絲(si)(si)應(ying)用(yong)于(yu)低溫環境;最后(hou)用(yong)“T”表(biao)(biao)(biao)示(shi)焊(han)(han)絲(si)(si)適用(yong)于(yu)全位(wei)置(zhi)焊(han)(han)接(jie);“-”后(hou)面(mian)的數(shu)字(zi)表(biao)(biao)(biao)示(shi)保護氣體及焊(han)(han)接(jie)電流類型,見表(biao)(biao)(biao)2-24。
焊(han)絲型號舉例如下:

藥芯焊絲(si)尺寸(cun)應符合表(biao) 2-25的規定
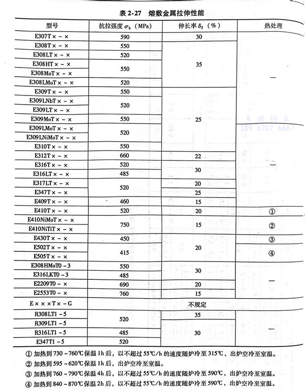
不同(tong)型號焊絲施(shi)焊后的(de)熔敷金(jin)屬化學成分(fen)應(ying)符合(he)(he)表 2-26 和熔敷金(jin)屬拉伸性能應(ying)符合(he)(he)表 2-27的(de)規定。




不銹鋼藥(yao)芯焊絲(si)的適(shi)用(yong)范(fan)圍見表 2-28




