香蕉視頻app蘋果:超聲波在不同介質界面處的反射、折射和透射情況是進行超聲探傷的重要物理基礎。聲波能量經界面時的聲壓聲強變化主要取決于兩側介質的聲阻抗。
1. 超聲(sheng)波垂(chui)直人射(she)到兩種(zhong)介質界面(mian)處的反射(she)透射(she)情況
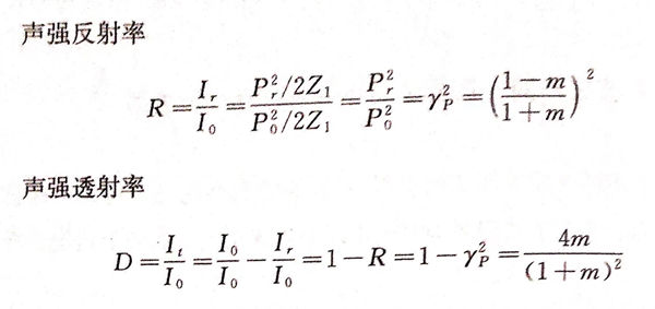
當超聲波垂直入射于兩種不同聲阻抗介質的界面時,其反射波按入射波相反的路徑返回,透射波垂直進入第二種介質。假設超聲波所處介質聲阻抗為Z1,人射聲強為I0,入射聲壓為P0,反射聲強為Ir,反射聲壓為Pr;另一種介質聲阻抗為Z2,透射聲強為It,透射聲壓為Pt.令聲阻抗比m=Z1/Z2,可得:


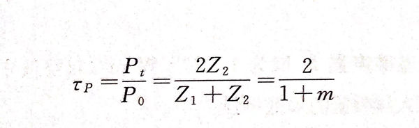
聲壓視為平面上單位面積所受的力,那么平面兩側的力應當平衡,故聲壓變化有P0+Pr=Pt.結合聲壓反射、透射系數,有

類似地,聲強在界面兩側應滿足能量守恒定律,所以有Io=Ir+It,如果把聲強反射率(R)定義為Ir/I0,聲強透射率(D)定義為It/I0,則有:

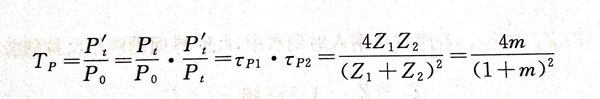
實際檢測中,常用到自發自收探頭,例如對鋼板進行檢測時,認為聲波垂直入射進人鋼板內部,透射波到達底部后,聲壓在鋼板/空氣界面被完全反射,然后垂直返回,被探頭接收。探頭接收到的返回聲壓P't與人射聲壓P0之比稱為聲壓往復透過率,常用符號Tp表示。

所以

對比聲強透射率D和聲壓往復透過率Tp,可知兩者在數值上相等。
超聲波(bo)垂直入射于(yu)不同聲阻抗(kang)介質的界面,有(you)以下(xia)四種反(fan)射和透射情況。
a. Z1<Z2
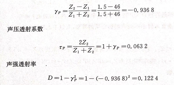
若(ruo)聲(sheng)波從水(shui)中入射到鋼(gang)中,水(shui)的(de)聲(sheng)阻(zu)抗(kang)為Z1=1.5×106kg/(㎡·s),鋼(gang)的(de)聲(sheng)阻(zu)抗(kang)為Z2=46×106kg/(㎡·s),水(shui)/鋼(gang)界面上(shang)的(de)

圖(tu)2.9表示從水(shui)入(ru)射(she)(she)到(dao)(dao)鋼(gang)時,聲(sheng)(sheng)壓(ya)在兩側的(de)(de)分布。當(dang)聲(sheng)(sheng)波從聲(sheng)(sheng)阻抗小的(de)(de)介質人射(she)(she)到(dao)(dao)聲(sheng)(sheng)阻抗大的(de)(de)介質時,反(fan)射(she)(she)聲(sheng)(sheng)壓(ya)較入(ru)射(she)(she)聲(sheng)(sheng)壓(ya)略(lve)低,而(er)透射(she)(she)聲(sheng)(sheng)壓(ya)高于入(ru)射(she)(she)聲(sheng)(sheng)壓(ya),且等于兩者之(zhi)和。由聲(sheng)(sheng)強透射(she)(she)率D的(de)(de)大小可知(zhi)入(ru)射(she)(she)聲(sheng)(sheng)強中(zhong)只(zhi)有12.24%的(de)(de)能量進入(ru)鋼(gang)中(zhong)。

b. Z1>Z2
若聲波從鋼入射到水中(zhong),此時(shi)界面的(de)聲壓反射系數

圖2.10表示從鋼入(ru)射(she)(she)(she)到水時(shi),兩側的(de)聲(sheng)(sheng)(sheng)壓(ya)(ya)分布。當聲(sheng)(sheng)(sheng)波從聲(sheng)(sheng)(sheng)阻抗(kang)較(jiao)(jiao)大的(de)介(jie)質(zhi)入(ru)射(she)(she)(she)到較(jiao)(jiao)小的(de)介(jie)質(zhi)時(shi),反(fan)射(she)(she)(she)聲(sheng)(sheng)(sheng)壓(ya)(ya)較(jiao)(jiao)入(ru)射(she)(she)(she)聲(sheng)(sheng)(sheng)壓(ya)(ya)略低;而透射(she)(she)(she)聲(sheng)(sheng)(sheng)壓(ya)(ya)因入(ru)射(she)(she)(she)聲(sheng)(sheng)(sheng)壓(ya)(ya)與反(fan)射(she)(she)(she)聲(sheng)(sheng)(sheng)壓(ya)(ya)相(xiang)位(wei)相(xiang)反(fan),其數值(zhi)也較(jiao)(jiao)小。計算(suan)得(de)知入(ru)射(she)(she)(she)聲(sheng)(sheng)(sheng)強中(zhong)同樣有(you)12.24%的(de)能量進(jin)入(ru)水中(zhong)。

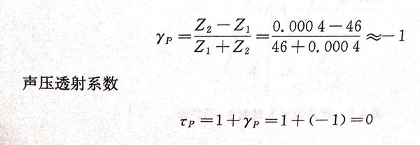
c. Z1 > Z2
當聲波從聲阻抗高的固體入射到空氣中,例如從鋼中入射到空氣中,就屬于這種情況,此時Z1(鋼)=46×106kg/(㎡·s),Z2(空氣)=0.0004×106kg/(㎡·s),可計算聲壓反射系數


此(ci)時,聲(sheng)波(bo)(bo)在(zai)界面(mian)(mian)處幾乎全部被反射,無法透射到空氣中,因此(ci),當(dang)超聲(sheng)波(bo)(bo)探頭與(yu)粗糙(cao)待測件(jian)表(biao)(biao)面(mian)(mian)接觸(chu),如果不加(jia)耦合劑(ji),就相當(dang)于探頭與(yu)待測件(jian)表(biao)(biao)面(mian)(mian)間有一層空氣,導致聲(sheng)波(bo)(bo)能量無法透射到待測件(jian)中,無法進行探傷。
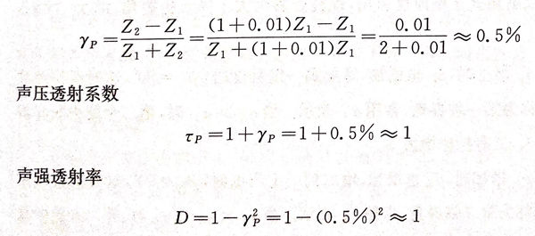
d. Z1≈Z2
當聲(sheng)波從兩種(zhong)聲(sheng)阻抗(kang)相近的(de)介質界(jie)面(mian)經(jing)過時,例如普通碳(tan)鋼(gang)焊(han)縫金(jin)屬(shu)與母(mu)材金(jin)屬(shu)之(zhi)間,聲(sheng)阻抗(kang)相差僅1%,此時,界(jie)面(mian)的(de)聲(sheng)壓反射系數

此(ci)時,在界面(mian)處反射(she)聲壓極小,而透(tou)射(she)聲壓幾乎與入射(she)聲壓相同;聲波能量(liang)幾乎全部透(tou)射(she)到第二種介質中。
2. 超聲波斜入射到兩種(zhong)介質界面(mian)處(chu)的反射折射情況
當(dang)超(chao)聲波以(yi)一定角度斜入(ru)射到兩種介質界面時,會發生反(fan)射和折(zhe)射現(xian)象,且遵循反(fan)射和折(zhe)射定律。一定條件下,還會發生波型轉換現(xian)象。
a. 超聲縱波斜入射
當超聲縱波斜入(ru)射到兩(liang)種介質界(jie)面(mian)時,反射波和折(zhe)射波的(de)傳播方(fang)向符合(he)反射定(ding)律、折(zhe)射定(ding)律,如圖2.11所示,即


由式(2.4)可知,在同一介質中聲波縱波波速不變,因此縱波反射角與縱波入射角相等,即αL=γL,同時,同一介質中縱波聲速大于橫波聲速,因此縱波反射角大于橫波反射角,縱波折射角大于橫波折射角,即γL>γs,βL>βs.
當αL增加時,βL也增加,增加到一定程度時,βL=90°,這時所得縱波入射角稱為第一臨界角,常用aI表示。當αL>αI時,第二介質中既有折射縱波L,又有折射橫波S.
當αL增加時,βs也增加,增加到一定程度時,βs=90°,這時所得縱波入射角稱為第二臨界角,常用aII表示。當αI<αL<aII時,第二介質中沒有折射縱波L,只有折射橫波S,這種情況也是橫波探頭的制作原理。
b. 超聲橫波(bo)斜入射
當橫波以(yi)一定角度入(ru)射到兩種固體界面時(shi),也(ye)會(hui)出現波形的轉換(huan),如圖2.12所示。

同樣地(di),橫波斜(xie)入射也(ye)符合反射、折射定律:

橫波斜入射時,隨著αs增加,yL=90°時,所對應的橫波人射角αs為第三臨界角,常用αIII表示,橫波入射角大于第三臨界角時,產生橫波全反射現象。

