不銹鋼電化學拋光液一般含有硫酸、磷酸、鉻酐及少量的水,以及在電解過程中溶入的Fe3+、Cr3+、Ni2+、Mn2+等雜質。當采用標準堿液連續滴定時,這些金屬雜質的鹽類會水解,使分析結果偏高。因此,在滴定過程中要加入絡合劑掩蔽金屬雜質,以防止水解。絡合掩蔽劑采用六偏磷酸鈉或EDTA。
采用(yong)六偏(pian)磷酸(suan)鈉(na)時,由(you)于其(qi)水溶液(ye)pH=6,采用(yong)甲(jia)基紅和溴甲(jia)酚綠(lv)混合指示劑在第(di)一個(ge)等(deng)電點滴定(ding)時pH=5,所(suo)以(yi)六偏(pian)磷酸(suan)鈉(na)不消(xiao)耗堿,用(yong)酚酞為指示劑進行第(di)二個(ge)等(deng)電點滴定(ding)時pH=9.5,六偏(pian)磷酸(suan)鈉(na)就會耗去相應(ying)量(liang)的堿,此堿量(liang)需在計算(suan)中扣除。其(qi)反(fan)應(ying)式(shi)如下。
第一個(ge)等電點時(pH=5):
H2SO4+2NaOH→Na2SO4+2H2O
H3PO4+NaOH→NaH2PO4+H2O
H2CrO4+NaOH→NaHCrO4+H2O
第(di)二個等電點時(shi)(pH=9.5):
NaH2PO4+NaOH→Na2HPO4+H2O
NaHCrO4+NaOH→Na2CrO4+H2O
(NaPO3)6+6NaOH→6Na2HPO4
若是采用 EDTA,從(cong)絡(luo)合能力看比六偏(pian)磷酸鈉好,但第一個(ge)(ge)等電(dian)點(dian)時,0.05mol/L的EDTA溶液的pH約為4,離第一個(ge)(ge)等電(dian)點(dian)較遠,需(xu)消耗(hao)一定量(liang)的氫氧化(hua)(hua)鈉,到達第二個(ge)(ge)等電(dian)點(dian)時進一步消耗(hao)氫氧化(hua)(hua)鈉,需(xu)分(fen)別扣除。
扣除方法:取一個(ge)(ge)同本操作中(zhong)所加絡合(he)掩蔽劑用(yong)(yong)量相(xiang)同的(de)絡合(he)掩蔽劑,加水稀釋,進行(xing)空白實驗(yan),(不加電化(hua)學(xue)拋光(guang)液),分別以甲(jia)基紅、溴甲(jia)酚綠指(zhi)示(shi)劑用(yong)(yong)氫(qing)氧(yang)(yang)化(hua)鈉標準液滴定至第一個(ge)(ge)等電點,由紅變綠,記(ji)錄耗用(yong)(yong)的(de)氫(qing)氧(yang)(yang)化(hua)鈉毫(hao)升數,以酚酞(tai)為(wei)指(zhi)示(shi)劑用(yong)(yong)氫(qing)氧(yang)(yang)化(hua)鈉標準液滴至第二(er)個(ge)(ge)等電點,由綠色(se)變紫紅色(se),記(ji)錄耗用(yong)(yong)的(de)氫(qing)氧(yang)(yang)化(hua)鈉毫(hao)升數,分別在計算中(zhong)減去。
1. 試劑
①. 標準0.5mol氫氧化鈉溶液。稱取(qu)20g氫氧化鈉溶于蒸餾水中(zhong),用水在量瓶中(zhong)稀釋(shi)至1L.
標定(ding):稱取在120℃干(gan)燥2h后的分析(xi)純苯(ben)二甲酸(suan)氫(qing)鉀(jia)(KHC8H4O4)4g(四位有效(xiao)數(shu)字P)于250mL錐(zhui)形(xing)杯中,加(jia)水100mL,溫熱使其溶解,加(jia)入酚酞指示劑2滴,用配(pei)制好的氫(qing)氧化(hua)鈉溶液滴定(ding)至淡紅(hong)色為(wei)終(zhong)點,記(ji)錄(lu)耗用的氫(qing)氧化(hua)鈉溶液為(wei)V(mL)。
計算:標準氫氧化鈉溶(rong)液(ye)的摩(mo)爾濃(nong)度
M= P × 1000 / V × 204.2 (mol/L)
②. 0.1mol六偏(pian)磷酸(suan)(suan)的(de)溶液。稱(cheng)取(qu)120℃干燥2h后(hou)的(de)分析純六偏(pian)磷酸(suan)(suan)鈉61.20g,溶于(yu)蒸餾水(shui)中,用水(shui)在容量瓶中稀釋(shi)至1L。不需(xu)標定。
③. 0.05mol EDTA標準溶液。②和③中兩者擇其一,稱取分析純EDTA(乙二胺四乙酸二鈉,其分子式C10H14N2O8Na2·2H2O)20g,溶解于熱蒸餾水中,冷卻后,用水在容量瓶中稀釋至1L。
標定(ding):稱取分析純金屬(shu)鋅(xin)0.4g(準確稱重至(zhi)四(si)位有效數字P),在250mL錐(zhui)形瓶中(zhong)(zhong)用1:1試劑鹽酸加熱溶(rong)解(jie)鋅(xin)至(zhi)完全(quan)形成氯(lv)化(hua)鋅(xin),冷卻,移入(ru)100mL容量(liang)瓶中(zhong)(zhong),加水(shui)稀釋至(zhi)刻度,搖勻。用移液(ye)管吸取20mL于(yu)250mL錐(zhui)形瓶中(zhong)(zhong),加水(shui)50mL,以(yi)氨水(shui)調(diao)節至(zhi)微堿性,加入(ru)pH=10緩沖溶(rong)液(ye)(溶(rong)解(jie)54g氯(lv)化(hua)銨(an)于(yu)水(shui)中(zhong)(zhong),加入(ru)350mL濃氨水(shui),加水(shui)稀釋至(zhi)1L)10mL,鉻黑T指示(shi)劑(0.5g鉻黑T和氯(lv)化(hua)鈉50g研磨(mo)而成)少許(xu),搖勻,以(yi)配好(hao)的(de)0.05mol EDTA標準溶(rong)液(ye)滴定(ding)至(zhi)由紅變藍色為終點(dian),記錄耗用的(de)EDTA溶(rong)液(ye)V(mL).
計(ji)算:標準(zhun)EDTA溶(rong)液濃(nong)度

④. 甲基紅指(zhi)示劑(pH 4.2~6.3).稱取甲基紅0.1g溶解于(yu)60mL乙醇中,溶解后加水稀釋至(zhi)100mL。
⑤. 溴(xiu)甲(jia)酚綠(lv)(lv)指示劑(pH 3.6~5.2).稱(cheng)取溴(xiu)甲(jia)酚綠(lv)(lv)0.1g溶解于2.88mL的(de)0.05mol氫(qing)氧化鈉溶液(ye)中(zhong),加(jia)水稀釋(shi)至250mL。
⑥. 酚酞指示劑(ji)(pH 8.3~10.0).稱取1g酚酞溶解于80mL乙醇中,溶解后加水稀釋至100mL.
2. 分(fen)析方(fang)法
①. 用六偏磷酸鈉作掩(yan)蔽劑(ji)。
a. 吸(xi)取(qu)試液5mL于250mL容量瓶(ping)中,加水(shui)稀(xi)釋至(zhi)刻度(du),搖勻(yun)。
b. 吸(xi)取(qu)此液(ye)10mL于300mL錐形瓶中(相(xiang)當于原液(ye)0.2mL),加水80mL。
c. 用移液管準確加(jia)人六偏磷酸鈉溶液20mL。
d. 加甲基紅(hong)4滴、溴甲酚綠6滴。
e. 以0.5mol氫氧化鈉標準溶液滴定至綠色為終點,記(ji)錄耗(hao)用量(liang)V1。
f. 加酚酞(tai)5滴(di)。
g. 以(yi)0.5mol氫氧(yang)化鈉標(biao)準溶液滴定至紅色(保(bao)持(chi)20s不退),記錄耗用量V2。
h. 另用移液管吸(xi)取0.1mol六偏磷酸鈉溶(rong)液20mL于(yu)250mL錐形瓶中,加水(shui)80mL。
i. 加(jia)酚酞5滴。
j. 用(yong)0.5mol氫氧(yang)化鈉溶(rong)液滴定至紅色,記錄耗用(yong)量B(mL)。
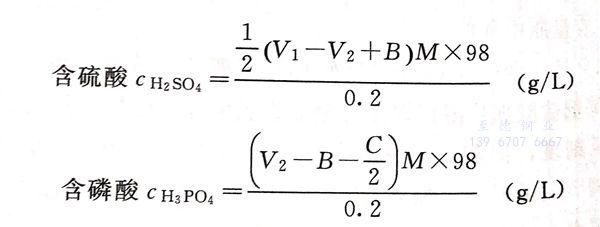
計(ji)算:

式中,M為標準氫氧化鈉溶液的摩爾濃度;C為中和所取試液中的CrO3相的標準氫氧化鈉溶液的容積,mL。
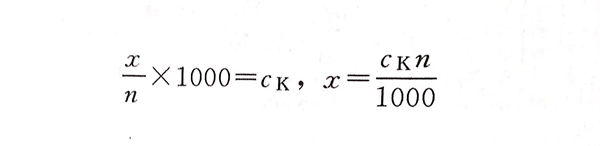
設n為(wei)所取試(shi)樣(yang)容積,mL;ck為(wei)三(san)氧(yang)化鉻(ge)濃度,g/L;x為(wei)所取試(shi)樣(yang)中含氧(yang)化鉻(ge)質(zhi)量,g;
則(ze)有(you):


②. 用EDTA作(zuo)掩(yan)蔽(bi)劑。
a. 吸取試液5mL于250mL容量(liang)瓶中(zhong),加水稀釋至刻度,搖勻。
b. 吸取(qu)此液10mL于300mL錐(zhui)形瓶中(相當于原(yuan)液0.2mL),加水80mL。
c. 用移(yi)液管準確加入0.05mol EDTA標準溶液20mL。
d. 加甲基紅4滴、溴甲酚綠6滴。
e. 用0.5mol氫氧化鈉標準溶液滴定至綠色為終點,記錄耗用量為V1。
f. 加酚酞5滴。
g. 用0.5mol氫氧化鈉標準溶液滴定至紅色(保持20s不褪色),記錄耗用量為V2。
h. 另用滴(di)定(ding)管取0.05mol EDTA于250mL錐(zhui)形瓶中,加水80mL。
i. 加甲(jia)基紅4滴(di)(di),溴甲(jia)酚(fen)綠6滴(di)(di)。
j. 用0.05mol氫氧(yang)化鈉溶液滴(di)定至(zhi)綠色,記錄耗用量為A。
k. 加酚(fen)酞5滴。
l. 繼續用0.05mol氫氧化鈉溶液滴定(ding)至紅(hong)色,記錄耗用量為B。
計算:

C 的(de)(de)計算與①用六偏(pian)磷酸鈉(na)掩蔽的(de)(de)公式相同(tong)。

